当前位置:首页>文档>专题24圆锥曲线与外心问题(解析版)_2.2025数学总复习_2024年新高考资料_3.2024专项复习_2024年新高考数学之圆锥曲线专项重难点突破练(新高考专用)

专题24圆锥曲线与外心问题(解析版)_2.2025数学总复习_2024年新高考资料_3.2024专项复习_2024年新高考数学之圆锥曲线专项重难点突破练(新高考专用)

  • 2026-04-05 23:47:30 2026-03-17 06:35:30

文档预览

专题24圆锥曲线与外心问题(解析版)_2.2025数学总复习_2024年新高考资料_3.2024专项复习_2024年新高考数学之圆锥曲线专项重难点突破练(新高考专用)
专题24圆锥曲线与外心问题(解析版)_2.2025数学总复习_2024年新高考资料_3.2024专项复习_2024年新高考数学之圆锥曲线专项重难点突破练(新高考专用)
专题24圆锥曲线与外心问题(解析版)_2.2025数学总复习_2024年新高考资料_3.2024专项复习_2024年新高考数学之圆锥曲线专项重难点突破练(新高考专用)
专题24圆锥曲线与外心问题(解析版)_2.2025数学总复习_2024年新高考资料_3.2024专项复习_2024年新高考数学之圆锥曲线专项重难点突破练(新高考专用)
专题24圆锥曲线与外心问题(解析版)_2.2025数学总复习_2024年新高考资料_3.2024专项复习_2024年新高考数学之圆锥曲线专项重难点突破练(新高考专用)
专题24圆锥曲线与外心问题(解析版)_2.2025数学总复习_2024年新高考资料_3.2024专项复习_2024年新高考数学之圆锥曲线专项重难点突破练(新高考专用)
专题24圆锥曲线与外心问题(解析版)_2.2025数学总复习_2024年新高考资料_3.2024专项复习_2024年新高考数学之圆锥曲线专项重难点突破练(新高考专用)
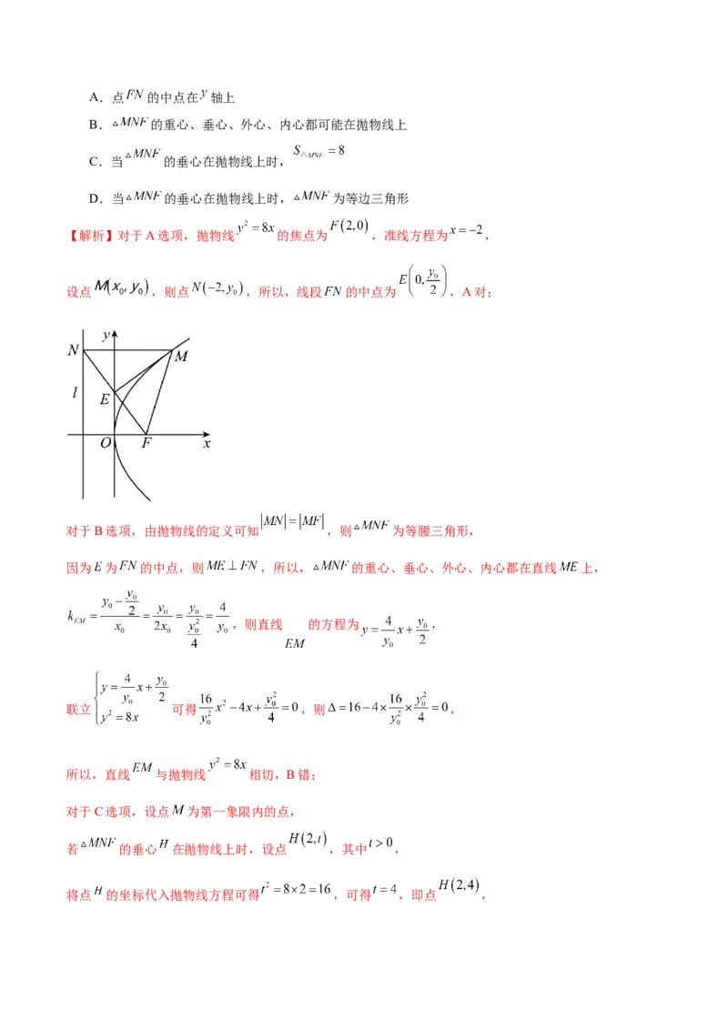
专题24圆锥曲线与外心问题(解析版)_2.2025数学总复习_2024年新高考资料_3.2024专项复习_2024年新高考数学之圆锥曲线专项重难点突破练(新高考专用)
专题24圆锥曲线与外心问题(解析版)_2.2025数学总复习_2024年新高考资料_3.2024专项复习_2024年新高考数学之圆锥曲线专项重难点突破练(新高考专用)
专题24圆锥曲线与外心问题(解析版)_2.2025数学总复习_2024年新高考资料_3.2024专项复习_2024年新高考数学之圆锥曲线专项重难点突破练(新高考专用)
专题24圆锥曲线与外心问题(解析版)_2.2025数学总复习_2024年新高考资料_3.2024专项复习_2024年新高考数学之圆锥曲线专项重难点突破练(新高考专用)
专题24圆锥曲线与外心问题(解析版)_2.2025数学总复习_2024年新高考资料_3.2024专项复习_2024年新高考数学之圆锥曲线专项重难点突破练(新高考专用)
专题24圆锥曲线与外心问题(解析版)_2.2025数学总复习_2024年新高考资料_3.2024专项复习_2024年新高考数学之圆锥曲线专项重难点突破练(新高考专用)
专题24圆锥曲线与外心问题(解析版)_2.2025数学总复习_2024年新高考资料_3.2024专项复习_2024年新高考数学之圆锥曲线专项重难点突破练(新高考专用)
专题24圆锥曲线与外心问题(解析版)_2.2025数学总复习_2024年新高考资料_3.2024专项复习_2024年新高考数学之圆锥曲线专项重难点突破练(新高考专用)
专题24圆锥曲线与外心问题(解析版)_2.2025数学总复习_2024年新高考资料_3.2024专项复习_2024年新高考数学之圆锥曲线专项重难点突破练(新高考专用)
专题24圆锥曲线与外心问题(解析版)_2.2025数学总复习_2024年新高考资料_3.2024专项复习_2024年新高考数学之圆锥曲线专项重难点突破练(新高考专用)
专题24圆锥曲线与外心问题(解析版)_2.2025数学总复习_2024年新高考资料_3.2024专项复习_2024年新高考数学之圆锥曲线专项重难点突破练(新高考专用)
专题24圆锥曲线与外心问题(解析版)_2.2025数学总复习_2024年新高考资料_3.2024专项复习_2024年新高考数学之圆锥曲线专项重难点突破练(新高考专用)
专题24圆锥曲线与外心问题(解析版)_2.2025数学总复习_2024年新高考资料_3.2024专项复习_2024年新高考数学之圆锥曲线专项重难点突破练(新高考专用)
专题24圆锥曲线与外心问题(解析版)_2.2025数学总复习_2024年新高考资料_3.2024专项复习_2024年新高考数学之圆锥曲线专项重难点突破练(新高考专用)
专题24圆锥曲线与外心问题(解析版)_2.2025数学总复习_2024年新高考资料_3.2024专项复习_2024年新高考数学之圆锥曲线专项重难点突破练(新高考专用)
专题24圆锥曲线与外心问题(解析版)_2.2025数学总复习_2024年新高考资料_3.2024专项复习_2024年新高考数学之圆锥曲线专项重难点突破练(新高考专用)

文档信息

文档格式
docx
文档大小
1.343 MB
文档页数
23 页
上传时间
2026-03-17 06:35:30

文档内容

专题24 圆锥曲线与外心问题 限时:120分钟 满分:150分 一、单选题:本大题共8小题,每个小题5分,共40分.在每小题给出的选项中,只有一项是符合题目要 求的. 1. 中, 为 边上的高且 ,动点 满足 ,则点 的轨迹一定过 的( ) A.外心 B.内心 C.垂心 D.重心 【解析】设 , , 以 为原点, 、 方向为 、 轴正方向如图建立空间直角坐标系, , , ,则 , , , ,则 , 设 ,则 , , ,即 , 即点 的轨迹方程为 , 而直线 平分线段 ,即点 的轨迹为线段 的垂直平分线, 根据三角形外心的性质可得点 的轨迹一定过 的外心,故选:A. 2.已知椭圆 : ,过其左焦点 作直线l交椭圆 于P,A两点,取P点关于x轴的对称点B. 若G点为 的外心,则 ( ) A.2 B.3 C.4 D.以上都不对 【解析】根据题意可得 ,显然直线 的斜率存在,故可设其方程为 ,联立椭圆方程可得: ,设 , 故 , , , 故 , 设 的中点为 ,则其坐标为 , 显然 轴垂直平分 ,故可设 ,又 直线方程为: , 令 ,解得 ,故 ,故 .故选:C. 3.已知双曲线M: 的离心率为 ,A,B分别是它的两条渐近线上的两点(不与 原点O重合), 的外心为P,面积为12,若双曲线M经过点P,则该双曲线的实轴长为( ) A. B. C. D. 【解析】离心率为 ,则有: 又有: 可得: ,此时两条渐近线垂直,即 ,且直线 和直线 均与 轴的夹角 均为 ,则 的外心为 在线段 的中点 若双曲线M经过点 ,根据双曲线的对称性可知:当且仅当 轴时,且点 为双曲线的顶点 此时有: , , 的面积为12,则有: , 解得: ,故双曲线的实轴长为: ,故选:C 4.在直角坐标系xOy中,F(-c,0),F(c,0)分别是双曲线C: 的左、右焦点,位于 1 2第一象限上的点P(x,y)是双曲线C上的一点,△PFF 的外心M的坐标为 ,△PFF 的面积为2 0 0 1 2 1 2 a2,则双曲线C的渐近线方程为( ) A.y=±x B.y= x C.y= x D.y=± x 【解析】由△PFF 的外心M ,知: , 1 2 ∴在△ 中, ,即 ,故∠FPF= , 1 2 在△ 中, ,而 , ∴ ,即 , ∴ ,而 , ∴由题意知: ,故双曲线的渐近线方程为: .故选:D. 5.已知坐标平面 中,点 , 分别为双曲线 ( )的左、右焦点,点 在双曲线 的左支上, 与双曲线 的一条渐近线交于点 ,且 为 的中点,点 为 的外心,若 、 、 三点共线,则双曲线 的离心率为( ) A. B.3 C. D.5 【解析】不妨设点 在第二象限,设 , , 由 为 的中点, 、 、 三点共线知直线 垂直平分 ,则 ,故有 ,且 ,解得 , , 将 ,即 ,代入双曲线的方程可得 ,化简可得 ,即 ,当点 在第三象限时,同理可得 .故选:C. 6.设 为双曲线 的右焦点,以 为圆心, 为半径的圆与双曲线在第一象 限的交点为 ,线段 的中点为 , 的外心为 ,且满足 ,则双曲线 的离心率 为( ) A. B. C.2 D. 【解析】由题,因为 ,所以 、 、 三点共线, 因为点 为线段 的中点, 的外心为 ,所以 ,即 , 设双曲线的左焦点为 ,则点 为线段 的中点, 则在 中, ,即 ,所以 是直角三角形,所以 , 因为 ,由双曲线定义可得 ,所以 , 则 ,因为 ,整理可得 , 所以 ,则 ,故选:D 7.已知点 、 、 ,直线 上有两个动点 、 ,始终使 ,三角 形 的外心轨迹为曲线 , 为曲线 在一象限内的动点,设 , , ,则 ( ) A. B.C. D. 【解析】设点 、 , 设 的外心为 ,则 ,可得出 , 因为 ,则 , 将 代入 并化简得 , 即 ,在 中,由余弦定理 , 即 , 整理可得 ,所以, , 即 ,① 将 、 代入①可得 , 整理可得 ,即 的外心轨迹方程为 , 设点 ,则 ,即 , 而 , ,则 , 又 ,所以 , 因此, .故选:C. 8.已知双曲线 的左、右焦点 恰为椭圆 的两个顶点,设椭圆E的上焦点为P,过点 的直线l交双曲线C右支于点A、B,若点A在第一象限, 的外心Q恰好落在y轴 上,则直线l的方程为( ) A. B. C. D. 【解析】由椭圆 可得: , 故椭圆E的左、右顶点分别为 ,椭圆E的上焦点 , 则 ,故双曲线 , 设双曲线的焦距为 ,则 ,即 ,故 , 当直线l斜率不存在时,直线方程为 ,则 ,AB边上中垂线为x轴, 若 外心Q落在y轴上,则 , 但此时 ,由 ,则不符合题意; 当直线l斜率存在时,设 , 联立 消去y可得 , 则 , , 因为A,B位于双曲线C的右支,则 或 , 则 ,设AB的中点 ,则Q在AB的中垂线上, 所以 ,解得 ,所以 , 由 ,可得 ,整理得 , 由 ,得 或 (舍去), 综上所述:直线方程为 .故选:D. 二、多选题:本大题共4小题,每个小题5分,共20分.在每小题给出的选项中,只有一项或者多项是符 合题目要求的. 9.在平面直角坐标系xOy中,过点 的直线l与抛物线C: 交于A,B两点,点 为线段AB的中点,且 ,则下列结论正确的为( ) A.N为 的外心 B.M可以为C的焦点 C.l的斜率为 D. 可以小于2 【解析】 由 可得 ,则N为 的外心,A正确;易得直线 斜率不为0,设 , ,联立 可得 , ,则 ,则 ,由 可得 , 即 ,则 ,则焦点为 ,B错误; 由 作差得 ,即 ,C正确; ,则 ,D错误. 故选:AC. 10.已知 的三个顶点 均在抛物线 上,则下列命题正确的有( ) A.若直线BC过点 ,则存在点A使 为直角三角形; B.若直线BC过点 ,则存在 使抛物线 的焦点恰为 的重心; C.存在 ,使抛物线 的焦点恰为 的外心; D.若边AC的中线 轴, ,则 的面积为 【解析】设 三点坐标分别为 , A选项,直线BC过点 ,设BC方程为 , 联立 ,消去x得, , , , , 所以 ,而点O在抛物线上,故A正确; B选项,直线BC过点 ,设BC方程为 ,联立 ,消去x,得 , , 抛物线 的焦点恰为 的重心, , , 将A点坐标代入抛物线方程,则 ,所以 , 当 时, ,故B正确; C选项,设以抛物线焦点 为圆心的圆半径为r, 其方程为 ,与抛物线方程联立得: , , 方程至多只有一个非负解,即圆与抛物线至多只有两个交点, 不存在 ,使抛物线 的焦点恰为 的外心,故C不正确; D选项,AC的方程为 ,代入抛物线方程得, , , 设AC中点 轴, , ,代入抛物线方程得 , , ,故D不正确. 故选:AB. 11.设抛物线 的焦点为 , 为抛物线上异于顶点的一点,且 在准线上的射影为 ,则下列结 论正确的有( )A.点 的中点在 轴上 B. 的重心、垂心、外心、内心都可能在抛物线上 C.当 的垂心在抛物线上时, D.当 的垂心在抛物线上时, 为等边三角形 【解析】对于A选项,抛物线 的焦点为 ,准线方程为 , 设点 ,则点 ,所以,线段 的中点为 ,A对; 对于B选项,由抛物线的定义可知 ,则 为等腰三角形, 因为 为 的中点,则 ,所以, 的重心、垂心、外心、内心都在直线 上, ,则直线 的方程为 , 联立 可得 ,则 , 所以,直线 与抛物线 相切,B错; 对于C选项,设点 为第一象限内的点, 若 的垂心 在抛物线上时,设点 ,其中 , 将点 的坐标代入抛物线方程可得 ,可得 ,即点 ,由题意可知, 、 、 三点共线, , , 由 可得 ,整理可得 ,解得 , 所以, ,即点 ,所以, , ,C对; 对于D选项,当 的垂心在抛物线上时,点 ,则 轴,则 , 此时, 为直角三角形,D错. 故选:AC. 12.瑞士著名数学家欧拉在1765年证明了定理“三角形的外心、重心、垂心依次位于同一条直线上,且重 心到外心的距离是重心到垂心距离的一半”,后人称这条直线为“欧拉线”.直线 与 轴及双曲线 的两条渐近线的三个不同交点构成集合 ,且 恰为某三角形的外心,重心,垂 心所成集合.若 的斜率为1,则该双曲线的离心率可以是( ) A. B. C. D. 【解析】设 ,由 ,得 ,得 , 由 ,得 ,得 ,由 ,得 ,得 , , , , 若 为重心、 为外心、 为垂心,则 ,所以 ,化简得 ,此时双曲线的离心率 , 若 为重心、 为垂心、 为外心,则 , 所以 ,化简得 不成立; 若 为重心、 为垂心、 为外心,则 , 所以 ,化简得 ,此时双曲线的离心率 , 若 为重心, 为垂心、 为外心,则 , ,化简得 ,此时双曲线的离心率 ; 若 为重心、 为垂心、 为外心,则 , 所以 ,化简得 或 , 此时双曲线的离心率 或 , 若 为重心, 为垂心、 为外心,则 , 所以 ,化简得 或 都不成立. 综上所述: 或 或 或 . 故选:ABD 三、填空题:本大题共4小题,每小题5分,共20分.把答案填在答题卡中的横线上. 13.设椭圆 的右焦点为 ,过 的直线 与 相交于 两点.设过点 作 轴的垂线交于另一点 ,若 是 的外心,则 的值为 . 【解析】由题意知,直线 的斜率存在,且不为0,设直线 的方程为 , 代入 得 , 设 ,则 , ,则 的中点坐标为 ∴ ∵ 是 的外心,∴ 是线段 的垂直平分线与 的垂直平分线的交点, 的垂直平分线为 ,令 ,得 , 即 , ,∴ . 14.在直角坐标系xOy中直线 与抛物线C: 交于A,B两点.若D为直线 外一点, 且 的外心M在C上,则M的坐标为 . 【解析】联立 得 , 设 , ,则 , ,设线段AB的中点为 , 则 , , 则线段AB的中垂线方程为 ,即 , 联立 得 ,解得 或4, 从而 的外心M的坐标为 或 . 15.已知双曲线 的右焦点为 ,过点 斜率为 的直线 与双曲线 的右支交于 两点,点 ,若 的外心 的横坐标为0,则直线 的方程为 . 【解析】由 知 ,设直线 的方程为 , 联立方程组 得 , 由直线与双曲线右支交于两点可得 解得 ,即 或 . 设 ,则 ,因为 , 所以线段 的中点为 , 且 . 设 ,因为 在线段 的垂直平分线上,所以 , 得 ,即 ,故 . 因为 ,且 , 所以 ,化简得 , 得 或 (舍去),所以直线 的方程为 ,即直线 的方程为 或 . 16.已知点 分别为双曲线 的左、右焦点,点A,B在C的右支上,且点 恰好为 的外心,若 ,则C的离心率为 . 【解析】取 的中点为C,连接BC、 、 ,如图所示: 因为 ,所以 , 又C为 的中点,所以 为等腰三角形且 , 因为点 恰好为 的外心,所以点 在直线BC上,且 , 由双曲线的定义知 ,则 , 所以 为等边三角形,则 , 在 中, 即 ,化简得 , 同时除以 可得 ,解得 或 (舍去). 四、解答题:本大题共6小题,共70分.解答应写出必要的文字说明、证明过程或演算步骤.17.已知抛 物线E: 的焦点为F,准线为l,过焦点 的直线交抛物线 于 , (1)若 垂直l于点 ,且 ,求AF的长 (2) 为坐标原点,求 的外心C的轨迹方程.【解析】(1)由 得 , ; (2)设 ,直线 , 由 ,得 , ,即有 , 易得OA、OB的中垂线方程分别为 , 联立可得 , 外心C的轨迹方程为 . 18.已知椭圆 的左右焦点分别是 , 是椭圆上一动点(与左右顶点不重合), 已知 的内切圆半径的最大值是 椭圆的离心率是 . (1)求椭圆 的方程; (2)过 作斜率不为0的直线 交椭圆于 两点,过 作垂直于 轴的直线交椭圆于另一点 ,连 接 ,设 的外心为 ,求证: 为定值. 【解析】(1)由题意知∶ ,∴a=2c, , 设△ 的内切圆半径为r, 则 .故当 面积最大时,r最大,即P点位于椭圆短轴顶点时 , 所以 ,把a=2c, 代入,解得∶a=2, , 所以椭圆方程为 (2)由题意知,直线AB的斜率存在且不为0,设直线AB为 , 代入椭圆方程得 . , 设 ,则 , ,因此可得 所以AB的中点坐标为( , ) 因为G是△ABQ的外心,所以G是线段AB的垂直平分线与线段BQ的垂直平分线的交点, 由题意可知B,Q关于y轴对称,故 , AB的垂直平分线方程为 令y=0,得 ,即G( ,0),所以 又 = 故 ,所以 为定值,定值为4. 19.已知抛物线C: ,点P为y轴左侧一点,A,B为抛物线C上两点,当直线 过抛物 线C焦点F且垂直于x轴时, 面积为2. (1)求抛物线C标准方程; (2)若直线 为抛物线C的两条切线,设 的外心为M(点M不与焦点F重合),求 的所有可能取值. 【解析】(1)当直线 过抛物线焦点F且垂直于x轴时,A,B两点横坐标为 ,代入抛物线方程,可得 ,故 , ,得 , 故抛物线C标准方程为 . (2)设 .直线 的方程为: 联立 得 ,得 ,所以直线 ,同理直线 , 联立得 则 的中垂线方程分别为: : , : . 联立 解得: , 由于 ,故 , , 故 ,所以 ,则 的所有可能取值为1. 20.已知从曲线 的左、右焦点分别为 ,实轴长为 、一条渐近线方程为 ,过 的直线l与双曲线C的右支交于A,B两点. (1)求双曲线C的方程; (2)已知 ,若 的外心Q的横坐标为0,求直线l的方程. 【解析】(1)由题意,则 ,由渐近线方程 ,即 ,则 ,解得 ,故双曲线 . (2)已知 ,由(1)可知 , ,则 ,即 , ①当直线 斜率不存在时,直线方程为 ,将其代入双曲线方程, 可得 ,解得 ,则 , 此时, 为等腰三角形, 边上中垂线为 轴,若外心 的横坐标 ,则 ,但此时,, , ,由 ,则不符合题意; ②当直线 斜率存在时,设 , 联立可得 ,消去 可得: , 设 ,则 , , 由于 位于双曲线 的右支,则直线 与渐近线方程 应满足 或 , ,记 的中点 , 设 ,则 在 的中垂线上,设直线 的斜率为 ,则 , ,显然 ,则 ,可得 , 由 ,则 ,又因 , 可得 , 整理可得: ,, , ,由 ,则 , 直线方程为 ,即 或 . 21.在平面直角坐标系中,△ABC的两个顶点A,B的坐标分别为 , ,平面内两点G,M同时 满足以下3个条件:①G是△ABC三条边中线的交点:②M是△ABC的外心;③ (1)求△ABC的顶点C的轨迹方程; (2)若点P(2,0)与(1)中轨迹上的点E,F三点共线,求 的取值范围 【解析】(1)设C(x,y),G( , ),M( , ), 因为M是△ABC的外心,所以 所以M在线段AB的中垂线上,所以 , 因为 ,所以 , 又G是△ABC三条边中线的交点,所以G是△ABC的重心, 所以 , 所以 ,又 , 所以 ,化简得 , 所以顶点C的轨迹方程为 ; (2)因为 , , 三点共线,所以 , , 三点所在直线斜率存在且不为0, 设所在直线的方程为 ,联立 得 .由 ,得 .设 , , 则 所以 . 又 ,所以 ,所以 . 故 的取值范围为 . 22.已知在平面直角坐标系xOy中,动点M到点 的距离与它到直线 的距离之比为2.记M的 轨迹为曲线E. (1)求E的方程; (2)若P是曲线E上一点,且点P不在x轴上,作PQ⊥l于点Q,证明:曲线E在点P处的切线过△PQA的 外心. 【解析】(1)解:设动点 坐标为 ,则根据题意得 , 两边同时平方,化简可得 ,所以曲线 的方程为 ; (2)由题设点 ,因为点 不在 轴上,即 , 所以曲线 在点 的切线斜率存在,设为 ,则在点 的切线方程为: , 联立方程组: ,整理得: , 因为双曲线的渐近线为 ,所以 ,,令 ,得 . 因为点 在双曲线上,所以 ,即 , 所以 ,因为 ,所以两边同时除以 ,解得 . 所以在点 的切线方程为 ,即 . 因为 , ,所以 , 所以直线 中垂线 方程为 ,即 , 因为 , ,所以直线 的斜率为 ,线段 的中点为 , 所以直线 中垂线 的斜率为 , 所以直线 中垂线 的方程为 . 联立直线 与直线 , 得外心坐标 . 将外心横坐标 代入过点 的切线方程 , 化简得到 ,与外心的纵坐标相等. 所以曲线 在 点的切线经过 的外心.