当前位置:首页>文档>2014年高考浙江文科数学试题及答案(精校版)_全国卷+地方卷_2.数学_1.数学高考真题试卷_2008-2020年_地方卷_地方卷高考文科数学_浙江文科数学08-16

2014年高考浙江文科数学试题及答案(精校版)_全国卷+地方卷_2.数学_1.数学高考真题试卷_2008-2020年_地方卷_地方卷高考文科数学_浙江文科数学08-16

  • 2026-04-02 04:15:26 2026-03-05 15:24:27

文档预览

2014年高考浙江文科数学试题及答案(精校版)_全国卷+地方卷_2.数学_1.数学高考真题试卷_2008-2020年_地方卷_地方卷高考文科数学_浙江文科数学08-16
2014年高考浙江文科数学试题及答案(精校版)_全国卷+地方卷_2.数学_1.数学高考真题试卷_2008-2020年_地方卷_地方卷高考文科数学_浙江文科数学08-16
2014年高考浙江文科数学试题及答案(精校版)_全国卷+地方卷_2.数学_1.数学高考真题试卷_2008-2020年_地方卷_地方卷高考文科数学_浙江文科数学08-16
2014年高考浙江文科数学试题及答案(精校版)_全国卷+地方卷_2.数学_1.数学高考真题试卷_2008-2020年_地方卷_地方卷高考文科数学_浙江文科数学08-16
2014年高考浙江文科数学试题及答案(精校版)_全国卷+地方卷_2.数学_1.数学高考真题试卷_2008-2020年_地方卷_地方卷高考文科数学_浙江文科数学08-16
2014年高考浙江文科数学试题及答案(精校版)_全国卷+地方卷_2.数学_1.数学高考真题试卷_2008-2020年_地方卷_地方卷高考文科数学_浙江文科数学08-16
2014年高考浙江文科数学试题及答案(精校版)_全国卷+地方卷_2.数学_1.数学高考真题试卷_2008-2020年_地方卷_地方卷高考文科数学_浙江文科数学08-16
2014年高考浙江文科数学试题及答案(精校版)_全国卷+地方卷_2.数学_1.数学高考真题试卷_2008-2020年_地方卷_地方卷高考文科数学_浙江文科数学08-16
2014年高考浙江文科数学试题及答案(精校版)_全国卷+地方卷_2.数学_1.数学高考真题试卷_2008-2020年_地方卷_地方卷高考文科数学_浙江文科数学08-16
2014年高考浙江文科数学试题及答案(精校版)_全国卷+地方卷_2.数学_1.数学高考真题试卷_2008-2020年_地方卷_地方卷高考文科数学_浙江文科数学08-16
2014年高考浙江文科数学试题及答案(精校版)_全国卷+地方卷_2.数学_1.数学高考真题试卷_2008-2020年_地方卷_地方卷高考文科数学_浙江文科数学08-16

文档信息

文档格式
doc
文档大小
1.208 MB
文档页数
11 页
上传时间
2026-03-05 15:24:27

文档内容

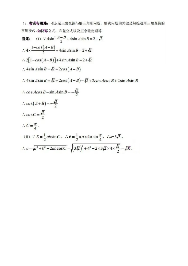
2014年普通高等学校招生全国统一考试(浙江卷) 数 学(文科) 一、选择题:本大题共10小题,每小题5分,共50分. 在每小题给出的四个选项中,只 有一项是符合题目要求的. 1、设集合 ,则 =( ) A. B. C. D. 2、设四边形ABCD的两条对角线AC,BD,则“四边形ABCD为菱形”是“AC BD”的 ( ) A.充分不必要条件 B.必要不充分条件 C.充要条件 D.既不充分又不必要条件 3、某几何体的三视图(单位:cm)如图所示,则该几何体的的体积是( ) A.72 cm3 B.90 cm3 4 4 3 3 C.108 cm3 D.138 cm3 4、为了得到函数 的图象,可以将 正视图 侧视图 函数 的图像( ) 3 A.向右平移 个单位 B.向右平移 3 个单位 C.向左平移 个单位 D.向左平移 俯视图 个单位 5、已知圆 截直线 所得弦的长度为4,则实数 的值是 A.-2 B.-4 C.-6 D.-8 ( ) 6、设 是两条不同的直线, 是两个不同的平面( ) A.若 , ,则 B.若 , 则 C.若 则 D.若 , , ,则 7、已知函数 ( ) A. B. C. D. 8、在同一直角坐标系中,函数 ( ), 的图象可能是( ) 9、设 为两个非零向量 , 的夹角,已知对任意实数 , 是最小值为1( )A.若 确定,则 唯一确定 B.若 确定,则 唯一确定 C.若 确定,则 唯一确定 D.若 确定,则 唯一确定 10、如图,某人在垂直于水平地面ABC的墙面前的点A处 进行射击训练,已知点A到墙面的距离为AB,某目标点 沿墙面的射击线 移动,此人为了准确瞄准目标点 , 需计算由点 观察点 的仰角 的大小(仰角 为直线AP 与平面ABC所成角)。若 , , 则 的最大值( ) A. B. C. D. 二、填空题:本大题共7小题,每小题4分,共28分. 11、已知 是虚数单位,计算 =____________; 开始 输入n 12、若实数 满足 ,则 的取值范围是 S=0, i=1 _____________; 13、若某程序框图如图所示,当输入50时,则该程序运行后输出 的结果是__________; S=2 S+i 14、在3张奖券中有一、二等奖各1张,另1张无奖,甲、乙两人 各抽取1张,两人都中奖的概率是______________; i=i+1 否 15、设函数 ,若 ,则 = S≥n _________; 是 输出i 16、已知实数 满足 , ,则 的最 大值是____________; 结束 17、设直线 与双曲线 的两条渐近线分别交于 点A、B,若点 满足 ,则该双曲线的离心率是______________. 三.解答题:本大题共5小题,共72分。解答应写出文字说明、证明过程或演算步骤。 18、(本题满分14分) 在 中,内角A,B,C所对的边分别为 ,已知 (1)求角C的大小;(2)已知 , 的面积为6,求边长 的值。 19、(本题满分14分)已知等差数列 的公差 ,设 的前n项和为 , , (1)求 及 ; (2)求 ( )的值,使得 20、(本题满分15分) 如图,在四棱锥A—BCDE中,平面 平面 ; , , , 。 A (1)证明: 平面 ; (2)求直线 与平面ABC所成的角的正切值。 D C E B 21、(本题满分15分) 已知函数 ,若 在 上的最小值记为 。 (1)求 ; (2)证明:当 时,恒有 22、(本题满分14分) 已知 的三个顶点在抛物线C: 上,F为抛物线C的焦点,点M为AB的中 点, ; y (1)若 ,求点M的坐标; P (2)求 面积的最大值。 B M F A 0 x 2014年高考浙江卷文科数学参考答案 一.选择题:本大题共10小题,每小题5分,共50分. 在每小题给出的四个选项中,只 有一项是符合题目要求的。 1.【答案】D【解析】 依题意 ,故选D. 点评:本题考查结合的交运算,容易题. 2.【答案】A 【解析】若四边形 为菱形,则对角线 ;反之若 ,则四边形比一 定是平行四边形,故“四边形 为菱形”是“ ”的充分不必要条件,选A. 点评: 本题考查平行四边形、 菱形的性质,充分条件与必要条件判断,容易题. 3.【答案】B 【解析】由三视图知,原几何体是由一个长方体与一个三棱柱组成,其体积为 ,故选B. 点评:本题考查根据三视图还原几何体, 求原几何体的体积,容易题. 4.【答案】C 【解析】因为 ,所以将函数 的图 象向左平移 个单位长得函数 ,即得函数 的图 象 , 选 C. 点 评 : 本 题 考 查 三 角 函 数 的 图 象 的 平 移 变 换 , 公 式 的运用,容易题. 5.【答案】B 【解析】由 配方得 ,所以圆心坐标为 ,半径 ,由圆心到直线 的距离为 ,所以 ,解得 ,故选B. 点评:本题考查直线与圆相交,点到直线的距离公式的运用,容易题. 6.【答案】C 【解析】对A,若 , ,则 或 或 ,错误; 对B,若 , ,则 或 或 ,错误; 对C,若 , , ,则 ,正确; 对D,若 , , ,则 或 或 ,错误. 故选C. 点评:本题考查空间中的线线、线面、面面的闻之关系,容易题. 7.【答案】C 【解析】 设 ,则一元二次方程 有三个根 、 、 ,所以 , 由于 的最高次项的系数为1,所 以 ,所以 . 点评:本题考查函数与方程的关系,中等题.8.【答案】D 【解析】对A,没有幂函数的图象,;对B, 中 , 中 ,不符合题题;对C, 中 , 中 ,不符 合题题;对D, 中 , 中 ,符合题题;故选 D. 点评:本题考查幂函数与对数函数的图象判断,容易题. 9.【答案】D 【解析】依题意,对任意实数 , 恒成立,所以 恒成立,若 为定值,则当 为定值时二次函数才有最小 值. 故选B. 点评:本题考查平面向量的夹角、模,二次函数的最值,难度中等. 10.【答案】C 【解析】由勾股定理知, ,过点 作 交 于 ,连结 , 则 ,设 ,则 ,因为 , 所以 ,所以当 时去的最大值 , 故 的最大值为 . 考点:本题考查函数的奇函数的性质、分段函数、最值及恒成立,难度中等. 二.填空题:本大题共7小题,每小题4分,共28分.请将答案天灾答题卡对应题号的位 置上,答错位置,书写不清,模棱两可均不得分. 11.【答案】 【解析】 因为 . 点评:本题考查复数的运算,容易题. 12.【答案】2 【解析】不等式组表示的平面区域如图中 ,令 ,解方程组 得 ,解方程组 得 ,平移直线 经过点 使得 取得最大值,即 ,当直线 经过点 使得 取得最小 值,即 ,故 的取值范围是 . 点评:本题考查不等式组表示的平面区域,求目标函数的最值,容易题. 13.【答案】6【解析】当 , ,则第一次运行 , ; 第二次运行 , ; 第三次运行 , ; 第四次运行 , ; 第五次运行 , 终止循环,故输出 . 点评:本题考查程序框图,直到型循环结构,容易题. 14.【答案】 【解析】基本事件的总数是 ,甲乙两人各抽取一张,两人都中奖只有2种 情况,由古典概型公式知,所求的概率 . 点评:本题考查古典概型,容易题. 15.【答案】4 【解析】若 ,无解;若 ,解得 .故 点评:本题考查分段函数,复合函数,容易题. 16.【答案】 【解析】因为 ,所以 ,所以 , 所以 ,故实数 的最大值为 . 点评:本题考一元二次方程的根的判别式,容易题. 17.【答案】 【解析】由双曲线的方程数知,其渐近线方程为 与 ,分别与直线 联 立 方 程 组 , 解 得 , , 由 , 设 的 中 点 为 , 因 为 与 直 线 垂 直 , 所 以 ,所以 . 点评:本题考查双曲线的性质、渐近线与离心率, 中等题. 三. 解答题:本大题共5小题,共72分。解答应写出文字说明、证明过程或演算步骤。