当前位置:首页>文档>专题09数列求和(通项含绝对值数列求和)(典型题型归类训练)(解析版)_2.2025数学总复习_2024年新高考资料_3.2024专项复习_数列

专题09数列求和(通项含绝对值数列求和)(典型题型归类训练)(解析版)_2.2025数学总复习_2024年新高考资料_3.2024专项复习_数列

  • 2026-04-14 14:56:32 2026-03-13 05:50:53

文档预览

专题09数列求和(通项含绝对值数列求和)(典型题型归类训练)(解析版)_2.2025数学总复习_2024年新高考资料_3.2024专项复习_数列
专题09数列求和(通项含绝对值数列求和)(典型题型归类训练)(解析版)_2.2025数学总复习_2024年新高考资料_3.2024专项复习_数列
专题09数列求和(通项含绝对值数列求和)(典型题型归类训练)(解析版)_2.2025数学总复习_2024年新高考资料_3.2024专项复习_数列
专题09数列求和(通项含绝对值数列求和)(典型题型归类训练)(解析版)_2.2025数学总复习_2024年新高考资料_3.2024专项复习_数列
专题09数列求和(通项含绝对值数列求和)(典型题型归类训练)(解析版)_2.2025数学总复习_2024年新高考资料_3.2024专项复习_数列
专题09数列求和(通项含绝对值数列求和)(典型题型归类训练)(解析版)_2.2025数学总复习_2024年新高考资料_3.2024专项复习_数列
专题09数列求和(通项含绝对值数列求和)(典型题型归类训练)(解析版)_2.2025数学总复习_2024年新高考资料_3.2024专项复习_数列
专题09数列求和(通项含绝对值数列求和)(典型题型归类训练)(解析版)_2.2025数学总复习_2024年新高考资料_3.2024专项复习_数列
专题09数列求和(通项含绝对值数列求和)(典型题型归类训练)(解析版)_2.2025数学总复习_2024年新高考资料_3.2024专项复习_数列
专题09数列求和(通项含绝对值数列求和)(典型题型归类训练)(解析版)_2.2025数学总复习_2024年新高考资料_3.2024专项复习_数列
专题09数列求和(通项含绝对值数列求和)(典型题型归类训练)(解析版)_2.2025数学总复习_2024年新高考资料_3.2024专项复习_数列
专题09数列求和(通项含绝对值数列求和)(典型题型归类训练)(解析版)_2.2025数学总复习_2024年新高考资料_3.2024专项复习_数列
专题09数列求和(通项含绝对值数列求和)(典型题型归类训练)(解析版)_2.2025数学总复习_2024年新高考资料_3.2024专项复习_数列
专题09数列求和(通项含绝对值数列求和)(典型题型归类训练)(解析版)_2.2025数学总复习_2024年新高考资料_3.2024专项复习_数列
专题09数列求和(通项含绝对值数列求和)(典型题型归类训练)(解析版)_2.2025数学总复习_2024年新高考资料_3.2024专项复习_数列
专题09数列求和(通项含绝对值数列求和)(典型题型归类训练)(解析版)_2.2025数学总复习_2024年新高考资料_3.2024专项复习_数列
专题09数列求和(通项含绝对值数列求和)(典型题型归类训练)(解析版)_2.2025数学总复习_2024年新高考资料_3.2024专项复习_数列
专题09数列求和(通项含绝对值数列求和)(典型题型归类训练)(解析版)_2.2025数学总复习_2024年新高考资料_3.2024专项复习_数列

文档信息

文档格式
docx
文档大小
1.006 MB
文档页数
18 页
上传时间
2026-03-13 05:50:53

文档内容

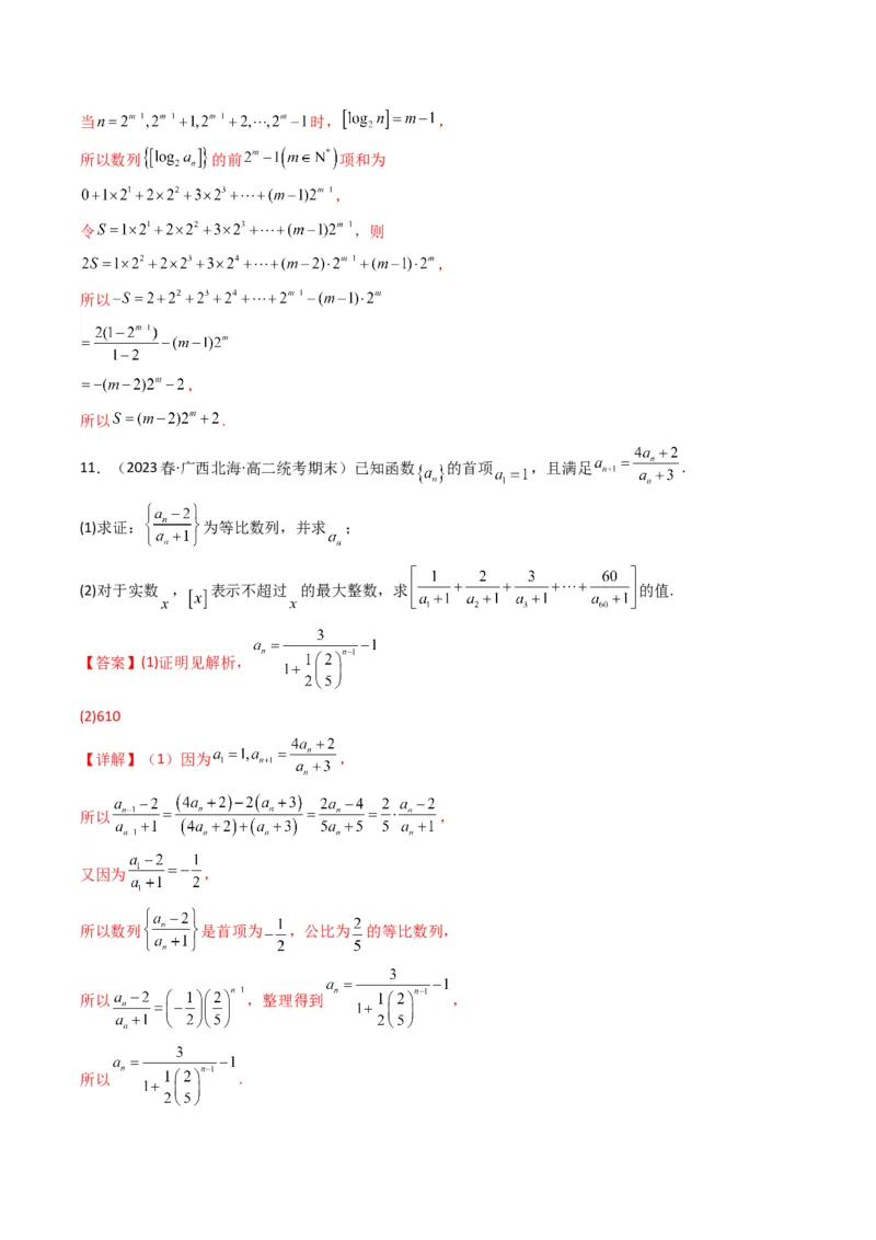
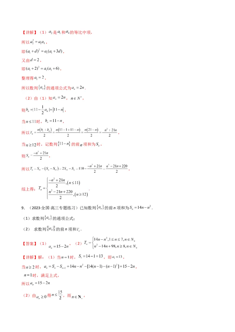
专题 09 数列求和(通项含绝对值数列求和)(典型题型归类训练) 目录 一、典型题型........................................................1 题型一:通项含绝对值.............................................1 题型二:通项含取整函数...........................................3 题型三:通项含自定义符号.........................................4 二、专题09 数列求和(通项含绝对值数列求和)专项训练.................5 一、典型题型 题型一:通项含绝对值 如:求 的前 项和 例题1.(2023·福建宁德·校考二模)已知 为等差数列 的前 项和, , . (1)求数列 的通项公式; (2)设 ,求数列 的前15项和 . 【答案】(1) (2) 【详解】(1)设等差数列 的公差为 , , 且 , , , , . (2)由(1)可知 其中 .故 的前15项和为 . 例题2.(2023春·广东深圳·高二深圳第三高中校考期中)设等差数列 的前 项和为 , , ,且 有最小值. (1)求数列 的通项公式 及前 项和 ; (2)设数列 的前 项和为 ,求 . 【答案】(1) ; (2) 【详解】(1)因 为等差数列,故 , 又因 ,所以 或 , 当 时, 的公差为 , , 此时 有最大值,无最小值不符合题意舍去, 当 时, 的公差为 , , 此时 ,有最小值满足题意, , 综上 , . (2)当 时, ,此时 , 当 时 ,此时, 故 题型二:通项含取整函数 如:求 的前 项和 例题1.(2023·全国·高三专题练习) 为等差数列 的前n项和,且 记 ,其中 表示不超过x的最大整数,如 . (Ⅰ)求 ; (Ⅱ)求数列 的前1000项和. 【答案】(Ⅰ) (Ⅱ)1893. 试题解析:(Ⅰ)设 的公差为 ,据已知有 ,解得 所以 的通项公式为 (Ⅱ)因为 所以数列 的前 项和为 例题2.(2023·山东东营·高三广饶一中校考阶段练习)已知正项数列 的前 项和为 ,且 . (1)求数列 的通项公式; (2)若 (其中 表示不超过 的最大整数),求数列 的前100项的和 . 【答案】(1) (2)147 【详解】(1)因为 ,所以 又因为 为正项数列,所以 ,可得 当 时, ,当 时, , 将 代入上式验证显然适合,所以 . (2)已知 ,因为 , , , 所以 , 所以 . 题型三:通项含自定义符号 如:记 表示x的个位数字,如 求 的前 项和 例题1.(2020秋·广东广州·高二西关外国语学校校考期中)设 为数列 的前 项和, .数列 前 项和为 且 .数列 满足 . (1)求数列 和 的通项公式; (2)记 表示 的个位数字,如 ,求数列 的前30项的和. 【答案】(1) ; ;(2) . 【详解】解:(1) . 时, , 符合上式. ∴ . 又 , , 而当 时, , , 因为 ,故 ,因此 ,所以数列 为等比数列, 故 ,故 . (2)由(1)得 , ,因为 表示 的个位数, 因此 均为周期数列,且周期为5. 将数列 中每5个一组,前30项和可分为6组, 其前30项的和 为 . 例题2.(2022秋·安徽阜阳·高三安徽省临泉第一中学校考期中)设 为数列 的前 项和, , 数列 满足 . (1)求 及 ; (2)记 表示 的个位数字,如 ,求数列 的前20项和. 【答案】(1) , ; (2) 【详解】(1)当 时, ,由于 也满足 ,则 . , , , 是首项为3,公差为2的等差数列, . (2) , 的前5项依次为1,3,5,7,9. , 的前5项依次为3,5,7,9,1. 易知,数列 与 的周期均为5, 的前20项和为 .二、专题09 数列求和(通项含绝对值数列求和)专项训练 一、单选题 1.(2023秋·江苏·高二专题练习)设数列 满足 , ,且 ,若 表示不超过 的最大整数(例如 , ),则 =( ) A.2018 B.2019 C.2020 D.2021 【答案】B 【详解】 , , . 是等差数列,首项为4,公差为2. . 时, . . 当 时, . . 故选:B. 2.(2023·全国·高三专题练习)正项数列 满足: , ,若前三项构 成等比数列且满足 , 为数列 的前 项和,则 的值为( ) ( 表示不超过 的最大整数). A.4040 B.4041 C.5384 D.5385 【答案】C 【详解】依题意 , ,即 ,解得 . 则 ,结合 ,解得 .依题意 , , , 所以数列 是周期为 的周期数列, , , ,所以 . 故选:C 二、填空题 3.(2023·全国·高三对口高考)已知 的前n项和 ,则 . 【答案】 【详解】当 时, , 当 时, 取 时, ,此式不满足 , 故 的通项公式为 , 根据通项公式知, . 所以 故答案为: . 三、双空题 4.(2023·全国·高三专题练习)对于数列 ,如果存在最小的一个常数 ,使得对任意的正整 数恒有 成立,则称数列 是周期为 的周期数列.设 ,数列前 项 的和分别记为 ,则 三者的关系式 ;已知数列 的通项公式为 ,那么满足 的正整数 = . 【答案】 或 【详解】(1)因为数列 是周期为 的周期数列, ,则 , 所以 .故答案为: . (2)因为 ,所以 , 所以当 时, 的前 项和为 , 当 时, 的前 项和为 ; 满足 , 即 , . 而 , (1)当 时, , 所以 , 解得 或 ; (2)当 时, , 所以 , 解得 不是整数,舍去. 故答案为: 或 . 四、解答题 5.(2023·河南·校联考模拟预测)已知数列 是首项为1的等差数列,数列 是公比为2的等比数 列,且 . (1)求数列 的通项公式; (2)设 表示不超过 的最大整数(如: ),求集合 中元素的个数. 【答案】(1) (2)36 【详解】(1)设等差数列 的公差为 , 由题意可知 , 因为 ,所以 , 解得 ,所以 , ,故 . (2)因为 ,所以 ,所以 . 因为 , 所以当 时, ,则 ,又 ,故 ; 当 时, ,则 ,故 ; 当 时, ,则 ,故 ; 当 时, ,则 ,故 , 依次类推,当 时, ,则 ,故 , 由于集合中的元素互异,需要减去重复出现的元素, 所以集合 中元素的个数为 个. 6.(2023·全国·高二专题练习)从条件① ;② ;③ 中任选一个,补充在下面问题中,并给出解答. 已知数列 的前 项和为 , ,_____________. (1)求 的通项公式; (2) 表示不超过 的最大整数,记 ,求 的前 项和 . 【答案】(1)若选①或②, ,;选③, (2)若选①或②, ;选③, 【详解】(1)若选①: 因为 ,所以 , 两式相减得 ,整理得 , 即 ,所以 为常数列, ,所以 ; 若选②: 因为 ,所以 , 两式相减 ,得 ,因为 ,所以 , 故 为等差数列,则 ; 若选③: 由 ,变形得: ,则 , 易知 ,所以 ,则 为等差数列,由 ,则 , ,所以 , 由当 时, ,也满足上式,所以 . (2)若选①或②: 由题意, ,当 时, , ; 当 时, , ;当 时, ; . 若选③: 由题意, ,当 时, , ; 当 时, , ;当 时, , ; . 7.(2023·全国·高三专题练习)在① ;② ;③ 是 与 的等比中项,三个条件中任 选一个,补充在下面问题中,并给出解答. 问题:已知 为公差不为零的等差数列,其前 项和为 为等比数列,其前 项和 为 常数, , (1)求数列 的通项公式; (2)令 其中 表示不超过 的最大整数,求 的值. 注:如果选择多个条件分别解答,按第一个解答计分. 【答案】答案见解析 【详解】若选 : 由已知 ,所以 通项 , 故 不妨设 的公差为 .则 解得 所以由 ,则 , , 所以 . 若选 : 由已知 , , 通项 故 . 不妨设 的公差为 ,则 , 解得 所以 . 由 ,则 , , 所以 . 若选 : 由已知 ,所以 通项 , 故 不妨设 的公差为 .则 , 因为 解得 所以 . 由 则 , 所以 . 8.(2023·全国·高三专题练习)已知等差数列 中,公差 , 是 和 的等比中项; (1)求数列 的通项公式; (2)设 ,求数列 的前 项和 . 【答案】(1) ;(2)【详解】(1) 是 和 的等比中项, 所以 , 即 , 又由 , 即 , 整理得 , 所以数列 的通项公式为 . (2)由(1)知 , , 则 , 当 时, , 所以 , 当 时,记数列 的前 项和为 , 则 , 所以 , 综上得: . 9.(2023·全国·高三专题练习)已知数列 的前n项和为 . (1)求数列 的通项公式; (2) 求数列 的前n项和 . 【答案】(1) ,(2) 【详解】解:(1)当 时, ,即 , 当 时, , 时,满足上式, 所以 (2)由 得 ,而 ,所以当 时, ,当 时, , 当 时, , 当 时, , 所以 10.(2023秋·江西南昌·高三南昌市外国语学校校考阶段练习)已知数列 是单调递增的等差数列,设 其前 项和为 ,已知 ,且 成等比数列. (1)求 的通项公式: (2)定义 为不大于 的最大整数,求数列 的前 项和. 【答案】(1) , (2) 【详解】(1)设等差数列 的公差为 ,由题意可知 , 因为 ,且 成等比数列, 所以 ,解得 或 (舍去), 所以 , (2)由(1)得 , 所以 ,所以 , 当 时, , 当 时, ,当 时, , 当 时, , 当 时, , 当 时, , ……当 时, , 所以数列 的前 项和为 , 令 ,则 , 所以 , 所以 . 11.(2023春·广西北海·高二统考期末)已知函数 的首项 ,且满足 . (1)求证: 为等比数列,并求 ; (2)对于实数 , 表示不超过 的最大整数,求 的值. 【答案】(1)证明见解析, (2)610 【详解】(1)因为 , 所以 , 又因为 , 所以数列 是首项为 ,公比为 的等比数列, 所以 ,整理得到 , 所以 .(2)因为 , 所以 . 设 ,所以 , 所以 所以 , 所以 . 因为 ,所以 , 所以 . 12.(2023春·河南·高二校联考期末)已知等比数列 是递减数列,设其前n项和为 ,已知 , 且 , , 成等差数列. (1)求 的通项公式; (2)定义 为不大于x的最大整数,若等差数列 的首项为 ,公差为 的公比,求数列 的前15项和. 【答案】(1) (2)34【详解】(1)设等比数列 的公比为q, 因为 , , 成等差数列,所以 ①. 因为 ,所以 ②. ②-①得 ,所以 , 代入 ,得 . 解得 或 (舍去). 所以 . (2)由(1)可得 , 所以 ,则 . 所以 . 当 时, . 当 时, , 当 时, , 当 时, , 所以数列 的前15项和为 . 13.(2023·全国·高二随堂练习)等差数列 中, ,公差 ,令 ,求数列 的前n 项和 . 【答案】【详解】由题意知等差数列 中, ,公差 , 故 , 令 , 故当 时, ; 当 时, , , 故 . 14.(2023·全国·高三专题练习) , ,记 表示 的个位数字,如 , 求数列 的前20项的和 【答案】 【详解】因为 , 分别表示 , 的个位数, 所以 为1,3,5,7,9的周期数列,且周期为5, 为3,5,7,9,1周期数列,且周期为5, 将数列 中每5个一组,前20项和可分为4组, 其前20项的和 为 故答案为: .15.(2022春·安徽滁州·高二校考阶段练习)已知数列 是以2为公差的等差数列, , , 成等 比数列,数列 前 项和为 ,且 . (1)求数列 和 的通项公式; (2)记 表示x的个位数字,如 , 求数列 的前20项的和 . 【答案】(1) ,b =2n+ 1; n (2) . 【详解】(1)由a,a, a 成等比数列可得 ,即 ,解得a=1, 1 2 5 1 所以 ,又 , 则有 , 当n≥2时, , 所以b =2n+ 1,又 满足此式 n 综上, . (2)因为,< b >分别表示a ,b 的个位数, n n n n 所以{},{< b > }均为周期数列,且周期为5, n n 将数列 中每5个一组,前20项和可分为4组, 其前20项的和T 为 20