当前位置:首页>文档>答案--铁人中学2024级高二上学期期末考试数学答案_2024-2025高二(7-7月题库)_2026年1月高二_260126黑龙江省大庆铁人中学2025-2026学年高二上学期期末考试(全)

答案--铁人中学2024级高二上学期期末考试数学答案_2024-2025高二(7-7月题库)_2026年1月高二_260126黑龙江省大庆铁人中学2025-2026学年高二上学期期末考试(全)

  • 2026-04-04 08:00:05 2026-02-19 02:59:37

文档预览

答案--铁人中学2024级高二上学期期末考试数学答案_2024-2025高二(7-7月题库)_2026年1月高二_260126黑龙江省大庆铁人中学2025-2026学年高二上学期期末考试(全)
答案--铁人中学2024级高二上学期期末考试数学答案_2024-2025高二(7-7月题库)_2026年1月高二_260126黑龙江省大庆铁人中学2025-2026学年高二上学期期末考试(全)
答案--铁人中学2024级高二上学期期末考试数学答案_2024-2025高二(7-7月题库)_2026年1月高二_260126黑龙江省大庆铁人中学2025-2026学年高二上学期期末考试(全)
答案--铁人中学2024级高二上学期期末考试数学答案_2024-2025高二(7-7月题库)_2026年1月高二_260126黑龙江省大庆铁人中学2025-2026学年高二上学期期末考试(全)
答案--铁人中学2024级高二上学期期末考试数学答案_2024-2025高二(7-7月题库)_2026年1月高二_260126黑龙江省大庆铁人中学2025-2026学年高二上学期期末考试(全)
答案--铁人中学2024级高二上学期期末考试数学答案_2024-2025高二(7-7月题库)_2026年1月高二_260126黑龙江省大庆铁人中学2025-2026学年高二上学期期末考试(全)

文档信息

文档格式
docx
文档大小
0.362 MB
文档页数
6 页
上传时间
2026-02-19 02:59:37

文档内容

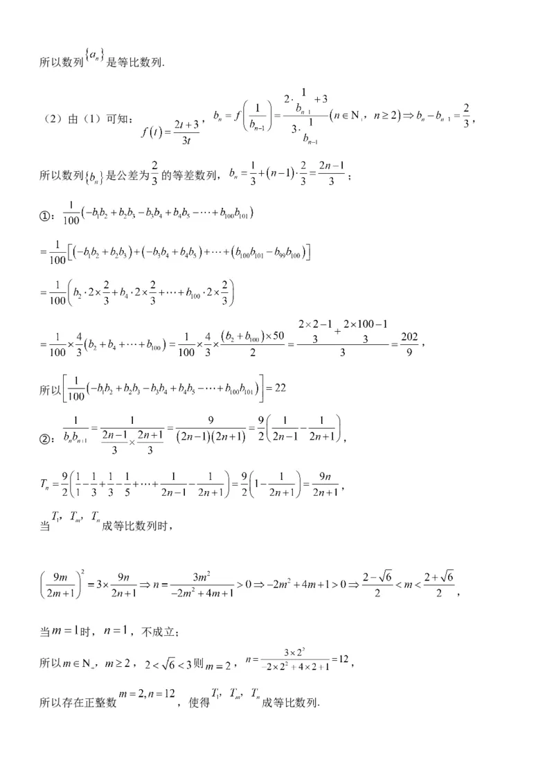
大庆铁人中学2024级高二年级上学期期末考试数学答案 1 2 3 4 5 6 7 8 9 10 11 A B D B D B C C BC ACD ABD 12. 13. 14. 15.(本小题13分) (1)设等差数列 的公差为d,等比数列 的公比为 ,依题意 , 解得 ,所以 . (2)设等差数列 的前n项和为 ,等比数列 的前n项和为 , 因为 , 所以数列 的前n项和为 . 16.(本小题15分) (1)由已知条件知,点 到点 的距离与到直线 的距离相等,由抛物线的定义可知点 的轨迹为以点 为焦点, 为准线的抛物线. 设抛物线的方程为 ,则 ,得 ,所以点 的轨迹方程 . (2)设直线 的方程为 ,则 . 由 消去 得 ,由韦达定理得 .直线 的方程为 , 化简、整理得 . 又 ,所以直线 的方程为 . 所以直线 经过定点 . 17.(本小题15分) (1)连接 交 于点 ,则 ,因为 , 所以 , 因为 平面 ,而 不在平面 内, 所以 平面 . (2)在△ 中,因为 ,所以根据余弦定理得 , 所以 ,则 ,又 平面 ,所以以 为原点,建立如图所示的 空间直角坐标系,则 . 所以 ,所以 . 设平面 的法向量为 ,则 , 即 ,令 ,则 ,所以 . 设直线 与平面 所成角为 , | DA∙m | 6 3❑√13 则 |cos⟨DA,m⟩|= = = . |DA||m| 2×❑√9+4 1318.(本小题17分) (1)由题意,当P点在长轴端点时,取 ,则 ①, 当P点在短轴端点时,取 ,则 ②, 由②得 ,故 代入①,可得 , ,故椭圆E的标准方程为 . (2) 如图1,若四边形 为平行四边形,又 ,则 ,即 为矩形, 设 ,则 ,又 ,则 , 于是 ,故平行四边形 的面积为 . (3)如图2,设 ,则 ,且 , 因 且 ,故 ,则 ; 因 ,则 因 ,故 ,则 . 由 联立解得: , 因点Q在椭圆E上,则得 ,将 代入化简得: , 解得 , ,即点P坐标为 . 19.(本小题17分) 【详解】(1)因为 ,所以 ,两式相减,得 , 在 中,令 ,得 ,显然 ,所以数列 是等比数列. (2)由(1)可知: , , 所以数列 是公差为 的等差数列, ; ①: , 所以 ②: , , 当 成等比数列时, , 当 时, ,不成立; 所以 , 则 , , 所以存在正整数 ,使得 成等比数列.