当前位置:首页>文档>专题21圆锥曲线新定义问题(解析版)_2.2025数学总复习_2024年新高考资料_3.2024专项复习_2024年新高考数学之圆锥曲线专项重难点突破练(新高考专用)

专题21圆锥曲线新定义问题(解析版)_2.2025数学总复习_2024年新高考资料_3.2024专项复习_2024年新高考数学之圆锥曲线专项重难点突破练(新高考专用)

  • 2026-04-05 01:13:47 2026-03-17 02:43:56

文档预览

专题21圆锥曲线新定义问题(解析版)_2.2025数学总复习_2024年新高考资料_3.2024专项复习_2024年新高考数学之圆锥曲线专项重难点突破练(新高考专用)
专题21圆锥曲线新定义问题(解析版)_2.2025数学总复习_2024年新高考资料_3.2024专项复习_2024年新高考数学之圆锥曲线专项重难点突破练(新高考专用)
专题21圆锥曲线新定义问题(解析版)_2.2025数学总复习_2024年新高考资料_3.2024专项复习_2024年新高考数学之圆锥曲线专项重难点突破练(新高考专用)
专题21圆锥曲线新定义问题(解析版)_2.2025数学总复习_2024年新高考资料_3.2024专项复习_2024年新高考数学之圆锥曲线专项重难点突破练(新高考专用)
专题21圆锥曲线新定义问题(解析版)_2.2025数学总复习_2024年新高考资料_3.2024专项复习_2024年新高考数学之圆锥曲线专项重难点突破练(新高考专用)
专题21圆锥曲线新定义问题(解析版)_2.2025数学总复习_2024年新高考资料_3.2024专项复习_2024年新高考数学之圆锥曲线专项重难点突破练(新高考专用)
专题21圆锥曲线新定义问题(解析版)_2.2025数学总复习_2024年新高考资料_3.2024专项复习_2024年新高考数学之圆锥曲线专项重难点突破练(新高考专用)
专题21圆锥曲线新定义问题(解析版)_2.2025数学总复习_2024年新高考资料_3.2024专项复习_2024年新高考数学之圆锥曲线专项重难点突破练(新高考专用)
专题21圆锥曲线新定义问题(解析版)_2.2025数学总复习_2024年新高考资料_3.2024专项复习_2024年新高考数学之圆锥曲线专项重难点突破练(新高考专用)
专题21圆锥曲线新定义问题(解析版)_2.2025数学总复习_2024年新高考资料_3.2024专项复习_2024年新高考数学之圆锥曲线专项重难点突破练(新高考专用)
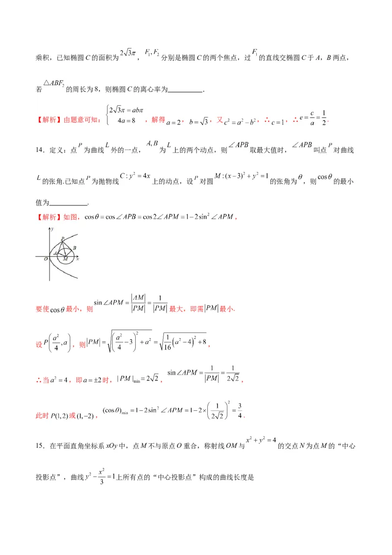
专题21圆锥曲线新定义问题(解析版)_2.2025数学总复习_2024年新高考资料_3.2024专项复习_2024年新高考数学之圆锥曲线专项重难点突破练(新高考专用)
专题21圆锥曲线新定义问题(解析版)_2.2025数学总复习_2024年新高考资料_3.2024专项复习_2024年新高考数学之圆锥曲线专项重难点突破练(新高考专用)
专题21圆锥曲线新定义问题(解析版)_2.2025数学总复习_2024年新高考资料_3.2024专项复习_2024年新高考数学之圆锥曲线专项重难点突破练(新高考专用)
专题21圆锥曲线新定义问题(解析版)_2.2025数学总复习_2024年新高考资料_3.2024专项复习_2024年新高考数学之圆锥曲线专项重难点突破练(新高考专用)
专题21圆锥曲线新定义问题(解析版)_2.2025数学总复习_2024年新高考资料_3.2024专项复习_2024年新高考数学之圆锥曲线专项重难点突破练(新高考专用)
专题21圆锥曲线新定义问题(解析版)_2.2025数学总复习_2024年新高考资料_3.2024专项复习_2024年新高考数学之圆锥曲线专项重难点突破练(新高考专用)
专题21圆锥曲线新定义问题(解析版)_2.2025数学总复习_2024年新高考资料_3.2024专项复习_2024年新高考数学之圆锥曲线专项重难点突破练(新高考专用)
专题21圆锥曲线新定义问题(解析版)_2.2025数学总复习_2024年新高考资料_3.2024专项复习_2024年新高考数学之圆锥曲线专项重难点突破练(新高考专用)
专题21圆锥曲线新定义问题(解析版)_2.2025数学总复习_2024年新高考资料_3.2024专项复习_2024年新高考数学之圆锥曲线专项重难点突破练(新高考专用)

文档信息

文档格式
docx
文档大小
1.107 MB
文档页数
19 页
上传时间
2026-03-17 02:43:56

文档内容

专题21 圆锥曲线新定义问题 限时:120分钟 满分:150分 一、单选题:本大题共8小题,每个小题5分,共40分.在每小题给出的选项中,只有一项是符合题目要 求的. 1.阿基米德(公元前287年~公元前212年)是古希腊伟大的物理学家,数学家和天文学家,并享有“数学 之神”的称号.他研究抛物线的求积法,得出了著名的阿基米德定理.在该定理中,抛物线的弦与过弦的端 点的两切线所围成的三角形被称为“阿基米德三角形”.若抛物线上任意两点 处的切线交于点 ,则 为“阿基米德三角形”,且当线段 经过抛物线的焦点 时, 具有以下特征:(1) 点必 在抛物线的准线上;(2) ;(3) .若经过抛物线 的焦点的一条弦为 , “阿基米德三角形”为 ,且点 在直线 上,则直线 的方程为( ) A. B. C. D. 【解析】根据题意,可知 点在抛物线的准线 上,又点 在直线 上, 所以 ,又 ,所以 , 因为 ,所以 ,所以直线 的方程为 ,即 .故选:A. 2.椭圆 中,点 为椭圆的右焦点,点A为椭圆的左顶点,点B为椭圆的短轴上的顶 点,若 ,此椭圆称为“黄金椭圆”,“黄金椭圆”的离心率为( ) A. B. C. D. 【解析】设 为椭圆的半焦距,由题意可得 ,由对称性可设 , 则 ,因为 ,所以 , 所以 ,即 ,解得 或 (舍).故选:B.3.加斯帕尔-蒙日是1819世纪法国著名的几何学家.如图,他在研究圆锥曲线时发现:椭圆的任意两条互 相垂直的切线的交点都在同一个圆上,其圆心是椭圆的中心,这个圆被称为“蒙日圆”.若长方形 的四 边均与椭圆 相切,则下列说法错误的是( ) A.椭圆 的离心率为 B.椭圆 的蒙日圆方程为 C.若 为正方形,则 的边长为 D.长方形 的面积的最大值为18 【解析】由椭圆方程知 , ,则 ,离心率为 ,A正确; 当长方形 的边与椭圆的轴平行时,长方形的边长分别为 和4,其对角线长为 ,因此 蒙日圆半径为 ,圆方程为 ,B正确; 设矩形的边长分别为 ,因此 ,即 ,当且仅当 时取等号,所以长方形 的面积的最大值是20,此时该长方形 为正方形,边长为 ,C正确,D错误. 故选:D. 4.2022年卡塔尔世界杯中的数字元素——会徽(如图)正视图近似伯努利双纽线.定义:在平面直角坐标 系 中,把到定点 的距离之积等于 的点的轨迹称为双纽线 .已知 是双 纽线 上的一点,下列说法错误的是( )A.双纽线 关于原点 成中心对称 B. C.双曲线 上满足 的点 有两个 D. 的最大值为 【解析】由到定点 的距离之积等于 的点的轨迹称为双纽线 , 得 , 将 替换方程中的 ,方程不变,故双纽线 关于原点 成中心对称,故A正确; 由等面积法得 ,则 , 所以 ,故B正确; 令 ,得 ,解得 ,所以双曲线 上满足 的点 有一个,故C 错误; 因为 ,所以 , 由余弦定理得 , 所以 , 所以 的最大值为 ,故D正确, 故选:C. 5.椭圆具有光学性质:从椭圆的一个焦点发出的光线,经过椭圆反射后,反射光线过椭圆的另一个焦点 (如图).已知椭圆 的左、右焦点分别为 ,过 的直线与椭圆E交与点A,B,过 点A作椭圆的切线l,点B关于l的对称点为M,若 ,则 ( )A. B. C. D. 【解析】如图,由椭圆的光学性质可得 三点共线. 设 ,则 , . 故 ,解得 .又 ,所以 , . 所以 .故选:A. 6.定义: 椭圆 中长度为整数的焦点弦(过焦点的弦)为 “好弦”. 则椭圆 中所有 “好弦” 的长度之和为( ) A.162 B.166 C.312 D.364 【解析】由已知可得 , 所以 , 即椭圆 的右焦点坐标为 ,对于过右焦点的弦 ,则有: 当弦 与 轴重合时,则弦长 , 当弦 不与 轴重合时,设 ,联立方程 ,消去x得: , 则 , 故 , ∵ ,则 ,可得 ,即 , ∴ ,综上所述: ,故弦长为整数有 , 由椭圆的对称性可得:“好弦” 的长度和为 .故选 :B. 7.某数学爱好者以函数图像组合如图“爱心”献给在抗疫一线的白衣天使,向他们表达崇高的敬意!爱 心轮廓是由曲线 与 构成,若a, ,c依次成等比数列,则 ( ) A. B. C. D. 【解析】由“爱心”图知 经过点 , 即 , .由“爱心”图知 必过点 与 , 所以 ,得 , , 若a, ,c,依次成等比数列,则 ,从而 ,所以 .故选:A.8.数学中有许多寓意美好的曲线,曲线 被称为“四叶玫瑰线”(如图所示).给出下 列三个结论: ①曲线 关于直线 对称; ②曲线 上任意一点到原点的距离都不超过1; ③存在一个以原点为中心、边长为 的正方形,使曲线 在此正方形区域内(含边界). 其中,正确结论的序号是( ) A.①② B.②③ C.①③ D.①②③ 【解析】对于①,用 替换方程中的 ,方程形式不变, 所以曲线 关于直线 对称,故①正确, 对于②,设点 是曲线上任意一点,则 ,则点 到原点的距离为 , 由 ,解得 ,当且仅当 时取等号,故②正确, 对于③,由②可知,包含该曲线的以原点为圆心的最小的圆的半径为1, 所以最小圆应该是包含该曲线的最小正方形的内切圆,即正方形的边长最短为2,故③错误. 故选:A 二、多选题:本大题共4小题,每个小题5分,共20分.在每小题给出的选项中,只有一项或者多项是符 合题目要求的. 9.在平面内,若曲线 上存在点 ,使点 到点 , 的距离之和为10,则称曲线 为“有 用曲线”,以下曲线是“有用曲线”的是( ) A. B.C. D. 【解析】设点 的坐标为 ,因为点 到点 , 的距离之和为10, 由椭圆的定义可得点 的轨迹方程为: , 对A,由 整理得 , 因此曲线 上存在点 满足条件,所以 是“有用曲线”,故A正确; 对B,因为曲线 在曲线 的内部,无交点,所以 不是“有用曲线”,故B错误; 对C,曲线 与 有交点 与 ,所以 是“有用曲线”,故C正确; 对D,曲线 与 也有交点,所以 是“有用曲线",故D正确. 故选:ACD. 10.卵形曲线也叫卵形线,是常见曲线的一种,分笛卡尔卵形线和卡西尼卵形线.卡西尼卵形线是平面内与 两个定点(叫做焦点)距离之积等于常数的点的轨迹.设焦点 是平面内两个定点, ( 是定长),特别地,当 时的卡西尼卵形线又称为伯努利双纽线,某同学通过类比 椭圆与双曲线的研究方法,对伯努利双纽线进行了相关性质的探究,得到下列结论,其中正确的是( ) A.曲线过原点 B.关于原点中心对称且关于坐标轴成轴对称 C.方程为 D.曲线上任意点 , , 【解析】设 , 时, , 化简得到: ,故C正确;曲线过原点,A正确;关于原点中心对称且关于坐标轴成轴对称,B正确; 验证知 在曲线上,故D错误. 故选:ABC. 11.已知曲线C的方程为 ,集合 ,若对于任意的 ,都存在 ,使得 成立,则称曲线C为Σ曲线.下列方程所表示的曲线中,是Σ曲线的有 ( ) A. B. C. D. 【解析】A: 的图象既关于x轴对称,也关于y轴对称,且图象是封闭图形.所以对于任意的点 ,存在着点Q(x,y)使得 ,所以满足; 2 2 B: 的图象是双曲线,且双曲线的渐近线斜率为±1,所以渐近线将平面分为四个夹角为90°的区 域,当P,Q在双曲线同一支上,此时 ,当P,Q不在双曲线同一支上,此时 , 所以 不满足; C: 的图象是焦点在x轴上的抛物线,且关于x轴对称,设P为抛物线上一点,过O点作OP的垂 线,则垂线一定与抛物线交于Q点,所以 ,所以 D:取P(0,1),若 ,则有 显然不成立,所以此时 不成立, 故选:AC 12.中国结是一种手工编织工艺品,因为其外观对称精致,可以代表汉族悠久的历史,符合中国传统装饰 的习俗和审美观念,故命名为中国结.中国结的意义在于它所显示的情致与智慧正是汉族古老文明中的一个 侧面,也是数学奥秘的游戏呈现.它有着复杂曼妙的曲线,却可以还原成最单纯的二维线条.其中的八字结 对应着数学曲线中的双纽线.曲线 : 是双纽线,则下列结论正确的是( )A.曲线 的图象关于原点对称 B.曲线 经过5个整点(横、纵坐标均为整数的点) C.曲线 上任意一点到坐标原点 的距离都不超过3 D.若直线 与曲线 只有一个交点,则实数 的取值范围为 【解析】把 代入 得 , 所以曲线 的图象关于原点对称,故A正确; 令 解得 ,或 ,即曲线经过 ,结合图象, , 令 ,得 ,令 ,得 , 因此结合图象曲线 只能经过3个整点, ,故B错误; 可得 , 所以曲线 上任意一点到坐标原点 的距离 ,即都不超过3,故 C正确; 直线 与曲线 一定有公共点 , 若直线 与曲线 只有一个交点, 所以 ,整理得 无解, 即 ,解得 ,故D正确. 故选:ACD. 三、填空题:本大题共4小题,每小题5分,共20分.把答案填在答题卡中的横线上. 13.古希腊数学家阿基米德利用“逼近法”得到椭圆的面积除以圆周率等于椭圆的长半轴长与短半轴长的乘积,已知椭圆C的面积为 , 分别是椭圆C的两个焦点,过 的直线交椭圆C于A,B两点, 若 的周长为8,则椭圆C的离心率为 . 【解析】由题意可知: ,解得 , ,又 ,∴ ,∴ . 14.定义:点 为曲线 外的一点, 为 上的两个动点,则 取最大值时, 叫点 对曲线 的张角.已知点 为抛物线 上的动点,设 对圆 的张角为 ,则 的最小 值为 . 【解析】如图, , 要使 最小,则 最大,即需 最小. 设 ,则 , ∴当 ,即 时, , , 此时 或 , . 15.在平面直角坐标系xOy中,点M不与原点О重合,称射线OM与 的交点N为点M的“中心 投影点”,曲线 上所有点的“中心投影点”构成的曲线长度是【解析】曲线 的渐近线方程为: ,设渐近线与圆 的交点分别为 , 如下图:则曲线 上所有点的“中心投影点”构成的曲线为圆弧 由题意 ,所以 ,所以 ,则 , 16.在平面直角坐标系中, , ,若在曲线C上存在一点P,使得∠APB为钝角,则称曲线 上存在“钝点”,下列曲线中,有“钝点”的曲线为 .(填序号) ① ;② ;③ ;④ ;⑤ . 【解析】设点 的坐标为 ,若∠APB为钝角,则 , 所以 ,且 不共线,所以 ,且 , 化简可得 ,反之若 ,则∠APB为钝角, 对于曲线 ,取曲线上的点 ,因为 ,所以 为钝角, 故曲线 为有“钝点”的曲线; 对于曲线 ,若曲线上的点 为“钝点”, 则 , ,所以 ,矛盾 所以曲线 不是有“钝点”的曲线; 对于曲线 ,若曲线上点 为“钝点”,则 , ,所以 ,矛盾 所以曲线 不是有“钝点”的曲线; 对于曲线 ,取曲线上的点 , 因为 ,所以 为钝角, 故曲线 为有“钝点”的曲线; 对于曲线 ,取曲线上的点 , 因为 ,所以 为钝角,故曲线 为有“钝点”的曲线. 所以曲线①④⑤为有“钝点”的曲线. 故答案为:①④⑤. 四、解答题:本大题共6小题,共70分.解答应写出必要的文字说明、证明过程或演算步骤. 17.我们把具有公共焦点、公共对称轴的两段圆锥曲线弧合成的封闭曲线称为“盾圆”. (1)设椭圆 : 与双曲线 : 有相同的焦点 、 ,M是椭圆 与双曲线 的公 共点,且 的周长为6,求椭圆 的方程; (2)如图,已知“盾圆”D的方程为 设“盾圆”D上的任意一点M到 的 距离为 ,M到直线 : 的距离为 ,求证: 为定值. 【解析】(1)设椭圆的半焦距为 ,因为 的周长为6,所以a+c=3,因为椭圆 与双曲线 : 有相同的焦点,所以c=1, 所以 , .所以椭圆 的方程为 . (2)设“盾圆”D上的任意一点M的坐标为 , . 当 时, , ,即 ; 当 时, , ,即 . 所以 为定值. 18.焦距为2c的椭圆 (a>b>0),如果满足“2b=a+c”,则称此椭圆为“等差椭圆”. (1)如果椭圆 (a>b>0)是“等差椭圆”,求 的值; (2)对于焦距为12的“等差椭圆”,点A为椭圆短轴的上顶点,P为椭圆上异于A点的任一点,Q为P关于 原点O的对称点(Q也异于A),直线AP、AQ分别与x轴交于M、N两点,判断以线段MN为直径的圆是 否过定点?说明理由. 【解析】(1)因为椭圆 (a>b>0)是“等差椭圆”,所以2b=a+c, 所以c=2b﹣a,又c2=a2﹣b2,所以(2b﹣a)2=a2﹣b2,化简得 . (2)过定点(0,±10),理由如下: 由 得 ,由 得 , 椭圆方程为: ,所以A(0,8),设P(x,y)(x≠0),则Q(﹣x,﹣y), 0 0 0 0 0 所以直线AP的方程为: ,令y=0,得 ,所以 , 同理可得 ,所以以MN为直径的圆的方程为 ,结合 ,化简得 ,令x=0,得y=±10,所以该圆恒过定点(0,±10). 19.已知椭圆 : ,点 为椭圆短轴的上端点, 为椭圆上异于 点的任一点,若 点到 点距离的最大值仅在 点为短轴的另一端点时取到,则称此椭圆为“圆椭圆”. (1)若 ,判断椭圆 是否为“圆椭圆”; (2)若椭圆 是“圆椭圆”,求 的取值范围. 【解析】(1)由题意: ,则 , 设 ,则 , , 二次函数开口向下,对称轴 ,在 上单调递减, ∴ 时函数值最大,此时 为椭圆的短轴的另一个端点,∴椭圆是“圆椭圆”; (2)由(1):椭圆方程: , , 设 ,则 , , , ∴二次项系数 ,函数开口向下,由题意得,当且仅当 时函数值达到最大, ∴ ,解得: , 综上, 的范围为 . 20.中国结是一种手工编制工艺品,因其外观对称精致,符合中国传统装饰的审美观念,广受中国人喜爱. 它有着复杂奇妙的曲线,却可以还原成单纯的二维线条,其中的“八字结”对应着数学曲线中的伯努利双 纽线. 在 平面上,我们把与定点 , 距离之积等于 的动点的轨迹称为伯努利双纽线, , 为该曲线的两个焦点. 数学家雅各布•伯努利曾将该曲线作为椭圆的一种类比开展研究. 已知 曲线 是一条伯努利双纽线. (1)求曲线C的焦点 , 的坐标; (2)试判断曲线C上是否存在两个不同的点A,B(异于坐标原点O),使得以AB为直径的圆过坐标原点O. 如果存在,求出A,B坐标;如果不存在,请说明理由. 【解析】(1)方法一:设焦点 , , 曲线 与x轴正半轴交于点 , 由题意知 ,于是 , , 因此 , ; 方法二:设焦点 , ,由题意知 , 即 , 整理得 ,于是 , .因此, , ; (2)假设曲线C上存在两点A,B,使得以AB为直径的圆过坐标原点O,即 , 由题意知直线OA,OB斜率均存在,不妨设直线OA的方程为 ,直线OB的方程为 , 将直线OA的方程与曲线C联立,得 ,即 . 解得 ,同理 ,因此 不可能成立,于是假设不成立, 即曲线C上不存在两点A,B,使得以AB为直径的圆过坐标原点O.21.定义:一般地,当 且 时,我们把方程 表示的椭圆 称为椭圆 的相似椭圆.已知椭圆 ,椭圆 ( 且 )是椭圆 的相似椭圆, 点 为椭圆 上异于其左、右顶点 的任意一点. (1)当 时,若与椭圆 有且只有一个公共点的直线 恰好相交于点 ,直线 的斜率分别为 , 求 的值; (2)当 (e为椭圆 的离心率)时,设直线 与椭圆 交于点 ,直线 与椭圆 交于点 , 求 的值. 【解析】(1)设 ,则直线 的方程为 ,即 , 记 ,则 的方程为 , 将其代入椭圆 的方程,消去 ,得 , 因为直线 与椭圆 有且只有一个公共点, 所以 ,即 , 将 代入上式,整理得 , 同理可得, ,所以 为关于 的方程 的两根,所以, . 又点 在椭圆 上,所以 ,所以 . (2)由椭圆 ,得其离心率 , 所以当 ,即 时,椭圆 的标准方程为 , 所以, , ,恰好为椭圆 的左、右焦点, 易知直线 的斜率均存在且不为 ,所以 , 因为 在椭圆 上,所以 ,即 ,所以 . 设直线 的斜率为 ,则直线 的斜率为 ,所以直线 的方程为 . 由 ,得 , 设 ,则 , , 所以 , 同理可得 ,所以 . 22.已知曲线 ,当 变化时得到一系列的椭圆,我们把它称为“ 椭圆 群”. (1)求“2-1椭圆群”中椭圆的离心率;(2)若“ 椭圆群”中的两个椭圆 、 对应的t分别为 、 ,且 ,则称 、 为“和 谐椭圆对”.已知 、 为“和谐椭圆对”,P是 上的任意一点,过点P作 的切线交 于A、B两 点,Q为 上异于A、B的任意一点,且满足 ,问: 是否为定值?若为定值,求 出该定值;否则,说明理由. 【解析】(1)由题意可知:“ 椭圆群”的方程为: ,∴ ,∴ . (2)由题意得, ; , ①当直线 斜率不存在时,直线 ,若 ,则 , 又 ,所以 , 代入 中,得 ,即 ;若 ,同理可得 . ②当直线 斜率存在时,设直线 , , , 由 ,得 ,由 可得: , 即: .∴ , 化简得: ,由 可得: , 即: ,∴ , , ,∴ , 因为点Q在椭圆 上,所以, , 整理,得 , 又∵ , 在 上,∴ , ∴ 而: ,所以 ,即 . 综上所述, 为定值,且 .