当前位置:首页>文档>专题08二次函数y=ax²的图象和性质(2个知识点11种题型1个易错考点2个中考考法)(教师版)_初中数学_九年级数学上册(人教版)_常见题型通关讲解练-V3_2024版

专题08二次函数y=ax²的图象和性质(2个知识点11种题型1个易错考点2个中考考法)(教师版)_初中数学_九年级数学上册(人教版)_常见题型通关讲解练-V3_2024版

  • 2026-03-24 11:54:29 2026-03-21 04:39:31

文档预览

专题08二次函数y=ax²的图象和性质(2个知识点11种题型1个易错考点2个中考考法)(教师版)_初中数学_九年级数学上册(人教版)_常见题型通关讲解练-V3_2024版
专题08二次函数y=ax²的图象和性质(2个知识点11种题型1个易错考点2个中考考法)(教师版)_初中数学_九年级数学上册(人教版)_常见题型通关讲解练-V3_2024版
专题08二次函数y=ax²的图象和性质(2个知识点11种题型1个易错考点2个中考考法)(教师版)_初中数学_九年级数学上册(人教版)_常见题型通关讲解练-V3_2024版
专题08二次函数y=ax²的图象和性质(2个知识点11种题型1个易错考点2个中考考法)(教师版)_初中数学_九年级数学上册(人教版)_常见题型通关讲解练-V3_2024版
专题08二次函数y=ax²的图象和性质(2个知识点11种题型1个易错考点2个中考考法)(教师版)_初中数学_九年级数学上册(人教版)_常见题型通关讲解练-V3_2024版
专题08二次函数y=ax²的图象和性质(2个知识点11种题型1个易错考点2个中考考法)(教师版)_初中数学_九年级数学上册(人教版)_常见题型通关讲解练-V3_2024版
专题08二次函数y=ax²的图象和性质(2个知识点11种题型1个易错考点2个中考考法)(教师版)_初中数学_九年级数学上册(人教版)_常见题型通关讲解练-V3_2024版
专题08二次函数y=ax²的图象和性质(2个知识点11种题型1个易错考点2个中考考法)(教师版)_初中数学_九年级数学上册(人教版)_常见题型通关讲解练-V3_2024版
专题08二次函数y=ax²的图象和性质(2个知识点11种题型1个易错考点2个中考考法)(教师版)_初中数学_九年级数学上册(人教版)_常见题型通关讲解练-V3_2024版
专题08二次函数y=ax²的图象和性质(2个知识点11种题型1个易错考点2个中考考法)(教师版)_初中数学_九年级数学上册(人教版)_常见题型通关讲解练-V3_2024版
专题08二次函数y=ax²的图象和性质(2个知识点11种题型1个易错考点2个中考考法)(教师版)_初中数学_九年级数学上册(人教版)_常见题型通关讲解练-V3_2024版
专题08二次函数y=ax²的图象和性质(2个知识点11种题型1个易错考点2个中考考法)(教师版)_初中数学_九年级数学上册(人教版)_常见题型通关讲解练-V3_2024版
专题08二次函数y=ax²的图象和性质(2个知识点11种题型1个易错考点2个中考考法)(教师版)_初中数学_九年级数学上册(人教版)_常见题型通关讲解练-V3_2024版
专题08二次函数y=ax²的图象和性质(2个知识点11种题型1个易错考点2个中考考法)(教师版)_初中数学_九年级数学上册(人教版)_常见题型通关讲解练-V3_2024版
专题08二次函数y=ax²的图象和性质(2个知识点11种题型1个易错考点2个中考考法)(教师版)_初中数学_九年级数学上册(人教版)_常见题型通关讲解练-V3_2024版
专题08二次函数y=ax²的图象和性质(2个知识点11种题型1个易错考点2个中考考法)(教师版)_初中数学_九年级数学上册(人教版)_常见题型通关讲解练-V3_2024版
专题08二次函数y=ax²的图象和性质(2个知识点11种题型1个易错考点2个中考考法)(教师版)_初中数学_九年级数学上册(人教版)_常见题型通关讲解练-V3_2024版
专题08二次函数y=ax²的图象和性质(2个知识点11种题型1个易错考点2个中考考法)(教师版)_初中数学_九年级数学上册(人教版)_常见题型通关讲解练-V3_2024版
专题08二次函数y=ax²的图象和性质(2个知识点11种题型1个易错考点2个中考考法)(教师版)_初中数学_九年级数学上册(人教版)_常见题型通关讲解练-V3_2024版
专题08二次函数y=ax²的图象和性质(2个知识点11种题型1个易错考点2个中考考法)(教师版)_初中数学_九年级数学上册(人教版)_常见题型通关讲解练-V3_2024版
专题08二次函数y=ax²的图象和性质(2个知识点11种题型1个易错考点2个中考考法)(教师版)_初中数学_九年级数学上册(人教版)_常见题型通关讲解练-V3_2024版
专题08二次函数y=ax²的图象和性质(2个知识点11种题型1个易错考点2个中考考法)(教师版)_初中数学_九年级数学上册(人教版)_常见题型通关讲解练-V3_2024版
专题08二次函数y=ax²的图象和性质(2个知识点11种题型1个易错考点2个中考考法)(教师版)_初中数学_九年级数学上册(人教版)_常见题型通关讲解练-V3_2024版
专题08二次函数y=ax²的图象和性质(2个知识点11种题型1个易错考点2个中考考法)(教师版)_初中数学_九年级数学上册(人教版)_常见题型通关讲解练-V3_2024版
专题08二次函数y=ax²的图象和性质(2个知识点11种题型1个易错考点2个中考考法)(教师版)_初中数学_九年级数学上册(人教版)_常见题型通关讲解练-V3_2024版
专题08二次函数y=ax²的图象和性质(2个知识点11种题型1个易错考点2个中考考法)(教师版)_初中数学_九年级数学上册(人教版)_常见题型通关讲解练-V3_2024版
专题08二次函数y=ax²的图象和性质(2个知识点11种题型1个易错考点2个中考考法)(教师版)_初中数学_九年级数学上册(人教版)_常见题型通关讲解练-V3_2024版
专题08二次函数y=ax²的图象和性质(2个知识点11种题型1个易错考点2个中考考法)(教师版)_初中数学_九年级数学上册(人教版)_常见题型通关讲解练-V3_2024版
专题08二次函数y=ax²的图象和性质(2个知识点11种题型1个易错考点2个中考考法)(教师版)_初中数学_九年级数学上册(人教版)_常见题型通关讲解练-V3_2024版
专题08二次函数y=ax²的图象和性质(2个知识点11种题型1个易错考点2个中考考法)(教师版)_初中数学_九年级数学上册(人教版)_常见题型通关讲解练-V3_2024版
专题08二次函数y=ax²的图象和性质(2个知识点11种题型1个易错考点2个中考考法)(教师版)_初中数学_九年级数学上册(人教版)_常见题型通关讲解练-V3_2024版
专题08二次函数y=ax²的图象和性质(2个知识点11种题型1个易错考点2个中考考法)(教师版)_初中数学_九年级数学上册(人教版)_常见题型通关讲解练-V3_2024版
专题08二次函数y=ax²的图象和性质(2个知识点11种题型1个易错考点2个中考考法)(教师版)_初中数学_九年级数学上册(人教版)_常见题型通关讲解练-V3_2024版
专题08二次函数y=ax²的图象和性质(2个知识点11种题型1个易错考点2个中考考法)(教师版)_初中数学_九年级数学上册(人教版)_常见题型通关讲解练-V3_2024版
专题08二次函数y=ax²的图象和性质(2个知识点11种题型1个易错考点2个中考考法)(教师版)_初中数学_九年级数学上册(人教版)_常见题型通关讲解练-V3_2024版
专题08二次函数y=ax²的图象和性质(2个知识点11种题型1个易错考点2个中考考法)(教师版)_初中数学_九年级数学上册(人教版)_常见题型通关讲解练-V3_2024版
专题08二次函数y=ax²的图象和性质(2个知识点11种题型1个易错考点2个中考考法)(教师版)_初中数学_九年级数学上册(人教版)_常见题型通关讲解练-V3_2024版
专题08二次函数y=ax²的图象和性质(2个知识点11种题型1个易错考点2个中考考法)(教师版)_初中数学_九年级数学上册(人教版)_常见题型通关讲解练-V3_2024版
专题08二次函数y=ax²的图象和性质(2个知识点11种题型1个易错考点2个中考考法)(教师版)_初中数学_九年级数学上册(人教版)_常见题型通关讲解练-V3_2024版
专题08二次函数y=ax²的图象和性质(2个知识点11种题型1个易错考点2个中考考法)(教师版)_初中数学_九年级数学上册(人教版)_常见题型通关讲解练-V3_2024版
专题08二次函数y=ax²的图象和性质(2个知识点11种题型1个易错考点2个中考考法)(教师版)_初中数学_九年级数学上册(人教版)_常见题型通关讲解练-V3_2024版
专题08二次函数y=ax²的图象和性质(2个知识点11种题型1个易错考点2个中考考法)(教师版)_初中数学_九年级数学上册(人教版)_常见题型通关讲解练-V3_2024版
专题08二次函数y=ax²的图象和性质(2个知识点11种题型1个易错考点2个中考考法)(教师版)_初中数学_九年级数学上册(人教版)_常见题型通关讲解练-V3_2024版
专题08二次函数y=ax²的图象和性质(2个知识点11种题型1个易错考点2个中考考法)(教师版)_初中数学_九年级数学上册(人教版)_常见题型通关讲解练-V3_2024版

文档信息

文档格式
docx
文档大小
5.861 MB
文档页数
44 页
上传时间
2026-03-21 04:39:31

文档内容

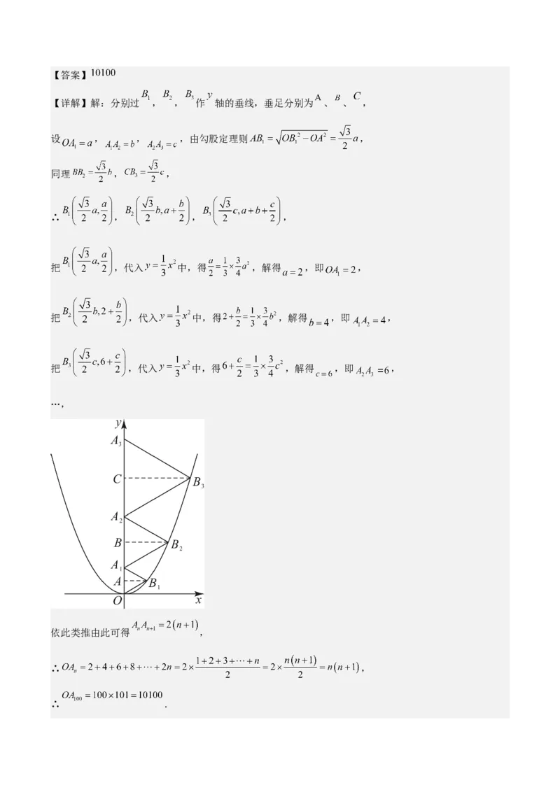
专题 08 二次函数 y=ax ²的图象和性质(2 个知识点 11 种题型 1 个易错考点 2 个中考考法) 【目录】 倍速学习五种方法 【方法一】 脉络梳理法 知识点1:二次函数y=ax²的图象的画法 知识点2:二次函数y=ax²的图象和性质(重难点) 【方法二】 实例探索法 题型1:画二次函数y=ax²的图象 题型2:利用二次函数y=ax²的图象和性质求字母的值 题型3:利用二次函数y=ax²的性质判断抛物线的开口方向和大小 题型4:一题多解——比较函数值的大小 题型5:求二次函数y=ax2(a≠0)的表达式 题型6:双图象问题 题型7:规律探究题 题型8:二次函数y=ax²与一次函数的综合 题型9:二次函数y=ax2(a≠0)与几何变换 题型10:二次函数y=ax2(a≠0)中的分类讨论 题型11:数形结合思想的运用 【方法三】 差异对比法 易错点:比较抛物线y=ax²开口大小时,弄混规律而出错 【方法四】 仿真实战法 考法1:二次函数y=ax²的图象 考法2:二次函数y=ax²的性质 【方法五】 成果评定法【学习目标】 1、会用描点法画出二次函数y=ax2(a≠0)的图象。 2.能确定二次函数y=ax2(a≠0)的图象的顶点坐标,开口方向和对称轴。 3.探索二次函数y=ax2(a≠0)的图象的作法和性质。 【知识导图】 【倍速学习五种方法】 【方法一】脉络梳理法 知识点1:二次函数y=ax²的图象的画法 用描点法画出二次函数y=ax2(a≠0)的图象,如图,它是一条关于y轴对称的曲线,这样的曲线叫做 抛物线. 因为抛物线y=x2关于y轴对称,所以y轴是这条抛物线的对称轴,对称轴与抛物线的交点是抛物线的 顶点,从图上看,抛物线y=x2的顶点是图象的最低点。因为抛物线y=x2有最低点,所以函数y=x2有最小值, 它的最小值就是最低点的纵坐标. 在平面直角坐标系xOy中,按照下列步骤画二次函数 的图像. (1)列表:取自变量x的一些值,计算相应的函数值y,如下表所示: x … -2 -1 0 1 2 …… 4 1 0 1 4 … 4 4 y3 3 2 2 1 1 x (2)描点:分别以所取的x的值和相应的函数值y作为点的横坐标和纵坐标,描出这些坐标所对应的各点, 如图1所示. (3)连线:用光滑的曲线把所描出的这些点顺次联结起来,得到函数 的图像,如图2所示. 要点诠释: 二次函数y=ax2(a≠0)的图象.用描点法画二次函数y=ax2(a≠0)的图象,该图象是轴对称图形,对称 轴是y轴.y=ax2(a≠0)是最简单的二次函数,把y=ax2(a≠0)的图象左右、上下平行移动可以得到 y=ax2+bx+c(a≠0)的图象. 画草图时应抓住以下几点:开口方向,对称轴,顶点,与x轴的交点,与 y 轴的交点. 【例1】 画出二次函数y=x2的图象. x … −3 −2 −1 0 1 2 3 … … …【例2】 画出二次函数y=-x2的图象. x … −3 −2 −1 0 1 2 3 … … … 知识点2:二次函数y=ax²的图象和性质(重难点) 二次函数y=ax2(a≠0)的图象的性质,见下表: 函数 图象 开口方向 顶点坐标 对称轴 函数变化 最大(小) 值 y=ax2 a>0 向上 (0,0) y轴 x>0时,y随 当x=0时, x增大而增大; y =0 最小 x<0时,y随 x增大而减小. y=ax2 a<0 向下 (0,0) y轴 x>0时,y随 当x=0时, x增大而减小; y =0 最大 x<0时,y随 x增大而增大. 要点诠释: a 顶点决定抛物线的位置.几个不同的二次函数,如果二次项系数 相同,那么抛物线的开口方向、开口 大小完全相同,只是顶点的位置不同. │a│相同,抛物线的开口大小、形状相同. │a│越大,开口越小,图象两边越靠近y轴,│a│越小,开口越大,图象两边越靠近x轴. 【例3】抛物线y=﹣x2不具有的性质是( ). A.开口向上 B. 对称轴是y轴 C. 在对称轴的左侧,y随x的增大而增大 D. 最高点是原点 【答案】A.【例4】抛物线 开口方向是( ) A.向上 B.向下 C.向左 D.向右 【答案】B 【详解】∵ ∴抛物线的开口向下. 【例5】对于二次函数 ,下列说法正确的是( ) A.函数有最小值 B.函数图象开口向下 C.函数图象顶点坐标是 D.y随x增大而减小 【答案】B 【详解】解:二次函数 ,开口向下,有最大值,对称轴为y轴,顶点为 , 当 时,y随x的增大而增大,当 时,y随x的增大而减小. 故A,C,D不符合题意;B符合题意; 【例6】若二次函数 的图像经过点 ,则该图像必经过点( ) A. B.( C. D. 【答案】A 【详解】解:∵二次函数 的对称轴为y轴, ∴若图像经过点 ,则该图像必经过点 . 【例7】二次函数 的图像是______,它的对称轴是______,顶点坐标是______,开口方向是 ______. 【答案】抛物线; 轴; ;向下. 【解析】 图像为抛物线,顶点坐标为 ;对称轴为 轴; ,开口向上, ,开口向下 【例8】抛物线 , , 的共同性质是__________(写出一条即可)【答案】对称轴都是 轴(答案不唯一) 【详解】解:∵形如 的函数图象的对称轴是 轴,顶点是 , ∴抛物线 , , 的共同性质是对称轴是 轴,顶点是 等等, 【例9】已知二次函数 的图象经过点 .求: (1)该函数解析式及对称轴; (2)试判断点 是否在此函数的图象上. 【答案】(1) ,对称轴为y轴 (2)点 不在此函数的图象上 【详解】(1)解:∵二次函数 的图象经过点 , ∴ , ∴ , ∴二次函数解析式为 , ∴二次函数对称轴为y轴; (2)解:在 中,当 时, , ∴点 不在此函数的图象上. 【例10】根据下列条件分别求a的取值范围. (1)函数 ,当 时,y随x的增大而减小,当 时,y随x的增大而增大; (2)函数y= 有最大值; (3)抛物线 与 的形状相同; (4)函数 的图象是开口向上的抛物线. 【答案】(1) ;(2) ; (3) 或 ; (4) . 【详解】(1)解:由题意得 , 解得 . (2)由题意得 , 解得 . (3)由题意得 或 , 解得 或 ; (4) 函数土象开口向上 . 【方法二】实例探索法 题型1:画二次函数y=ax²的图象 1.已知二次函数 的图像经过点Q(-1,-2),求a的值,并写出它的解析式.在平面直角坐标系中, 画出它的图像. 【答案】 , .图像如图所示: 【解析】把Q(-1,-2)代入 得 ,解析式为 . 题型2:利用二次函数y=ax²的图象和性质求字母的值 2.如果抛物线 的开口方向向下,那么a的取值范围是 .【答案】 【详解】解:由抛物线 的开口方向向下,则有 ; 3.如果抛物线 有最高点,那么 的取值范围是 . 【答案】 【详解】解:∵抛物线 有最高点, ∴抛物线开口向下, ∴ , ∴ , 4.抛物线 与 的形状相同,则a的值为______. 【答案】 . 【解析】∵抛物线 与 的形状相同,∴ ,得 . 5.已知关于 的二次函数 ,当 为何值时,它的图像开口向上?当 为何值时,它的图像开口 向下? 【答案】 时,图像开口向上; 时,图像开口向下. 【解析】当 ,即 ,抛物线图像开口向上; 当 ,即 ,抛物线图像开口向下. 6.已知二次函数 的图像开口向下,求m的值. 【答案】 . 【解析】由题意得 ,得 . 题型3:利用二次函数y=ax²的性质判断抛物线的开口方向和大小 7.(2022秋·甘肃平凉·九年级校考阶段练习)如图,① ,② ,③ ,④ ,比较 a.b.c.d的大小,用“ ”连接.__________【答案】 【详解】解:因为直线 与四条抛物线的交点从上到下依次为 , 所以, . 8.(1)在同一平面直角坐标系中,画出函数 、 的图像; (2)函数 、 的图像与函数 的图像,有何异同? 【答案】(1)如图: (2)相同点:开口方向都向上;顶点都是 点;对称轴都是 轴;不同点:开口大小不同. 【解析】(1)略; (2) 图像顶点为坐标原点;对称轴为 轴; ,开口向上, ,开口向下; 决定开口大小, 越大,开口越小.9.(1)在同一平面直角坐标系中,画出函数 、 、 的图 像; (2)函数 、 、 的图像与函数 、 、 的图像有何异同? 【答案】(1)如图: (2)相同点: 相同的开口大小一样;顶点都是原点;对称轴都是 轴; 不同点:开口方向不同. 【解析】 (2) 图像顶点坐标为 ;对称轴为 轴; ,开口向上, ,开口向下; 决定开口大小, 越大,开口越小. 题型4:一题多解——比较函数值的大小 1 10.函数y=x2的图象对称轴左侧上有两点A(a,15),B(b, 4 ),则a-b_______0(填“>”、“<”或 “=”号). 【答案】<.  1 B b,   【解析】解法一:将A(a,15),  4 分别代入y=x2中得: 15a2 , 1 b2 a  15 4 ∴ ; , 1 b a  15 2 又A、B在抛物线对称轴左侧,∴ a<0,b<0,即 , , 1 ab 15 0 2 ∴ 解法二:画函数y=x2的草图(如图所示),可知在y轴左侧(x<0)时,y随x的增大而减小,1 15 4 又∵ ,a<b,即a-b<0. 11.已知 ,点 都在函数 的图象上,则( ) A. B. C. D. 【答案】C 【详解】解:∵ , ∴ , ∴三点都在抛物线对称轴的左侧, ∵ 在 轴左侧 随 的增大而减小, ∴ . 12.已知点 , 是抛物线 上的两点,若 ,则 _____ (填“ ”“ ”或“ ”). 【答案】< 【详解】解:由抛物线 可知: ,开口向下,对称轴为 , ∴当 时,y随x的增大而增大, ∴当点 , 是抛物线 上的两点,且 ,则 ; 题型5:求二次函数y=ax2(a≠0)的表达式 13.如图,有一座抛物线形拱桥,桥下水面在正常水位AB时宽20米,水位上升3米到达警戒线CD,这时 水面宽度10米. (1)在如图所示的坐标系中,求抛物线解析式; (2)若洪水到来时,水位以0.2米/时的速度上升,从警戒线开始,再持续多少时间才能达到拱桥顶?y O x C D A B 【答案】(1) ;(2)5小时. 【解析】(1)设抛物线解析式为 ( ), 如图,设 ,则 , 把 、 代入 得 ,解得 , ∴抛物线的解析式为 . (2)由(1)知 ,∴ (小时) 14.已知一个二次函数的的顶点为原点,其抛物线开口方向与抛物线 的开口方向相反, 而抛物线形状与它相同,求这个二次函数的解析式. 【答案】 . 【解析】∵ 为二次函数,∴ ,解得 , , 又∵ ,∴ ,可得 ,∴二次函数为 . ∵要求的抛物线与 开口方向相反,形状相同, ∴要求的这个二次函数的解析式为 . 题型6:双图象问题 15.函数 与 的图像可能是( )y y y y O O O x x x O x A. B. C. D. 【答案】D. 【解析】当 时,抛物线开口向下,一次函数一定过第一、三象限, 当 时,抛物线开口向上,一次函数一定过第二、四象限. 题型7:规律探究题 16.(2023秋·四川南充·九年级统考期末)如图,过x轴正半轴上一点E作x轴的垂线,分别与抛物线 , 交于点B,A,过点A作 轴,交抛物线 于点C,过点B作 轴,交抛物线 于点D,若 ,则 的值为( ) A. B. C. D.2 【答案】C 【详解】解:设点A的坐标为 ,其中 ,则点B的坐标为 , ∵ 轴, 轴, ∴点C的坐标为 ,点D的坐标为 , ∴ , , ∵ ,∴ , 解得: 或1(舍去), ∴ 的值为 . 17.(2023·广东珠海·珠海市紫荆中学校考三模)如图,分别过点 作 轴的垂线,交 的图象于点 ,交直线 于点 ,则 的值为( ) A. B. C. D. 【答案】B 【详解】解:∵点 作 轴的垂线,交 的图象于点 ,交直线 于点 , ∴ , ∴ , ∴ , ∴ , 故选: .18.(2023·四川达州·统考一模)如图,已知点 在函数 位于第二象限的图像上,点 在函数 位于第一象限的图像上,点 在 轴的正半轴上,若四边形 都是正方形,则正方形 的边长为( ) A.1012 B. C. D. 【答案】B 【详解】解: 是正方形, 与 轴的夹角为 , 的解析式为 , 联立方程组得: , 解得 , . 点的坐标是: , , ; 同理可得:正方形 的边长 ;依此类推,正方形 的边长是为 . 19.(2023春·广东惠州·九年级校考开学考试)如图,点 、 、 、…、 在抛物线 图象上,点 、 、 、…、 在y轴上,若 、 、…、 都为等腰直角三角形(点 是坐 标原点),则 的底边长为 . 【答案】4036 【详解】解:如图,作 轴, 轴,垂足分别为C、E,作 轴, 轴,垂足分别为 D,F, ∵ 、 都是等腰直角三角形, ∴ , . 设 ,则 ,将其代入解析式 得:∴ , 解得: (不符合题意)或 , 由勾股定理得: ,则 , ∴ , 过 作 于N,设点 , 可得 , , 又点 在抛物线上,所以 , ∴ , 解得 或 (不合题意舍去), ∴ , 同理可得: , , … ∴ , ∴ 的腰长为: , ∴ 的底边长为: , 20.(2021春·全国·九年级专题练习)二次函数 的图象如图所示,点A 位于坐标原点,点A, 0 1 A,A,…,A 在y轴的正半轴上,点B,B,B,…,B 在二次函数 位于第一象限的图象上, 2 3 2013 1 2 3 2013 若△ABA,△ABA,△ABA,…,△A B A 都为等边三角形,求△A B A 的边长. 0 1 1 1 2 2 2 3 3 2012 2013 2013 2012 2013 2013【答案】2013 【详解】解:如图所示,作BC ⊥y轴,垂足为C . 1 1 1 ∵△AAB 为等边三角形, 0 1 1 ∴∠ABC =30°. 0 1 1 设AC =a,则AB=2a,BC = . 0 1 0 1 1 1 ∴B( , ), 1 ∴ , ∴ , ∴ . 作BC ⊥y轴,设AC =m,则AB=2m,C B= m, 2 2 1 2 1 2 2 2 ∴ . ∴ . ∴2m2-m-1=0, 即(2m+1)(m-1)=0,∴m=1或 (舍). ∴AB=2. 1 2 同理可求AB=3,AB=4,… 2 3 3 4 ∴△A B A 的边长为2013. 2012 2013 2013 题型8:二次函数y=ax²与一次函数的综合 21.如图,直线 与y轴交于点A,与抛物线y=ax2交于B,C两点,且点B坐标为(2,2). (1)求a,b的值; (2)连接OC、OB,求 BOC的面积. △ 【答案】(1)a的值是 ;b的值是4 (2) 【详解】(1)解:把B(2,2)代入到直线 中, 得: , 即 ; 把B(2,2)代入到抛物线 中, 得: , 即 , ∴a的值是 ;b的值是4. (2)解:∵b=4, ∴点A(0,4).联立两函数解析式成方程组, , 解得: 或 , ∴点C的坐标为 , ∴ . 22.(2022春·九年级课时练习)如图,直线l过x轴上一点 ,且与抛物线 相交于B、C两点. B点坐标为 . (1)求抛物线解析式; (2)若抛物线上有一点D(在第一象限内),使得 ,求点D的坐标. 【答案】(1)抛物线解析式为 (2) 【详解】(1)把 代入 得: , ∴抛物线解析式为 ; (2)设直线AB的函数解析式为 , 把 , 代入得: , ,∴直线AB的解析式为 , 将 与 联立得: 或 , ∴ , , ∴ , 设 , ∵ , ∴ , 解得: , (舍), ∴ . 题型9:二次函数y=ax2(a≠0)与几何变换 23.若把抛物线 ( )沿着顶点旋转180°,所得抛物线的表达式是__________;若把抛物线 ( )沿着x轴翻折,所得的抛物线的表达式是__________;由这样的旋转与翻折分别得到的 两条抛物线______重合的(选填“是”或“不是”). 【答案】 ; ;是. 【解析】若把抛物线 ( )沿着顶点旋转180°, 则新的抛物线顶点和对称轴不变,方向相反,∴新的抛物线的表达式为 ; 若抛物线 ( )沿着x轴翻折, 则新的抛物线顶点和对称轴不变,方向相反, ∴新的抛物线的表达式为 . 题型10:二次函数y=ax2(a≠0)中的分类讨论24.如图,在平面直角坐标系内,已知抛物线 ( )上有两个点A、B,它们的横坐标分别为-1, 2.若 为直角三角形,求a的值. y B A O x 【答案】 , . 【解析】把横坐标-1,2分别代入 ( )得 、 , ∴ , , , 当 时, ,即 , 解得 , (舍); 当 时, ,即 , 解得 , (舍); 当 时, , , 此方程无解, 综上,当 为直角三角形,a的值为1或 . 题型11:数形结合思想的运用 25.(2022秋·北京通州·九年级人大附中通州校区校考阶段练习)在平面直角坐标系中,过点(0,2)且平行 于x轴的直线,与直线y=x−2交于点A,点A关于直线x=2的对称点为B. (1)求点A与点B的坐标; (2)若函数 的图象与线段AB恰有一个公共点,结合函数的图象,求a的取值范围. 【答案】(1)点A的坐标为(4,2),点B的坐标为(0,2); (2)a≥ .(1)解:过点(0,2)且平行于x轴的直线,则y=2, 根据题意,联立方程 ,解得 , ∴点A的坐标为(4,2), ∵点B与点A关于直线x=2对称, ∴点B的坐标为(0,2); (2)解:把点A(4,2)代入 得, , 解得a= , 结合函数图像, (a≠0)与线段AB恰有一个公共点,需满足a≥ , ∴a≥ . 26.如图,在正方形 中,已知:点A,点B在抛物线 上,点C,点D在x轴上. (1)求点A的坐标; (2)连接 交抛物线于点P,求点P的坐标.【答案】(1) (2)P点的坐标为 【分析】(1)根据题意设 ,则 ,代入抛物线的解析式即可求得 ,得到 ; (2)根据待定系数法求得直线 的解析式,然后与抛物线解析式联立成方程组,解方程组即可求得P点 的坐标. 【详解】(1)解:由题意可设 ,则 , ∵点A在抛物线 上, ∴ , ∴ 或 (舍去), ∴ ; (2)解:设直线 的解析式 , ∵ , , ∴ ,解得 , ∴直线 为 , 由 解得 或 , ∴P点的坐标为 . 【方法三】差异对比法 易错点:比较抛物线y=ax²开口大小时,弄混规律而出错 27.函数 , , 中,图象开口大小的顺序是( )A. B. C. D. 【答案】D 【详解】解:∵ , ∴图象开口大小的顺序是 , 故选:D. 【点睛】本题主要考查了二次函数图象的性质,熟知对于二次函数 , 的值越大开口大小 越小是解题的关键. 【方法四】 仿真实战法 考法1:二次函数y=ax²的图象 1.(2019•呼和浩特)二次函数y=ax2与一次函数y=ax+a在同一坐标系中的大致图象可能是( ) A. B. C. D. 【分析】由一次函数y=ax+a可知,一次函数的图象与x轴交于点(﹣1,0),即可排除A、B,然后根 据二次函数的开口方向,与y轴的交点;一次函数经过的象限,与y轴的交点可得相关图象进行判断. 【解答】解:由一次函数y=ax+a可知,一次函数的图象与x轴交于点(﹣1,0),排除A、B; 当a>0时,二次函数y=ax2开口向上,一次函数y=ax+a经过一、二、三象限,当a<0时,二次函数 开口向下,一次函数经过二、三、四象限,排除C; 故选:D. 【点评】本题主要考查一次函数和二次函数的图象,解题的关键是熟练掌握二次函数的图象和一次函数 的图象与系数之间的关系. 考法2:二次函数y=ax²的性质2.(2016•防城港)抛物线y= ,y=x2,y=﹣x2的共同性质是: ①都是开口向上; ②都以点(0,0)为顶点; ③都以y轴为对称轴; ④都关于x轴对称. 其中正确的个数有( ) A.1个 B.2个 C.3个 D.4个 【分析】利用二次函数的性质,利用开口方向,对称轴,顶点坐标逐一探讨得出答案即可. 【解答】解:抛物线y= ,y=x2的开口向上,y=﹣x2的开口向下,①错误; 抛物线y= ,y=x2,y=﹣x2的顶点为(0,0),对称轴为y轴,②③正确;④错误; 故选:B. 【点评】本题考查了二次函数的图形与性质;熟记抛物线的开口方向、对称轴、顶点坐标是解决问题的 关键. 3.(2021•安顺)二次函数y=x2的图象开口方向是 向上 (填“向上”或“向下”). 【分析】由二次函数图象开口方向和系数a之间的关系得出结论. 【解答】解:由y=x2得:a>0, ∴二次函数图象开口向上. 故答案为:向上. 【点评】本题主要考查了学生对二次函数图象开口方向和系数 a之间的关系的掌握情况,只要掌握“a >0,开口向上;a<0,开口向下”即可快速得出结果. 4.(2020•无锡)请写出一个函数表达式,使其图象的对称轴为y轴: y = x 2 . 【分析】根据形如y=ax2或y=ax2+c二次函数的性质直接写出即可. 【解答】解:∵图象的对称轴是y轴, ∴函数表达式y=x2(答案不唯一), 故答案为:y=x2(答案不唯一). 【点评】本题考查了二次函数的性质,牢记形如y=ax2的二次函数的性质是解答本题的关键. 5.(2018•广州)已知二次函数y=x2,当x>0时,y随x的增大而 增大 (填“增大”或“减小”). 【分析】根据二次函数的二次项系数a以及对称轴即可判断出函数的增减性. 【解答】解:∵二次函数y=x2,开口向上,对称轴为y轴,∴当x>0时,y随x的增大而增大. 故答案为:增大. 【点评】本题主要考查了二次函数的性质,解答本题的关键是求出二次函数的对称轴为 y轴,开口向上, 此题难度不大. 【方法五】 成果评定法 一、单选题 1.(2023·湖南株洲·校考三模)如图,A、B、C三点均在二次函数 的图像上,M为线段AC的中点, 轴,且 .设A、C两点的横坐标分别为 、 ( ),则 的值为( ) A.3 B. C. D. 【答案】D 【详解】解:设 点坐标为 , 轴, , , 、 、 三点均在二次函数 的图象上, , 为线段 的中点, , , ,, , , , , 2.(2022春·全国·九年级专题练习)抛物线 与 相同的性质是( ) A.开口向下 B.对称轴是y轴 C.有最低点 D.对称轴是x轴 【答案】B 【详解】抛物线 的开口向上,对称轴为 轴,有最低点; 抛物线 开口向下,对称轴为 轴,有最高点; 故抛物线 与 相同的性质是对称轴都是 轴, 3.(2023秋·河南洛阳·九年级统考期末)下列是关于二次函数 的图像表述: ①抛物线的开口向上; ②抛物线的开口向下; ③抛物线的顶点是 ; ④抛物线关于 轴对称;⑤抛物线在 轴左侧部分自左向右呈下降趋势; ⑥抛物线在 轴右侧部分自左向右呈下降趋势;其中正确的( ) A.①③④ B.②③④⑤ C.②③④⑥ D.①③④⑤ 【答案】C 【详解】解:∵二次函数的解析式为: , ∴开口方向向下,顶点坐标为 ,抛物线关于 轴对称,抛物线在 轴右侧部分自左向右呈下降趋势, 抛物线在 轴左侧部分自左向右呈上升趋势, 故②③④⑥正确.4.点 , 都在抛物线 上.若 ,则 的取值范围为( ) A. B. C. D. 【答案】D 【详解】解:∵点 , 都在抛物线 上, ∴ , , ∵ , ∴ , 即 , ∴ 解得: . 5.(2022秋·重庆大足·九年级统考期末)已知二次函数 的图象上有三个点 ,则有( ) A. B. C. D. 【答案】A 【详解】解:∵二次函数 的对称轴为直线 , , ∴抛物线开口向上,当 时, 随 增大而减小,当 时, 随 增大而增大, ∵点 关于 的对称点为 ,且 , ∴ . 故选:A 6.(2023·辽宁鞍山·统考一模)已知点 , 是函数 图象上的两点,且当时,有 ,则m的取值范围是() A. B. C. D. 【答案】A 【详解】解∶ 当 时,有 , 故选∶A. 7.(2023春·吉林长春·九年级统考开学考试)已知 ,点 都在函数 的图象上,则( ) A. B. C. D. 【答案】D 【详解】解:∵二次函数解析式为 , ∴二次函数开口向上,对称轴为y轴, ∴离y轴越远函数值越大, ∵ , ∴ , ∴ , 8.(2023秋·海南省直辖县级单位·九年级统考期末)关于抛物线 ,下列说法错误的是( ) A.图象关于直线 对称 B.抛物线开口向下 C. 随着 的增大而减小 D.图象的顶点为原点 【答案】C 【详解】解:∵ , ∴抛物线开口向下,对称轴为 轴,顶点坐标是 , ∴ 、 、 选项说法正确,∵ ,对称轴为 , ∴当 时, 随 的增大而减小, ∴ 选项说法错误, 9.在同一坐标系中,作 、 、 的图象,它们共同特点是( ) A.都是关于 轴对称,抛物线开口向上 B.都是关于 轴对称,抛物线开口向下 C.都是关于原点对称,顶点都是原点 D.都是关于 轴对称,顶点都是原点 【答案】D 【详解】解:因为 、 、 都符合 形式, 形式的二次函数对称轴都是y轴,且顶点都在原点, 所以它们的共同特点是:关于y轴对称,抛物线的顶点在原点. 10.(2023·浙江绍兴·统考一模)已知点 为二次函数 图象上的两点(不为顶点),则 以下判断正确的是( ) A.若 ,则 B.若 ,则 C.若 ,则 D.若 ,则 【答案】C 【详解】解:∵ , ,对称轴为 轴, ∴在 轴左侧, 随 的增大而减小,在 轴右侧, 随 的增大而增大,抛物线上的点离对称轴越远,函 数值越大; A、 , 不一定大于 ,例如 时, , 时, ,此时 ,但是 ;故 选项A错误; B、 , 不一定小于 ,例如 时, , 时, ,此时 ,但是 ;故选 项B错误; C、当 ,即: ,∴ 或 , 当 时, , 当 时, , ∴当 时, ;故选项C正确; D、当 ,即: 不一定小于 ,例如 时, , 时, ,此时 ,但是 ;故选项D错误; 11.(2023春·陕西延安·九年级专题练习)已知抛物线 的顶点为坐标原点 ,过 作两条互相垂 直的直线分别与抛物线交 于点 、 ,连接 .求 边上的高的最大值为( ) A. B. C. D. 【答案】B 【详解】解:如图: 设点 , 则:直线 的表达式为: 直线 的表达式为: 直线 的表达式为: , 过点 分别作 轴垂线,交 轴于点则: ∽ 则直线 的表达式为: 直线 必过 点 当 与 轴平行时, 边上的高有最大值,为 二、填空题 12.(2022春·广东河源·九年级和平县上陵中学校考阶段练习)若点 在抛物线 上,则m的值 为 ,点A关于y轴对称点的坐标是 . 【答案】 4 【详解】解:∵点 在抛物线 上, ∴ , ∴点A的坐标是 , ∴点A关于y轴对称点的坐标是 . 13.若二次函数 的图像经过点 ,则a的值为 . 【答案】 /0.75 【分析】直接将坐标代入二次函数表达式即可求出 的值即可. 【详解】解:将 代入 得 ,解得 , 故答案为: . 【点睛】本题主要考查了二次函数图像上的点,掌握待定系数法是解本题的关键. 14.已知抛物线 在对称轴左侧的部分是下降的,那么a的取值范围是 .【答案】 / 【详解】解:∵抛物线 在对称轴左侧的部分是下降的, ∴抛物线开口向上, ∴ , 15.二次函数 的开口方向是 . 【答案】向上 【详解】解:∵ , ∴图象开口方向是向上, 16.已知二次函数 ,当 时,y随x的增大而减小,则实数a的取值范围是 . 【答案】 【详解】解:由当 时,y随x的增大而减小,可知: , ∴ ; 17.(2023春·吉林长春·九年级校考阶段练习)如图,正方形 的顶点B在抛物线 的第一象限 的图象上,若点B的纵坐标是横坐标的2倍,则对角线 的长为 . 【答案】 【详解】解:如图,连接 , ,四边形 是正方形, , 设B点的横坐标为a,则B点的纵坐标为 , 将 代入抛物线, 得: , 解得: (不符合题意,舍去), , , . 18.(2023秋·江西宜春·九年级统考期末)如图,在平面直角坐标系中,平行于x轴的直线 ,与二次 函数 和 分别交于A、B和C、D四个点,若 ,则a的值是 . 【答案】 【详解】解:把 代入 中得, , ∴∴A的横坐标为 ,B横坐标为 ∴ 把 代入 得, , ∴ ∴C的横坐标为 ,D横坐标为 ∴ ∵ , ∴ ∴ 19.(2023·辽宁鞍山·校考三模)如图,O为坐标原点,点 在y轴的正半轴上,点 在函数 位于第一象限的图象上,若 , , ,…, 都是等边三角形,则线段 的长是 .【答案】 【详解】解:分别过 , , 作 轴的垂线,垂足分别为 、 、 , 设 , , ,由勾股定理则 , 同理 , , ∴ , , , 把 ,代入 中,得 ,解得 ,即 , 把 ,代入 中,得 ,解得 ,即 , 把 ,代入 中,得 ,解得 ,即 , …, 依此类推由此可得 , ∴ , ∴ .三、解答题 20.(2022春·九年级单元测试)若函数 的图象是一条抛物线.当 满足什么条件时,抛物 线有最低点?求出这个最低点,并说明这时抛物线的开口方向、增减性. 【答案】见解析 【详解】解:∵函数 的图象是一条抛物线. ∴ , 解得: 或 , 当 时,抛物线有最低点,所以 , ∴抛物线解析式为 , ∴抛物线的最低点是原点,开口向上,在 轴的左侧, 随 的增大而减小,在 轴的右侧, 随 的增大 而增大. 21.抛物线 上一点到x轴的距离为8,求该点的坐标. 【答案】 或 【详解】∵抛物线 上一点 到 轴的距离为8,则 点纵坐标为 , 把 代入 得 、 . 22.(2021春·八年级课时练习)函数 为二次函数, (1)若其函数图象开口向上,求函数的解析式; (2)若当 时,y随x的增大而减小,求函数的解析式. 【答案】(1) ;(2) 【详解】解:∵函数 为二次函数, ∴m2﹣3m﹣2=2,m-2不为0,整理得,m2﹣3m﹣4=0, 解得,m=4,m=﹣1. 1 2 (1)∵其函数图象开口向上, ∴m﹣2>0, 解得m>2, ∴m=4. ∴函数关系式为y=2x2; (2)∵当x≥0时,y随x的增大而减小, ∴m﹣2<0, ∴m<2, ∴m=﹣1, ∴函数关系式为y=﹣3x2. 23.(2022春·河南南阳·八年级统考期中)我们已经熟悉,y=x是正比例函数,y= (y=x-1)是反比例 函数从形式上看它们只是指数不同如果一个函数,底数是自变量xy指数是常量a.即y=xn,这样的函数称 为幂函数如y=x,y=x-1,y=x2,y=x5,y=x-4等都是幂函数. 在研究一次函数时,我们研究的方法是“从特殊到一般”,借助图象了解其性质对幂函数的研究,我们也 可从“特殊”入手先在下面的坐标系中画出函数y=﹣x2的图象,再观察图象至少写出它的一条性质. 【详解】解:当x=-2时,y=-4;当x=-1时,y=-1; 当x=0时,y=0;当x=1时,y=-1;当x=2时,y=-4, ∴函数图象经过点(-2,-4),(-1,-1),(0,0),(1,-1),(2,-4),然后描点,连线,作出函数图象如下, 由图象得,①函数y=-x2的图象开口向下, ②函数的顶点坐标为(0,0), ③当x<0时,y随x的增大而增大,当x>0时,y随x的增大而减小, ④函数的最大值为0. 24.(2022春·江苏·九年级专题练习)在同一平面直角坐标系中,画出 和 的图象. 【详解】解:列表如下: x 0 1 2 12 0 3 12 0 描点:如图所示,以表中各组对应值为点的坐标,在平面直角坐标系内描出相应的点. 连线:用光滑的曲线顺次连接各点,则 和 的图象如图所示.25.(2022秋·黑龙江大庆·九年级统考阶段练习)抛物线 经过点 ,不求a的大小能否判断抛 物线是否经过 和 两点? 【答案】抛物线经过 ,不经过 【详解】解:∵抛物线 的对称轴为y轴,点 关于y轴对称, ∴抛物线经过 ; ∵点 在第二象限, ∴抛物线开口向上, 抛物线图象在第一、二象限, 故不可能经过 . 26.(2021春·江苏·九年级专题练习)如图,点 是 轴负半轴上的一点,经过点 作直线,与抛物线 交于 、 两点(点 在点 的左侧),连接 、 ,设点 的横坐标为 . (1)若点 的坐标为 ,求点 的坐标; (2)若 , ,求 的值,并证明: ; (3)若 ,问“ ”这一结论还成立吗?试说明理由. 【答案】(1) ;(2) ,证明见解析;(3) 成立,理由见解析. 【详解】解:(1)当A(-4,-2)时,A在 上, ∴ ,即a=- ∴ ; (2)设 、 ∴A(-1,a),C(0, a), 设AC的解析式为y=kx+b 则 ,解得 ∴AC的解析式为 ∵AC:BC=1:2∴ ∴ ∴B(-2m,4am2),A(2,4a) ∵AC:BC=1:2 ∴AC2:BC2=1:4,即BC2=4 AC2 ∴ ,解得a= ∴A(-1, ),B(2, ) ∴AO2= , BO2= , AB2= ∴AO2+BO2=AB2 ∴∠AOB=90°; (3) 成立,理由如下: ∵ ,则 A(m,am2),B(-km, ak2m2), ∴ ∴ ,解得 ,即a= (a<0) ∴A(m, ),B(-km, ) ∴AO2= ,BO2= , AB2= ∴AO2+BO2=AB2 ∴∠AOB=90°;