当前位置:首页>文档>江苏省无锡市2024-2025学年高三上学期期中教学质量调研测试物理试卷(含答案)_2024-2025高三(6-6月题库)_2024年11月试卷_1110江苏省无锡市2024-2025学年高三上学期期中教学质量调研测

江苏省无锡市2024-2025学年高三上学期期中教学质量调研测试物理试卷(含答案)_2024-2025高三(6-6月题库)_2024年11月试卷_1110江苏省无锡市2024-2025学年高三上学期期中教学质量调研测

  • 2026-03-23 00:58:21 2026-02-18 20:05:50

文档预览

江苏省无锡市2024-2025学年高三上学期期中教学质量调研测试物理试卷(含答案)_2024-2025高三(6-6月题库)_2024年11月试卷_1110江苏省无锡市2024-2025学年高三上学期期中教学质量调研测
江苏省无锡市2024-2025学年高三上学期期中教学质量调研测试物理试卷(含答案)_2024-2025高三(6-6月题库)_2024年11月试卷_1110江苏省无锡市2024-2025学年高三上学期期中教学质量调研测
江苏省无锡市2024-2025学年高三上学期期中教学质量调研测试物理试卷(含答案)_2024-2025高三(6-6月题库)_2024年11月试卷_1110江苏省无锡市2024-2025学年高三上学期期中教学质量调研测
江苏省无锡市2024-2025学年高三上学期期中教学质量调研测试物理试卷(含答案)_2024-2025高三(6-6月题库)_2024年11月试卷_1110江苏省无锡市2024-2025学年高三上学期期中教学质量调研测
江苏省无锡市2024-2025学年高三上学期期中教学质量调研测试物理试卷(含答案)_2024-2025高三(6-6月题库)_2024年11月试卷_1110江苏省无锡市2024-2025学年高三上学期期中教学质量调研测
江苏省无锡市2024-2025学年高三上学期期中教学质量调研测试物理试卷(含答案)_2024-2025高三(6-6月题库)_2024年11月试卷_1110江苏省无锡市2024-2025学年高三上学期期中教学质量调研测
江苏省无锡市2024-2025学年高三上学期期中教学质量调研测试物理试卷(含答案)_2024-2025高三(6-6月题库)_2024年11月试卷_1110江苏省无锡市2024-2025学年高三上学期期中教学质量调研测
江苏省无锡市2024-2025学年高三上学期期中教学质量调研测试物理试卷(含答案)_2024-2025高三(6-6月题库)_2024年11月试卷_1110江苏省无锡市2024-2025学年高三上学期期中教学质量调研测
江苏省无锡市2024-2025学年高三上学期期中教学质量调研测试物理试卷(含答案)_2024-2025高三(6-6月题库)_2024年11月试卷_1110江苏省无锡市2024-2025学年高三上学期期中教学质量调研测
江苏省无锡市2024-2025学年高三上学期期中教学质量调研测试物理试卷(含答案)_2024-2025高三(6-6月题库)_2024年11月试卷_1110江苏省无锡市2024-2025学年高三上学期期中教学质量调研测

文档信息

文档格式
docx
文档大小
0.436 MB
文档页数
10 页
上传时间
2026-02-18 20:05:50

文档内容

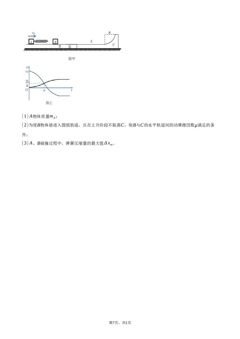
2024-2025 学年江苏省无锡市高三(上)期中物理试卷 一、单选题:本大题共11小题,共44分。 1.某同学在列车车厢的顶部用细线悬挂一个小球,列车在平直轨道行驶过程中,细线偏过一定角度并相对 车厢保持静止,如图所示。则列车( ) A. 匀速运动 B. 匀变速运动 C. 向左运动 D. 向右运动 2.主动降躁耳机能主动收集周围环境中的躁声信号,并产生相应的抵消声波,取得最佳降躁效果的抵消声 波与收集到的躁声具有不同的( ) A. 频率 B. 振幅 C. 相位 D. 波长 3.如图是单摆做阻尼振动的位移—时间图像,摆球在P与N时刻具有相同的( ) A. 速度 B. 加速度 C. 重力势能 D. 机械能 4.质量为m 和m 的两个物体在光滑的水平面上正碰,其位置—时间图像如图所示。则( ) 1 2 A. 碰撞后,m 的速率大于m 的速率 2 1 B. 碰撞后,m 的动量等于m 的动量 2 1 C. 碰撞后,m 的动量小于m 的动量 2 1 D. m 小于m 1 2 5.把一个小球放在玻璃漏斗中,晃动漏斗,可使小球在短时间内沿光滑的漏斗壁在高度为ℎ的水平面内做 匀速圆周运动,如图所示。若ℎ越大,则小球( ) 第 页,共 页 1 1A. 对侧壁的压力越大 B. 加速度越小 C. 角速度越小 D. 线速度越小 6.伽利略创造地把实验、假设和逻辑推理相结合,此科学方法促进了人类科学认识的发展。利用如图所示 的装置做如下实验:小球从左侧斜面上的O点由静止释放后沿斜面向下运动,并沿右侧斜面上升。斜面上 先后铺垫三种粗糙程度逐渐减低的材料时,小球沿右侧斜面上升到的最高位置依次为1、2、3。根据三次 实验结果的对比,可以得到的最直接的结论是( ) A. 如果斜面光滑,小球将上升到与O点等高的位置 B. 如果小球不受力,它将一直保持匀速运动或静止状态 C. 如果小球受到力的作用,它的运动状态将发生改变 D. 小球受到的力一定时,质量越大,它的加速度越小 7.鹊桥二号中继星的成功发射,为嫦娥六号在月球背面的探月任务提供地月间中继通讯。如图所示,鹊桥 二号采用周期为T的环月椭圆冻结轨道,远月点B距月心为近月点A距月心距离的9倍,CD为椭圆轨道的 短轴,关于该卫星的说法正确的是( ) A. 从C经B到D的运动时间为0.5T B. 在A、B两点的速度大小之比为3:1 C. 在A、B两点的加速度大小之比为9:1 D. 在地球表面附近的发射速度大于7.9km/s小于11.2km/s 8.2024年第11号台风“摩羯”于9月6日在海南文昌登陆,登陆时中心附近最大风力有17级以上,造成具 大破坏。已知11级台风的风速范围为28.5m/s∼32.6m/s,17级台风的风速范围为 56.1m/s∼61.2m/s。若台风迎面垂直吹向一固定的交通标志牌,则17级台风对该标志牌的作用力大小 约为11级台风的( ) A. 2倍 B. 4倍 C. 8倍 D. 16倍 9.2024年,中国选手陈艺文获得巴黎奥运会跳水项目女子3米板金牌。运动员(可视为质点)从跳板起跳后 运动速度—时间关系图像如图所示,t=0时刻跳板恢复水平,运动员向上跳离跳板,忽略空气阻力,重力 加速度g=10m/s2,关于图像中t 、t 和v 不可求的是( ) 1 2 1 A. t 1 B. t 2 C. v 1 D. 都不可求 10.如图所示,水平圆盘上P点有一滴粘稠液体,使圆盘绕竖直中心轴缓慢转动起来,则液体在圆盘上留下 的痕迹示意图可能为( ) 第 页,共 页 2 1A. B. C. D. 11.如图所示,竖直轻弹簧固定在水平地面上,一铁球从弹簧的正上方ℎ高处由静止释放。以铁球释放点 为原点,竖直向下为正方向,分别用y、E 和E表示铁球的位移、动能和机械能。不计空气阻力,弹簧在 k 弹性限度内。关于铁球从释放到最低点的过程中,其E −y或E−y图像可能正确的是( ) k 第 页,共 页 3 1A. B. C. D. 二、实验题:本大题共1小题,共15分。 12.如图(1),用图示装置测量滑块沿斜面下滑的加速度。将长直木板B支成斜面,挡光片P固定在滑块C 上且两者前端平齐,光电门G固定在木板上,导光孔与木板上的位置A相齐。让滑块C的前端与斜面上的 位置O相齐,滑块由静止释放,测出OA的距离x、挡光片的宽度Δx及挡光时间t,算出挡光片通过光电门 的平均速度v,即可测出滑块下滑的加速度。 (1)用游标卡尺测量挡光片的宽度,正确的操作应为图(2)中的 图(选填“a”或“b”)。 (2)用v作为滑块到达A处时的瞬时速度,得到的加速度 (填“偏大”或“偏小”); (3)换用不同宽度的挡光片,重复实验,测出挡光片的宽度Δx及挡光时间t,得出不同挡光片通过光电门的 平均速度v,图(3)中已描出几个点。根据图象,滑块前端过A处的瞬时速度大小为 m/s(结果保留三 第 页,共 页 4 1位有效数字),加速度大小为 m/s2 (结果保留一位有效数字)。 (4)有同学认为新方案每次都改变了研究对象的总质量,因此实验没有重复性,你认为这一观点正确吗? 简要说明理由。 三、计算题:本大题共4小题,共41分。 13.为了清理堵塞河道的冰凌,实施投弹爆破,飞机在河道上空高H=180m处以水平速度v =216km/ ℎ 0 匀速飞行,投放炸弹并击中目标,不计空气阻力,g取10m/s2。求: (1)炸弹刚脱离飞机到击中目标所飞行的水平距离; (2)炸弹击中目标时的速度大小。 14.如图所示,一质量为m的小球,用长为L的轻绳静止悬挂于O点的正下方P点。小球在水平恒力F的作 用下,从P点运动到Q点,立即撤去F。已知F=mg,θ=30°,重力加速度为g。求: 第 页,共 页 5 1(1)水平拉力F做的功W; (2)小球回到P点时绳子的拉力T。 15.某仓库运货的简化装置如图所示,配重和电动机连接小车的缆绳均平行于斜坡。装满货物的小车从静 止开始加速运动距离L,再以速度v沿斜坡匀速上行,关闭电动机后,小车又沿斜坡上行一段距离速度为零。 卸货后,给小车一个向下的初速度,小车沿斜坡刚好匀速下行。已知配重质量为m,小车质量2m,车上 货物质量为30m,重力加速度为g,小车运动时受到的摩擦阻力与车及车上货物总重力成正比,比例系数 k=0.25,配重始终未接触地面,不计电动机自身机械摩擦及缆绳质量。求: (1)斜坡倾角的正弦值sinθ; (2)关闭电动机后小车上行的距离d; (3)加速上行阶段电动机对小车做的功W。 16.如图甲所示,上表面光滑的固定平台上有A、B两物体,A与一轻弹簧相连,以初速度v 向B运动。从 0 弹簧接触B到与B分离过程A、B的v−t图像如图乙所示。已知从t=0到t=t 时间内,A运动的距离为 0 0.73v t 。完全分离后B滑上静止在光滑地面上与平台等高的木板C,C由水平粗糙轨道和1/4光滑圆弧 0 0 轨道组成、两者相切,圆弧轨道半径 v2 ,水平轨道长度 v2 。已知 、 质量均为 , 、 可视 R= 0 L= 0 B C m A B 32g 8g 为质点,不计空气阻力,重力加速度g。求: 第 页,共 页 6 1(1)A物体质量m ; A (2)为使B物体能进入圆弧轨道,且在上升阶段不脱离C,则B与C的水平轨道间的动摩擦因数μ满足的条 件; (3)A、B碰撞过程中,弹簧压缩量的最大值Δx 。 m 第 页,共 页 7 1参考答案 1.B 2.C 3.C 4.D 5.C 6.A 7.D 8.B 9.B 10.C 11.C 12.(1)a (2)偏大 (3)0.252;0.07 (4)不正确。由牛顿运动定律有mgsinθ−μmgcosθ=ma ,得运动加速度 a=gsinθ−μgcosθ ,与质量无 关。 13.(1)炸弹脱离飞机到击中目标在空中做平抛运动, 1 竖直方向做自由落体运动,则有H= gt2 2 水平方向做匀速运动,则有x=v t 0 代入数据得:x=360m 击中目标时竖直方向的速度为 ,则有 ( ) v v2=2gH 2 y y 所以炸弹击中目标时的速度大小 v=√v2+v2 0 y 代入数据得: v=60√2m/s。 14.(1)W =FLsinθ 代入已知得:W =0.5mgL (2)设小球回到P点速度为v 1 小球从P点到Q点再回到P点,根据动能定理有:W = mv2 2 第 页,共 页 8 1v2 在P点:T−mg=m L 代入已知,得:T=2mg。 15.(1)小车沿斜坡匀速下行,对小车m gsinθ =km g+T 车 车 对配重有 T=m g 配 将 m =2m、m =m和k=0.25代入,得:sinθ =0.75 车 配 (2)关闭电动机后,设小车上行的加速度大小为a, 对小车 m gsinθ +k m g −T ❑ / = m a 总 总 总 对配重 T/−m g =m a 配 配 v2=2ad 33v2 将 m =32m、m =m和k=0.25代入,得: d= 总 配 62g (3)对小车、货物和配重系统, 1 由功能关系得: W−km gL= (m +m)v2+m gLsinθ−mgL 总 2 总 总 将 m =32m、k=0.25代入,得: W =31mgL+16.5mv2 总 v 16.(1)A、B碰撞,系统动量守恒,由图乙有 m v =(m +m) 0 A 0 A 4 m 解得: m = A 3 (2)从弹簧接触B到与B分离,设分离时A物体速度v ,B物体速度v ,有 A B m v =m v +mv A 0 A A B 1 1 1 m v2= m v2 + mv2 2 A 0 2 A A 2 B 解得:v =0.5v B 0 若B物块恰好运动到圆弧轨道的最低点,此时两者共速,则对B与C整体由水平方向动量守 恒 mv =2mv B 1 1 1 由能量守恒定律 mv2= ×2mv2+μ mgL 2 B 2 1 1 解得:μ =0.5 1 第 页,共 页 9 1若B物块恰好运动到与圆弧圆心等高的位置,此时两者共速,则对B与C整体由水平方向动量守 恒 mv =2mv B 2 1 1 由能量守恒定律 mv2= ×2mv2+μ mgL+mgR 2 B 2 2 2 解得:μ =0.25 2 综上所述B与C的水平轨道间的动摩擦因数μ的取值范围为0.25≤μ<0.5 1 1 (3)弹簧接触B后,弹簧压缩过程中,A、B动量守恒,有 mv = mv +mv 3 0 3 A B 1 1 对方程两边同时乘以时间Δt,有 mv Δt= mv Δt+mv Δt 3 0 3 A B 1 1 0∼t 之间,根据位移等于速度在时间上的累积,可得 mv t = mx +mx 0 3 0 0 3 A B 将x =0.73v t 代入,得 x =0.09v t A 0 0 B 0 0 则弹簧压缩量的最大值Δx =x −x =0.64v t 。 m A B 0 0 第 页,共 页 10 1