当前位置:首页>文档>1第1讲 随机抽样、用样本估计总体_2.2025数学总复习_2023年新高考资料_一轮复习_2023新高考一轮复习讲义+课件_2023年高考数学一轮复习讲义(新高考)_赠补充习题库

1第1讲 随机抽样、用样本估计总体_2.2025数学总复习_2023年新高考资料_一轮复习_2023新高考一轮复习讲义+课件_2023年高考数学一轮复习讲义(新高考)_赠补充习题库

  • 2026-04-09 17:41:15 2026-03-08 06:28:08

文档预览

1第1讲 随机抽样、用样本估计总体_2.2025数学总复习_2023年新高考资料_一轮复习_2023新高考一轮复习讲义+课件_2023年高考数学一轮复习讲义(新高考)_赠补充习题库
1第1讲 随机抽样、用样本估计总体_2.2025数学总复习_2023年新高考资料_一轮复习_2023新高考一轮复习讲义+课件_2023年高考数学一轮复习讲义(新高考)_赠补充习题库
1第1讲 随机抽样、用样本估计总体_2.2025数学总复习_2023年新高考资料_一轮复习_2023新高考一轮复习讲义+课件_2023年高考数学一轮复习讲义(新高考)_赠补充习题库
1第1讲 随机抽样、用样本估计总体_2.2025数学总复习_2023年新高考资料_一轮复习_2023新高考一轮复习讲义+课件_2023年高考数学一轮复习讲义(新高考)_赠补充习题库
1第1讲 随机抽样、用样本估计总体_2.2025数学总复习_2023年新高考资料_一轮复习_2023新高考一轮复习讲义+课件_2023年高考数学一轮复习讲义(新高考)_赠补充习题库
1第1讲 随机抽样、用样本估计总体_2.2025数学总复习_2023年新高考资料_一轮复习_2023新高考一轮复习讲义+课件_2023年高考数学一轮复习讲义(新高考)_赠补充习题库
1第1讲 随机抽样、用样本估计总体_2.2025数学总复习_2023年新高考资料_一轮复习_2023新高考一轮复习讲义+课件_2023年高考数学一轮复习讲义(新高考)_赠补充习题库
1第1讲 随机抽样、用样本估计总体_2.2025数学总复习_2023年新高考资料_一轮复习_2023新高考一轮复习讲义+课件_2023年高考数学一轮复习讲义(新高考)_赠补充习题库
1第1讲 随机抽样、用样本估计总体_2.2025数学总复习_2023年新高考资料_一轮复习_2023新高考一轮复习讲义+课件_2023年高考数学一轮复习讲义(新高考)_赠补充习题库
1第1讲 随机抽样、用样本估计总体_2.2025数学总复习_2023年新高考资料_一轮复习_2023新高考一轮复习讲义+课件_2023年高考数学一轮复习讲义(新高考)_赠补充习题库
1第1讲 随机抽样、用样本估计总体_2.2025数学总复习_2023年新高考资料_一轮复习_2023新高考一轮复习讲义+课件_2023年高考数学一轮复习讲义(新高考)_赠补充习题库
1第1讲 随机抽样、用样本估计总体_2.2025数学总复习_2023年新高考资料_一轮复习_2023新高考一轮复习讲义+课件_2023年高考数学一轮复习讲义(新高考)_赠补充习题库
1第1讲 随机抽样、用样本估计总体_2.2025数学总复习_2023年新高考资料_一轮复习_2023新高考一轮复习讲义+课件_2023年高考数学一轮复习讲义(新高考)_赠补充习题库
1第1讲 随机抽样、用样本估计总体_2.2025数学总复习_2023年新高考资料_一轮复习_2023新高考一轮复习讲义+课件_2023年高考数学一轮复习讲义(新高考)_赠补充习题库
1第1讲 随机抽样、用样本估计总体_2.2025数学总复习_2023年新高考资料_一轮复习_2023新高考一轮复习讲义+课件_2023年高考数学一轮复习讲义(新高考)_赠补充习题库
1第1讲 随机抽样、用样本估计总体_2.2025数学总复习_2023年新高考资料_一轮复习_2023新高考一轮复习讲义+课件_2023年高考数学一轮复习讲义(新高考)_赠补充习题库
1第1讲 随机抽样、用样本估计总体_2.2025数学总复习_2023年新高考资料_一轮复习_2023新高考一轮复习讲义+课件_2023年高考数学一轮复习讲义(新高考)_赠补充习题库
1第1讲 随机抽样、用样本估计总体_2.2025数学总复习_2023年新高考资料_一轮复习_2023新高考一轮复习讲义+课件_2023年高考数学一轮复习讲义(新高考)_赠补充习题库
1第1讲 随机抽样、用样本估计总体_2.2025数学总复习_2023年新高考资料_一轮复习_2023新高考一轮复习讲义+课件_2023年高考数学一轮复习讲义(新高考)_赠补充习题库
1第1讲 随机抽样、用样本估计总体_2.2025数学总复习_2023年新高考资料_一轮复习_2023新高考一轮复习讲义+课件_2023年高考数学一轮复习讲义(新高考)_赠补充习题库

文档信息

文档格式
doc
文档大小
1.214 MB
文档页数
20 页
上传时间
2026-03-08 06:28:08

文档内容

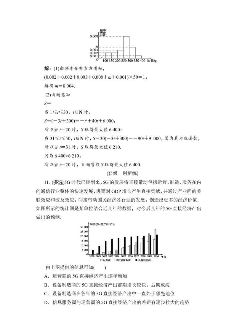
第1讲 随机抽样、用样本估计总体 最新考纲 考向预测 1.理解随机抽样的必要性和重要性. 2.会用简单随机抽样方法从总体中抽 取样本,了解分层抽样方法. 在抽样方法的考查中,简单 3.了解频率分布的意义和作用,会列频 随机抽样、分层抽样是考查 率分布表,会画频率分布直方图、频率 的重点,题型主要以选择题 分布折线图、茎叶图,理解它们各自的 和填空题为主,属于中低档 命题趋 特点. 题.用样本估计总体,是统 势 4.理解样本数据标准差的意义和作用, 计学的基础.以考查频率分 会计算数据标准差. 布直方图、平均数、方差、 5.能从样本数据中提取基本的数字特 标准差为主,同时考查对样 征(如平均数、标准差),并给出合理的 本估计总体的思想的理解. 解释. 6.会用样本的频率分布估计总体分布, 会用样本的数字特征估计总体的数字 特征,理解用样本估计总体的思想. 核心素 数据分析、数学建模 养 1.随机抽样 (1)简单随机抽样 ①定义:一般地,设一个总体含有N个个体,从中逐个不放回地抽取n个个体 作为样本(n≤N),且每次抽取时总体内的各个个体被抽到的机会都相等,就称这样的抽样方法为简单随机抽样. ②常用方法:抽签法和随机数法. (2)分层抽样 ①定义:在抽样时,将总体分成互不交叉的层,然后按照一定的比例,从各层 独立地抽取一定数量的个体,将各层取出的个体合在一起作为样本,这种抽样方 法是一种分层抽样. ②适用范围:适用于总体由差异比较明显的几个部分组成时. 2.统计图表 (1)频率分布直方图的画法步骤 ①求极差(即一组数据中最大值与最小值的差); ②决定组距与组数; ③将数据分组; ④列频率分布表; ⑤画频率分布直方图. (2)频率分布折线图和总体密度曲线 ①频率分布折线图:连接频率分布直方图中各小长方形上端的中点,就得到 频率分布折线图. ②总体密度曲线:随着样本容量的增加,作图时所分的组数增加,组距减小, 相应的频率折线图会越来越接近于一条光滑曲线,统计中称这条光滑曲线为总体 密度曲线. 3.样本的数字特征 (1)众数:一组数据中出现次数最多的那个数据,叫做这组数据的众数. (2)中位数:把n个数据按大小顺序排列,处于最中间位置的一个数据(或最中 间两个数据的平均数)叫做这组数据的中位数. (3)平均数:把称为a ,a ,…,a 这n个数的平均数. 1 2 n (4)标准差与方差:设一组数据x ,x ,x ,…,x 的平均数为x,则这组数据的标 1 2 3 n 准差和方差分别是 s= , s2=[(x -x)2+(x -x)2+…+(x -x)2]. 1 2 n 常用结论 1.频率分布直方图与众数、中位数和平均数的关系 (1)最高的小长方形底边中点的横坐标即是众数. (2)中位数左边和右边的小长方形的面积和是相等的.(3)平均数是频率分布直方图的“重心”,等于频率分布直方图中每个小长方 形的面积乘以小长方形底边中点的横坐标之和. 2.巧用四个有关的结论 (1)若x ,x ,…,x 的平均数为x,那么mx +a,mx +a,…,mx +a的平均数为 1 2 n 1 2 n mx+a; (2)数据x ,x ,…,x 与数据x′ =x +a,x′ =x +a,…,x′ =x +a 的方差相 1 2 n 1 1 2 2 n n 等,即数据经过平移后方差不变; (3)若x ,x ,…,x 的方差为s2,那么ax +b,ax +b,…,ax +b的方差为a2s2; 1 2 n 1 2 n (4)s2=∑ (x-x)2=∑x-x2,即各数平方的平均数减去平均数的平方. i 常见误区 1.不论哪种抽样方法,总体中的每一个个体入样的概率是相同的. 2.易忽视频率分布直方图中纵轴表示的应为. 1.判断正误(正确的打“√”,错误的打“×”) (1)简单随机抽样是一种不放回抽样.( ) (2)在抽签法中,先抽的人抽中的可能性大.( ) (3)一组数据的方差越大,说明这组数据的波动越大.( ) (4)在频率分布直方图中,小矩形的面积越大,表示样本数据落在该区间内的 频率越大.( ) (5)频率分布表和频率分布直方图是一组数据频率分布的两种形式,前者准确 后者直观.( ) 答案:(1)√ (2)× (3)√ (4)√ (5)√ 2.某工厂生产甲、乙、丙三种型号的产品,产品的数量之比为3∶5∶7,现用 分层抽样的方法抽出容量为n的样本,其中甲种型号的产品有18件,则样本容量 n=( ) A.54 B.90 C.45 D.126 解析:选B.依题意得×n=18,解得n=90,即样本容量为90. 3.(多选)下图是某商场2020年洗衣机、电视机和电冰箱三种电器各季度销量 的百分比堆积图(例如:第三季度内,洗衣机销量约占20%,电视机销量约占 50%,电冰箱销量约占30%).根据该图,以下结论中不一定正确的是( )A.电视机销量最大的是第四季度 B.电冰箱销量最小的是第四季度 C.电视机的全年销量最大 D.洗衣机的全年销量最小 解析:选ABD.对于A,对比四个季度中,第四季度所销售的电视机所占百分 比最大,但由于销售总量未知,所以销量不一定最大.同理,易知B不一定正确. 在四个季度中,电视机在每个季度的销量所占百分比都是最大,即在每个季度销 量都是最多的,所以全年销量最大的是电视机,C正确.对于D,洗衣机在第四季 度所占百分比不是最小的,故D不一定正确. 4.(易错题)我市某校组织学生参加英语测试,成绩的频率分布直方图如图, 数据的分组依次为[20,40),[40,60),[60,80),[80,100],若低于60分的人数是 15,则该班的学生人数是________. 解析:依题意得,成绩低于60分的相应的频率等于(0.005+0.01)×20=0.3, 所以该班的学生人数是15÷0.3=50. 答案:50 5.已知一组数据4.7,4.8,5.1,5.4,5.5,则该组数据的方差是________. 解析:5个数的平均数x==5.1,所以它们的方差s2=[(4.7-5.1)2+(4.8-5.1)2 +(5.1-5.1)2+(5.4-5.1)2+(5.5-5.1)2 ]=0.1. 答案:0.1 随机抽样[题组练透] 1.(2020·重庆中山外国语学校模拟)如饼图,某学校共有教师120人,从中选 出一个30人的样本,其中被选出的青年女教师的人数为( ) A.12 B.6 C.4 D.3 解析:选D.青年教师的人数为120×(1-30%-40%)=36, 所以青年女教师为12人,故被选出的青年女教师人数为12×=3.故选D. 2.(2020·贵阳市适应性考试)为了保障人民群众的身体健康,在预防新型冠状 病毒期间,贵阳市市场监督管理局加强了对市场的监管力度,为了考察生产口罩 的某工厂生产的600个口罩是否合格,利用随机数表进行抽样测试,先将600个 口罩进行编号,编号分别为001,002,…,599,600,再从中抽取60个样本,如下 提供随机数表的第4行到第6行: 32 21 18 34 29 78 64 54 07 32 52 42 06 44 38 12 23 43 56 77 35 78 90 56 42 84 42 12 53 31 34 57 86 07 36 25 30 07 32 86 23 45 78 89 07 23 68 96 08 04 32 56 78 08 43 67 89 53 55 77 34 89 94 83 75 22 53 55 78 32 45 77 89 23 45 若从表中第6行第6列开始向右依次读取3个数据,则得到的第5个样本数 据为( ) A.578 B.324 C.535 D.522 解析:选D.第6行的第6个数开始的三位数分别为808,436,789,535,577, 348,994,837,522,…,符合条件的编号分别为436,535,577,348,522,…,第5 个样本数据为522. 3.(2020·开封市模拟考试)为应对新冠肺炎疫情,许多企业在非常时期转产抗 疫急需物资,某工厂转产甲、乙、丙、丁四种不同型号的防疫物资,产量分别为 200,400,300,100(单位:件).为检验产品的质量,现用分层抽样的方法从以上所 有的产品中抽取60件进行检验,则应从甲种型号的产品中抽取________件. 解析:依题意,注意到在甲、乙、丙、丁四种不同型号的防疫物资中,甲种型号的产品占=.因此,采用分层抽样的方法从这些产品中抽取60件进行检验,应从 甲种型号的产品中抽取60×=12(件). 答案:12 (1)抽签法与随机数法的适用情况 ①抽签法适用于总体中个体数较少的情况,随机数法适用于总体中个体数较 多的情况. ②一个抽样试验能否用抽签法,关键看两点: 一是制签是否方便;二是号签是否易搅匀.一般地,当总体容量和样本容量都 较小时可用抽签法. (2)分层抽样问题类型及解题思路 ①求某层应抽个体数量,根据该层所占总体的比例计算. ②已知某层个体数量,求总体容量,根据分层抽样即按比例抽样,列比例式进 行计算. ③确定是否应用分层抽样:分层抽样适用于总体中个体差异较大的情况. 统计图表及应用 角度一 扇形图 (多选)某家庭2020年的总支出是2019年的总支出的1.5倍,下图分别 给出了该家庭2019年、2020年的各项支出占该家庭这一年总支出的比例情况, 则下列结论中正确的是( ) A.2020年日常生活支出减少 B.2020年保险支出比2019年保险支出增加了一倍以上 C.2020年其他支出比2019年其他支出增加了两倍以上 D.2019年和2020年,每年的日常生活支出和房贷还款支出的和均占该年总 支出的一半以上【解析】 设2019年的总支出为x,则2020年的总支出为1.5x,2019年日常 生活支出为0.35x,2020年日常生活支出为0.34×1.5x=0.51x,故2020年日常生 活支出增加,A错误;2019年保险支出为0.05x,2020年保险支出为0.07×1.5x= 0.105x,B 正确;2019 年其他支出为 0.05x,2020 年其他支出为 0.09×1.5x= 0.135x,(0.135x-0.05x)÷0.05x=1.7,故C错误;2019年日常生活支出和房贷支出 之和为0.65x,超过2019年总支出的一半,2020年日常生活支出和房贷支出之和 为0.59×1.5x=0.885x,超过2020年总支出的一半,故D正确. 【答案】 BD 角度二 折线图 (多选)某市气象部门根据2020年各月的每天最高气温平均值与最低气 温平均值(单位:℃)数据,绘制如下折线图: 那么,下列叙述正确的是( ) A.各月最高气温平均值与最低气温平均值总体呈正相关 B.全年中,2月份的最高气温平均值与最低气温平均值的差值最大 C.全年中各月最低气温平均值不高于10℃的月份有5个 D.从2020年7月至12月该市每天最高气温平均值与最低气温平均值呈下 降趋势 【解析】 对于A,根据折线图可以发现除2月份外,各月最低气温平均值越 高,最高气温平均值也越高,总体呈正相关,A正确;对于B,通过折线图观察,2 月份的两个点距离最大,B正确;对于C,全年中各月最低气温平均值 不高于 10℃的有1月,2月,3月,11月,12月,共有5个月,C正确;对于D,观察折线图 可知,7月份到8月份气温在上升,D错误. 【答案】 ABC 角度三 茎叶图 (2020·深圳市统一测试)如图所示的茎叶图记录了甲、乙两支篮球队各6 名队员某场比赛的得分数据(单位:分).若这两组数据的中位数相等,且平均值也 相等,则x和y的值分别为( )A.2和6 B.4和6 C.2和7 D.4和7 【解析】 由题意知,甲队得分的中位数是=18,乙队得分的中位数是=18, 所以y=7.乙队得分的平均数是18,甲队得分的平均数是=18,所以x=2.故选C. 【答案】 C 角度四 频率分布直方图 (2020·高考天津卷)从一批零件中抽取80个,测量其直径(单位:mm), 将所得数据分为9组:[5.31,5.33),[5.33,5.35),…,[5.45,5.47),[5.47,5.49],并整 理得到如下频率分布直方图,则在被抽取的零件中,直径落在区间[5.43,5.47)内 的个数为( ) A.10 B.18 C.20 D.36 【解析】 由题知[5.43,5.45)与[5.45,5.47)所对应的小矩形的高分别为6.25, 5.00,所以[5.43,5.47)的频率为(6.25+5.00)×0.02=0.225,所以直径落在区间 [5.43,5.47)内的个数为80×0.225=18.故选B. 【答案】 B (1)通过扇形统计图可以很清楚的表示出各部分数量同总数之间的关系. (2)折线图可以显示随时间(根据常用比例放置)而变化的连续数据,因此非常 适用于显示在相等时间间隔下数据的趋势. (3)由茎叶图可以清晰地看到数据的分布情况,这一点同频率分布直方图类似 它优于频率分布直方图的第一点是从茎叶图中能看到原始数据,没有任何信息损失,第二点是茎叶图便于记录和表示.其缺点是当样本容量较大时,作图较烦琐. (4)准确理解频率分布直方图的数据特点: ①频率分布直方图中纵轴上的数据是各组的频率除以组距的结果,不要误以 为纵轴上的数据是各组的频率,不要和条形图混淆. ②频率分布直方图中各小长方形的面积之和为1,这是解题的关键,常利用 频率分布直方图估计总体分布. 1.(多选)如图所示的折线图表示某商场一年中各月的收入、支出情况,则下 列说法中正确的是( ) A.全年收入1至2月份增速最快 B.全年中2月份支出最高 C.四个季度中第二季底的月平均支出最低 D.利润最低的月份是5月份(利润=收入-支出) 解析:选ABC.从折线图看出1至2月份收入数据的连线斜向上,且最陡,故 A正确;由折线图可以看出支出的最高点在2月份,故B正确;由折线图可看出 第二季度的总支出最低,故第二季度的月平均支出最低,故C正确;5月份的利润 为30-10=20(万元),8月份的利润为50-40=10(万元),20>10,故D错误. 2.(2020·开封市第一次模拟考试)某省普通高中学业水平考试成绩由高分到 低分按人数所占比例依次分为A,B,C,D,E五个等级,A等级15%,B等级 30%,C等级30%,D,E等级共25%.其中E等级为不合格,原则上比例不超过 5%.该省某校高二年级学生都参加学业水平考试,先从中随机抽取部分学生的考 试成绩进行统计,统计结果如图所示.若该校高二年级共有1 000名学生,则估计 该年级拿到C等级及以上级别的学生人数为( )A.45 B.660 C.880 D.900 解析:选D.由题中两图可知C等级所占比例为×20%=24%,所以C等级及 以上级别所占比例为20%+24%+46%=90%,所以C等级及以上级别的学生人 数为1 000×90%=900.故选D. 样本的数字特征 (1)(2020·高考全国卷Ⅲ)设一组样本数据x ,x ,…,x 的方差为0.01,则 1 2 n 数据10x ,10x ,…,10x 的方差为( ) 1 2 n A.0.01 B.0.1 C.1 D.10 (2)甲、乙两名射击运动员参加某大型运动会的预选赛,他们分别射击了5次 成绩如下表(单位:环): 甲 10 8 9 9 9 乙 10 10 7 9 9 如果甲、乙两人中只有1人入选,则入选的最佳人选应是________. 【解析】 (1)由已知条件可知样本数据x ,x ,…,x 的平均数x=,方差s=[(x 1 2 n 1 -x)2+(x -x)2+…+(x -x)2]=0.01,则数据10x ,10x ,…,10x 的平均数为= 2 n 1 2 n 10x. 所以这组数据的方差 s=[(10x -10x)2+(10x -10x)2+…+(10x -10x)2]= 1 2 n [(x -x)2+(x -x)2+…+(x -x)2]=100s=100×0.01=1,故选C. 1 2 n (2)由题意可得x =x =9, 甲 乙 又因为s=×[(9-10)2+(9-8)2+(9-9)2+(9-9)2+(9-9)2]=, s=×[(9-10)2+(9-10)2+(9-7)2+(9-9)2+(9-9)2]=>s,所以甲更稳定, 故最佳人选应是甲. 【答案】 (1)C (2)甲 众数、中位数、平均数、方差的意义及常用结论 (1)平均数与方差都是重要的数字特征,是对总体的一种简明的描述,它们所 反映的情况有着重要的实际意义,平均数、中位数、众数描述其集中趋势,方差和 标准差描述波动大小. (2)方差的简化计算公式:s2=[(x+x+…+x)-nx2]或写成s2=(x+x+…+x) -x2,即方差等于原数据平方的平均数减去平均数的平方.1.(2020·甘肃、青海、宁夏联考)从某小学随机抽取100名同学,将他们的身 高(单位:厘米)分布情况汇总如下: 身高 (100,110] (110,120] (120,130] (130,140] (140,150] 频数 5 35 30 20 10 由此表估计这100名小学生身高的中位数为(结果保留4位有效数字)( ) A.119.3 B.119.7 C.123.3 D.126.7 解析:选C.由题意知身高在(100,110],(110,120],(120,130]内的频率依次为 0.05,0.35,0.3,前两组频率和为0.4,组距为10,设中位数为x,则(x-120)×= 0.1,解得x≈123.3.故选C. 2.(多选)我国新冠肺炎疫情防控进入常态化,各地有序推动复工复产,下面 是某地连续11天的复工、复产指数折线图. 根据该折线图,下列说法正确的是( ) A.这11天复工指数和复产指数均逐日增加 B.在这11天期间,复产指数的增量大于复工指数的增量 C.第3天至第11天,复工指数和复产指数都超过80% D.第9天至第11天,复产指数的增量大于复工指数的增量 解析:选CD.由题中折线图可知,第7天至第9天,复产指数与复工指数均减 小,故选项A错误.在这11天期间,复产指数的增量小于复工指数的增量,故选 项B错误.易知C,D正确. 核心素养系列6 数据分析——读取频率分布直方图中的数据 数据分析是指针对研究对象获得相关数据,运用统计方法对数据中的有用信 息进行分析和推断,形成知识的过程.主要包括:收集数据,整理数据,提取信息,构建模型对信息进行分析、推断,获得结论. (2020·天津和平区模拟)某市要对两千多名出租车司机的年龄进行调查, 现从中随机抽出100名司机,已知抽到的司机年龄(单位:岁)都在[20,45]内,根据 调查结果得出司机的年龄情况的频率分布直方图如图所示,利用这个残缺的频率 分布直方图估计该市出租车司机年龄的中位数大约是( ) A.32 B.33 C.34 D.37 【解析】 在频率分布直方图中,所有小矩形的面形之和为1,所以样本数据 位于[25,30)内的频率为1-(0.01+0.07+0.06+0.02)×5=0.2,包含未画的小矩 形的五个小矩形中,前两个小矩形的面积之和为0.05+0.2=0.25,前三个小矩形 的面积之和为0.05+0.2+0.35=0.6,所以中位数位于区间[30,35)内,设中位数为 a,则有0.05+0.2+(a-30)×0.07=0.5,解得a≈34,故选C. 【答案】 C 频率分布直方图是表达和分析数据的重要工具,破解此类频率分布直方图的 关键:一是会求频率,即会观图、读数据,利用频率分布直方图中每一个小矩形的 高乘以组距求出这一组的频率;二是会求频数,利用频率乘以样本容量,即可求 出样本数据落在对应区间上的频数. (多选)某小区为了让居民了解更多垃圾分类的知识,对500名 小区居民进行了培训,并进行了培训结果测试,从中随机抽取50名居民的成绩 (单位:分),按照[50,60),[60,70),…,[90,100]分成5组,并制成了如图所示的频 率分布直方图,则下列结论正确的是( ) A.所抽取的50名居民成绩的平均数约为74B.所抽取的50名居民成绩的中位数约为75 C.所抽取的50名居民成绩的众数约为65、75 D.参加培训的居民中约有100人的成绩不低于85分 解析:选AD.由频率分布直方图可得,成绩在[80,90)内的频率为1-(0.01+ 0.03+0.03+0.01)×10=0.2,则x=0.02.故可估计所抽取的50名居民成绩的平均 数为(55×0.01+65×0.03+75×0.03+85×0.02+95×0.01)×10=74,所以A正 确.由频率分布直方图可知,成绩在[50,60)内的频率为0.1,成绩在[60,70)内的 频率为0.3,成绩在[70,80)内的频率为0.3,所以中位数在[70,80)内.设中位数约 为70+y,则0.03y=0.5-0.1-0.3=0.1,解得y≈3.33,所以所求中位数约为 73.33,所以B错误.最高矩形是第二个、第三个(从左往右数),这两个最高矩形数 据的中间值为70,所以所求众数约为70,所以C错误.由频率分布直方图可得成 绩在[80,90)内的频率为0.2,则成绩在[85,90)内的频率为0.1,又成绩在[90,100] 内的频率为 0.1,所以参加培训的居民中成绩不低于 85 分的约有 500×0.1+ 500×0.1=100(人).故选AD. [A级 基础练] 1.(2020·深圳市统一测试)某工厂生产的30个零件编号为01,02,…,29,30, 现利用如下随机数表从中抽取5个进行检测.若从表中第1行第5列的数字开始 从左往右依次读取数字,则抽取的第5个零件编号为( ) A.25 B.23 C.12 D.07 解析:选C.利用题中随机数表从中抽取 5个进行检测,若从表中第1行第5 列的数字开始,从左往右依次读取数字,抽取的前5个零件编号依次是07,04, 08,23,12,故抽取的第5个零件编号为12,选C. 2.已知甲、乙两人进行篮球罚球训练,每人练习10组,每组罚球40个,每组 命中个数的茎叶图如图所示,则下列说法错误的是( ) A.甲命中个数的极差为29B.乙命中个数的众数是21 C.甲的命中率比乙高 D.甲命中个数的中位数是25 解析:选D.甲命中个数的极差为37-8=29,A项正确;乙命中个数的众数是 21,B项正确;x =×(8+12+13+20+22+24+25+26+27+37)=21.4,x = 甲 乙 ×(9+11+13+14+18+19+20+21+21+23)=16.9,C项正确;甲命中个数的 中位数为=23,D项错误.故选D项. 3.(多选)我国网络购物市场保持较快发展,某电商平台为了精准发展,对某 地区市场的N个人进行了调查,得到频率分布直方图如图所示,将调查对象的年 龄分组为[20,25),[25,30),[30,35),[35,40),[40,45),[45,50),[50,55].已知年 龄在[25,30)内的调查对象有6人,则下列说法正确的是( ) A.N为40 B.年龄在[30,35)内的调查对象有12人 C.调查对象中,年龄大于35岁的频率是0.1 D.调查对象的年龄的中位数为35岁 解析:选ABD.根据题意,知年龄在[25,30)内调查对象的频率为0.03×5= 0.15,所以N==40,故A正确.年龄在[30,35)内的频率是1-(0.01×2+0.02+ 0.03×2+0.04)×5=0.3,所以年龄在[30,35)内调查对象的人数是40×0.3=12, 所以B正确.由频率分布直方图可知,调查对象的年龄大于35岁的频率为(0.04 +0.03+0.02+0.01)×5=0.5,故C错误,D正确. 4.(多选)如图是高一三班甲、乙两位同学六次数学测试成绩(满分100分)的 折线图,则下列说法正确的是( )A.甲、乙两同学的测试成绩与次数均成正相关 B.从前三次测试看,甲同学的平均成绩高于乙同学的平均成绩 C.从后三次测试看,甲同学的平均成绩高于乙同学的平均成绩 D.甲同学六次测试的平均成绩高于乙同学六次测试的平均成绩 解析:选AC.甲同学的测试成绩与次数明显为正相关,虽然乙同学的成绩具 有一定的波动,但总体也为正相关,选项A正确;从前三次测试看,甲同学的平均 成绩低于乙同学的平均成绩,选项B不正确;从后三次测试看,甲同学的平均成 绩高于乙同学的平均成绩,选项C正确;甲同学只有两次测试成绩高于乙同学, 且高的幅度并不大,故甲同学六次测试的平均成绩低于乙同学六次测试的平均成 绩,选项D不正确. 5.某大学为了解在校本科生对参加某项社会实践活动的意向,拟采用分层抽 样的方法,从该校四个年级的本科生中抽取一个容量为300的样本进行调查.已 知该校一年级、二年级、三年级、四年级的本科生人数之比为4∶5∶5∶6,则应从 一年级本科生中抽取________名学生. 解析:设应从一年级本科生中抽取n名学生,则=,得n=60. 答案:60 6.(2020·西安五校联考)已知样本7,8,9,x,y的平均数是8,方差是4,则xy= ________. 解析:由平均数是8可得x+y=16,①,由方差是4得[1+0+1+(x-8)2+(y -8)2]=4,②, 联立①②解得或所以xy=55. 答案:55 7.(2020·高考全国卷Ⅰ)某厂接受了一项加工业务,加工出来的产品(单位: 件)按标准分为A,B,C,D四个等级.加工业务约定:对于A级品、B级品、C级品, 厂家每件分别收取加工费90元,50元,20元;对于D级品,厂家每件要赔偿原料 损失费50元.该厂有甲、乙两个分厂可承接加工业务.甲分厂加工成本费为25 元/件,乙分厂加工成本费为20元/件.厂家为决定由哪个分厂承接加工业务,在 两个分厂各试加工了100件这种产品,并统计了这些产品的等级,整理如下: 甲分厂产品等级的频数分布表 等级 A B C D 频数 40 20 20 20 乙分厂产品等级的频数分布表 等级 A B C D频数 28 17 34 21 (1)分别估计甲、乙两分厂加工出来的一件产品为A级品的概率; (2)分别求甲、乙两分厂加工出来的100件产品的平均利润,以平均利润为依 据,厂家应选哪个分厂承接加工业务? 解:(1)由试加工产品等级的频数分布表知, 甲分厂加工出来的一件产品为A级品的概率的估计值为=0.4; 乙分厂加工出来的一件产品为A级品的概率的估计值为=0.28. (2)由数据知甲分厂加工出来的100件产品利润的频数分布表为 利润 65 25 -5 -75 频数 40 20 20 20 因此甲分厂加工出来的100件产品的平均利润为 =15. 由数据知乙分厂加工出来的100件产品利润的频数分布表为 利润 70 30 0 -70 频数 28 17 34 21 因此乙分厂加工出来的100件产品的平均利润为 =10. 比较甲、乙两分厂加工的产品的平均利润,应选甲分厂承接加工业务. 8.(2020·武汉市学习质量检测)一个小商店从一家食品有限公司购进10袋白 糖,每袋白糖的标准质量是500g,为了了解这些白糖的实际质量,称出各袋白糖 的实际质量(单位:g)如下:503,502,496,499,491,498,506,504,501,510. (1)求这10袋白糖的平均质量x和标准差s; (2)从这10袋中任取2袋白糖,那么其中恰有一袋的质量不在(x-s,x+s)内 的概率是多少? 附:≈5.08,≈16.06,≈5.09,≈16.09. 解:(1) x= =501, s= =≈5.08. (2)( x-s,x+s)=(495.92,506.08),设从这10袋中任取2袋白糖,其中恰有一 袋的质量不在(x-s,x+s)内为事件A,列举可得从这10袋中任取2袋白糖,总的结果有45种,恰有一袋的质量在区间(495.92,506.08)内的结果有16种,由古典 概型的概率计算公式得P(A)==. [B级 综合练] 9.甲、乙二人参加某体育项目训练,近期的五次测试成绩得分情况如图: (1)分别求出两人得分的平均数与方差; (2)根据图和上面算得的结果,对两人的训练成绩作出评价. 解:(1)由题图可得甲、乙两人五次测试的成绩分别为 甲:10分,13分,12分,14分,16分; 乙:13分,14分,12分,12分,14分. x ==13; 甲 x ==13, 乙 s=[(10-13)2+(13-13)2+(12-13)2+(14-13)2+(16-13)2]=4; s=[(13-13)2+(14-13)2+(12-13)2+(12-13)2+(14-13)2]=0.8. (2)由s>s,可知乙的成绩较稳定. 从折线图看,甲的成绩基本呈上升状态,而乙的成绩上下波动,可知甲的成绩 在不断提高,而乙的成绩则无明显提高. 10.炎炎夏季,水蜜桃成为备受大家喜爱的一种水果,某果园的水蜜桃质量分 布如图所示. (1)求m的值; (2)经市场调查,该种水蜜桃在过去50天的销售量(单位:kg)和价格(单位: 元/kg)均为销售时间 t(单位:天)的函数,且销售量近似地满足 f(t)=-3t+ 300(1≤t≤50,t∈N),前30天价格为g(t)=t+20(1≤t≤30,t∈N),后20天价格为 g(t)=30(31≤t≤50,t∈N),求日销售额S的最大值.解:(1)由频率分布直方图知, (0.002+0.002+0.003+0.008+m+0.001)×50=1, 解得m=0.004. (2)由题意知 S= 当1≤t≤30,t∈N时, S=(-3t+300)=-t2+40t+6 000, 所以当t=20时,S取得最大值6 400; 当31≤t≤50,t∈N时,S=30(-3t+300)=-90t+9 000,因为其为减函数, 所以当t=31时,S取得最大值6 210. 因为6 400>6 210, 所以当t=20时,日销售额S取得最大值6 400. [C级 创新练] 11.(多选)5G时代已经到来,5G的发展将直接带动包括运营、制造、服务在内 的通信行业整体的快速发展,进而对GDP增长产生直接贡献,并通过产业间的关 联效应和波及效应,间接带动国民经济各行业的发展,创造出更多的经济价值. 如图所示的统计图是某单位结合近几年的数据,对今后几年的5G直接经济产出 做出的预测. 由上图提供的信息可知( ) A.运营商的5G直接经济产出逐年增加 B.设备制造商的5G直接经济产出前期增长较快,后期放缓 C.设备制造商在各年的5G直接经济产出中一直处于邻先地位 D.信息服务商与运营商的5G直接经济产出的差距有逐步拉大的趋势解析:选ABD.由白色矩形可得运营商的5G直接经济产出逐年增加,观察黑 色矩形和灰色矩形,可得设备制造商的5G直接经济产出前期增长较快,后期放 缓,到2029年被信息服务商超过,B正确,C错误.观察灰色矩形和白色矩形,可 得信息服务商与运营商的5G直接经济产出的差距有逐步拉大的趋势,D正确. 故选ABD. 12.经调查,在某市举办的马拉松比赛中,参加赛跑的青年人、中年人、老年 人人数刚好构成一个公比为q(q≠1)的等比数列,现从中抽取了一个容量为140 的样本进行调查,其中老年人人数为20,求抽取的青年人的人数. 解:由题意知这是一个分层抽样问题,根据青年人、中年人、老年人的人数构 成等比数列,不妨设人数分别是a ,a q,a q2,其中a >0,q>0且q≠1,根据已知有 1 1 1 1 ==, 解得q=,所以样本中青年人有140×=80人.