当前位置:首页>文档>专题09圆中的最值模型之瓜豆原理(曲线轨迹)解读与提分精练(苏科版)(教师版)_初中数学_九年级数学下册(人教版)_常见几何模型全归纳-V13_2025版

专题09圆中的最值模型之瓜豆原理(曲线轨迹)解读与提分精练(苏科版)(教师版)_初中数学_九年级数学下册(人教版)_常见几何模型全归纳-V13_2025版

  • 2026-03-31 22:34:25 2026-03-21 06:26:22

文档预览

专题09圆中的最值模型之瓜豆原理(曲线轨迹)解读与提分精练(苏科版)(教师版)_初中数学_九年级数学下册(人教版)_常见几何模型全归纳-V13_2025版
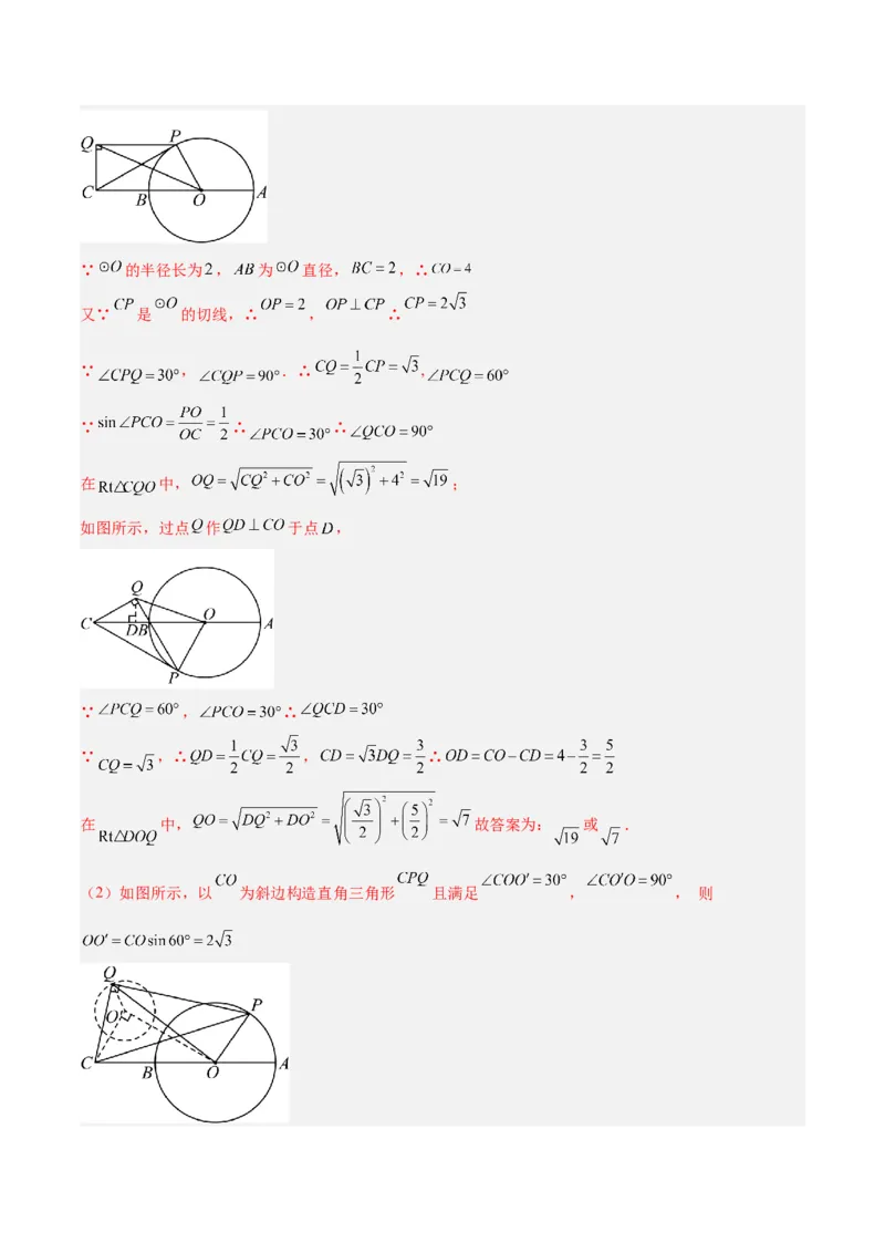
专题09圆中的最值模型之瓜豆原理(曲线轨迹)解读与提分精练(苏科版)(教师版)_初中数学_九年级数学下册(人教版)_常见几何模型全归纳-V13_2025版
专题09圆中的最值模型之瓜豆原理(曲线轨迹)解读与提分精练(苏科版)(教师版)_初中数学_九年级数学下册(人教版)_常见几何模型全归纳-V13_2025版
专题09圆中的最值模型之瓜豆原理(曲线轨迹)解读与提分精练(苏科版)(教师版)_初中数学_九年级数学下册(人教版)_常见几何模型全归纳-V13_2025版
专题09圆中的最值模型之瓜豆原理(曲线轨迹)解读与提分精练(苏科版)(教师版)_初中数学_九年级数学下册(人教版)_常见几何模型全归纳-V13_2025版
专题09圆中的最值模型之瓜豆原理(曲线轨迹)解读与提分精练(苏科版)(教师版)_初中数学_九年级数学下册(人教版)_常见几何模型全归纳-V13_2025版
专题09圆中的最值模型之瓜豆原理(曲线轨迹)解读与提分精练(苏科版)(教师版)_初中数学_九年级数学下册(人教版)_常见几何模型全归纳-V13_2025版
专题09圆中的最值模型之瓜豆原理(曲线轨迹)解读与提分精练(苏科版)(教师版)_初中数学_九年级数学下册(人教版)_常见几何模型全归纳-V13_2025版
专题09圆中的最值模型之瓜豆原理(曲线轨迹)解读与提分精练(苏科版)(教师版)_初中数学_九年级数学下册(人教版)_常见几何模型全归纳-V13_2025版
专题09圆中的最值模型之瓜豆原理(曲线轨迹)解读与提分精练(苏科版)(教师版)_初中数学_九年级数学下册(人教版)_常见几何模型全归纳-V13_2025版
专题09圆中的最值模型之瓜豆原理(曲线轨迹)解读与提分精练(苏科版)(教师版)_初中数学_九年级数学下册(人教版)_常见几何模型全归纳-V13_2025版
专题09圆中的最值模型之瓜豆原理(曲线轨迹)解读与提分精练(苏科版)(教师版)_初中数学_九年级数学下册(人教版)_常见几何模型全归纳-V13_2025版
专题09圆中的最值模型之瓜豆原理(曲线轨迹)解读与提分精练(苏科版)(教师版)_初中数学_九年级数学下册(人教版)_常见几何模型全归纳-V13_2025版
专题09圆中的最值模型之瓜豆原理(曲线轨迹)解读与提分精练(苏科版)(教师版)_初中数学_九年级数学下册(人教版)_常见几何模型全归纳-V13_2025版
专题09圆中的最值模型之瓜豆原理(曲线轨迹)解读与提分精练(苏科版)(教师版)_初中数学_九年级数学下册(人教版)_常见几何模型全归纳-V13_2025版
专题09圆中的最值模型之瓜豆原理(曲线轨迹)解读与提分精练(苏科版)(教师版)_初中数学_九年级数学下册(人教版)_常见几何模型全归纳-V13_2025版
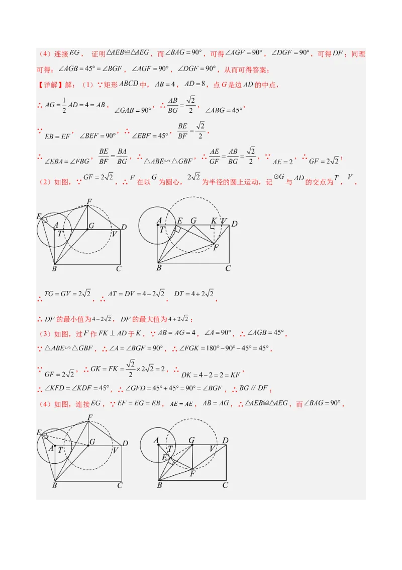
专题09圆中的最值模型之瓜豆原理(曲线轨迹)解读与提分精练(苏科版)(教师版)_初中数学_九年级数学下册(人教版)_常见几何模型全归纳-V13_2025版
专题09圆中的最值模型之瓜豆原理(曲线轨迹)解读与提分精练(苏科版)(教师版)_初中数学_九年级数学下册(人教版)_常见几何模型全归纳-V13_2025版
专题09圆中的最值模型之瓜豆原理(曲线轨迹)解读与提分精练(苏科版)(教师版)_初中数学_九年级数学下册(人教版)_常见几何模型全归纳-V13_2025版
专题09圆中的最值模型之瓜豆原理(曲线轨迹)解读与提分精练(苏科版)(教师版)_初中数学_九年级数学下册(人教版)_常见几何模型全归纳-V13_2025版
专题09圆中的最值模型之瓜豆原理(曲线轨迹)解读与提分精练(苏科版)(教师版)_初中数学_九年级数学下册(人教版)_常见几何模型全归纳-V13_2025版
专题09圆中的最值模型之瓜豆原理(曲线轨迹)解读与提分精练(苏科版)(教师版)_初中数学_九年级数学下册(人教版)_常见几何模型全归纳-V13_2025版
专题09圆中的最值模型之瓜豆原理(曲线轨迹)解读与提分精练(苏科版)(教师版)_初中数学_九年级数学下册(人教版)_常见几何模型全归纳-V13_2025版
专题09圆中的最值模型之瓜豆原理(曲线轨迹)解读与提分精练(苏科版)(教师版)_初中数学_九年级数学下册(人教版)_常见几何模型全归纳-V13_2025版
专题09圆中的最值模型之瓜豆原理(曲线轨迹)解读与提分精练(苏科版)(教师版)_初中数学_九年级数学下册(人教版)_常见几何模型全归纳-V13_2025版
专题09圆中的最值模型之瓜豆原理(曲线轨迹)解读与提分精练(苏科版)(教师版)_初中数学_九年级数学下册(人教版)_常见几何模型全归纳-V13_2025版
专题09圆中的最值模型之瓜豆原理(曲线轨迹)解读与提分精练(苏科版)(教师版)_初中数学_九年级数学下册(人教版)_常见几何模型全归纳-V13_2025版
专题09圆中的最值模型之瓜豆原理(曲线轨迹)解读与提分精练(苏科版)(教师版)_初中数学_九年级数学下册(人教版)_常见几何模型全归纳-V13_2025版
专题09圆中的最值模型之瓜豆原理(曲线轨迹)解读与提分精练(苏科版)(教师版)_初中数学_九年级数学下册(人教版)_常见几何模型全归纳-V13_2025版
专题09圆中的最值模型之瓜豆原理(曲线轨迹)解读与提分精练(苏科版)(教师版)_初中数学_九年级数学下册(人教版)_常见几何模型全归纳-V13_2025版
专题09圆中的最值模型之瓜豆原理(曲线轨迹)解读与提分精练(苏科版)(教师版)_初中数学_九年级数学下册(人教版)_常见几何模型全归纳-V13_2025版
专题09圆中的最值模型之瓜豆原理(曲线轨迹)解读与提分精练(苏科版)(教师版)_初中数学_九年级数学下册(人教版)_常见几何模型全归纳-V13_2025版
专题09圆中的最值模型之瓜豆原理(曲线轨迹)解读与提分精练(苏科版)(教师版)_初中数学_九年级数学下册(人教版)_常见几何模型全归纳-V13_2025版
专题09圆中的最值模型之瓜豆原理(曲线轨迹)解读与提分精练(苏科版)(教师版)_初中数学_九年级数学下册(人教版)_常见几何模型全归纳-V13_2025版
专题09圆中的最值模型之瓜豆原理(曲线轨迹)解读与提分精练(苏科版)(教师版)_初中数学_九年级数学下册(人教版)_常见几何模型全归纳-V13_2025版
专题09圆中的最值模型之瓜豆原理(曲线轨迹)解读与提分精练(苏科版)(教师版)_初中数学_九年级数学下册(人教版)_常见几何模型全归纳-V13_2025版
专题09圆中的最值模型之瓜豆原理(曲线轨迹)解读与提分精练(苏科版)(教师版)_初中数学_九年级数学下册(人教版)_常见几何模型全归纳-V13_2025版
专题09圆中的最值模型之瓜豆原理(曲线轨迹)解读与提分精练(苏科版)(教师版)_初中数学_九年级数学下册(人教版)_常见几何模型全归纳-V13_2025版
专题09圆中的最值模型之瓜豆原理(曲线轨迹)解读与提分精练(苏科版)(教师版)_初中数学_九年级数学下册(人教版)_常见几何模型全归纳-V13_2025版
专题09圆中的最值模型之瓜豆原理(曲线轨迹)解读与提分精练(苏科版)(教师版)_初中数学_九年级数学下册(人教版)_常见几何模型全归纳-V13_2025版
专题09圆中的最值模型之瓜豆原理(曲线轨迹)解读与提分精练(苏科版)(教师版)_初中数学_九年级数学下册(人教版)_常见几何模型全归纳-V13_2025版

文档信息

文档格式
docx
文档大小
4.526 MB
文档页数
41 页
上传时间
2026-03-21 06:26:22

文档内容

专题 09 圆中的最值模型之瓜豆原理(曲线轨迹) 动点轨迹问题是中考和各类模拟考试的重要题型,学生受解析几何知识的局限和思维能力的束缚,该 压轴点往往成为学生在中考中的一个坎,致使该压轴点成为学生在中考中失分的集中点。掌握该压轴题型 的基本图形,构建问题解决的一般思路,是中考专题复习的一个重要途径。本专题就最值模型中的瓜豆原 理(动点轨迹为圆弧型)进行梳理及对应试题分析,方便掌握。 ....................................................................................................................................................1 模型1.瓜豆模型(圆弧轨迹类)...................................................................................................................1 ..................................................................................................................................................47 模型1.瓜豆模型(圆弧轨迹类) “主从联动”模型也叫“瓜豆”模型,出自成语“种瓜得瓜,种豆得豆”。这类动点问题中,一个动 点随另一个动点的运动而运动,我们把它们分别叫作从动点和主动点,从动点和主动点的轨迹是一致的, 即所谓“种”线得线,“种”圆得圆(而当主动点轨迹是其他图形时,从动点轨迹必然也是)。解决这一 类问题通常用到旋转、全等和相似。 模型1、运动轨迹为圆弧 模型1-1. 如图,P是圆O上一个动点,A为定点,连接AP,Q为AP中点.Q点轨迹是? 分析:如图,连接AO,取AO中点M,任意时刻,均有△AMQ ∽△AOP,QM:PO=AQ:AP=1:2。 则动点Q是以M为圆心,MQ为半径的圆。模型1-2. 如图,P是圆O上一个动点,A为定点,连接AP,作AQ⊥AP且AQ=AP,当点P在圆O上运动 时,Q点轨迹是? 分析:如图,连结AO,作AM⊥AO,AO=AM;任意时刻均有△APO≌△AQM,且MQ=PO。 则动点Q是以M为圆心,MQ为半径的圆。 Q M Q P A P O A O 模型1-3. 如图,△APQ是直角三角形,∠PAQ=90°且AP=k AQ,当P在圆O运动时,Q点轨迹是? 分析:如图,连结AO,作AM⊥AO,AO:AM=k:1;任意时刻均有△APO∽△AQM,且相似比为k。 则动点Q是以M为圆心,MQ为半径的圆。 模型1-4.为了便于区分动点P、Q,可称P为“主动点”,Q为“从动点”。 此类问题的两个必要条件:①主动点、从动点与定点连线的夹角是定量(∠PAQ是定值);②主动点、从 动点到定点的距离之比是定量(AP:AQ是定值)。Q Q M P α α P A O A α O 分析:如图,连结AO,作∠OAM=∠PAQ,AO:AM=AP:AQ;任意时刻均有△APO∽△AQM。 则动点Q是以M为圆心,MQ为半径的圆。 特别注意:很多题目中主动点的运动轨迹并未直接给出,这就需要我们掌握一些常见隐圆的轨迹求法。 (1)定义型:若动点到平面内某定点的距离始终为定值,则其轨迹是圆或圆弧。(常见于动态翻折中) 如图,若P为动点,但AB=AC=AP,则B、C、P三点共圆,则动点P是以A圆心,AB半径的圆或圆弧。 P P P P P P A B O A B (2) 定边对定角(或直角)模型 1)一条定边所对的角始终为直角,则直角顶点轨迹是以定边为直径的圆或圆弧. 如图,若P为动点,AB为定值,∠APB=90°,则动点P是以AB为直径的圆或圆弧。 2)一条定边所对的角始终为定角,则定角顶点轨迹是圆弧. 如图,若P为动点,AB为定值,∠APB为定值,则动点P的轨迹为圆弧。 例1.(2024·山东临沂·校考一模)如图,△ABC中,AB=AC,BC=24,AD⊥BC于点D,AD=5,P是半径 为 的 上一动点,连结PC,若E是PC的中点,连结DE,则DE长的最大值为( )A.8 B. C.9 D. 【答案】A 【分析】连接BP,根据三角形中位线定理可得 ,从而得到当BP最大时,DE最大,再由当PB 过圆心A时,PB最大,即可求解. 【详解】解:如图,连接BP,∵AB=AC,BC=24,AD⊥BC于点D,∴BD=CD=12, ∵E是PC的中点,∴ ,∴当BP最大时,DE最大, ∵P是半径为 的 上一动点,∴当PB过圆心A时,PB最大,此时P、A、B三点共线, ∵AD=5,BD=12,∴AB=13,∴PB的最大值为13+3=16,∴DE的最大值为8.故选:A 【点睛】本题考查的是圆的基本性质,等腰三角形的性质,勾股定理以及三角形中位线定理,明确当PB 取最大值时,DE的长最大是解题的关键. 例2.(2023·江苏盐城·九年级统考期中)如图, 为 的直径,C为 上一点,其中 , ,D为 上的动点,连接 ,取 中点M,连接 ,则线段 的最大值为 .【答案】 【分析】连接 ,首先证明点 的运动轨迹为以 为直径的 ,连接 ,当点 在 的延长线 上时, 的值最大,利用勾股定理求出 即可解决问题. 【详解】解:如图,连接 , ∵点 是 的中点, ,∴ ,∴ , ∴点 的运动轨迹为以 为直径的 ,连接 ,当点 在 的延长线上时, 的值最大, 在 中,∵ , ,∴ , ∴ ,∴ 的最大值为 ,故答案为: . 【点睛】本题考查圆周角定理、垂径定理、勾股定理、点与圆的位置关系等知识,解题的关键是正确寻找 点 的运动轨迹,学会构造辅助圆解决问题,属于中考填空题中的压轴题. 例3.(23-24九年级上·江苏无锡·期中)如图, 是 上任意一点,点 在 外,已知 , 是等边三角形,则 的面积的最大值为【答案】 【分析】本题主要考查等边三角形的性质,三角形面积的计算,找出点 的位置变换是解题的关键. 如图所示,以 为边作等边 ,连接 ,可证 ,可得 ,点 在 以点 为圆心的圆上,且半径 ,过点 作 于点 ,即 是 的垂直平分线,当点 在 上其在点 的上方时, 的面积的最大值,根据等边三角形,含 角的直角三角形的性质可求 出 , 的值,根据三角形的面积即可求解. 【详解】解:如图所示,以 为边作等边 ,连接 , ∵ 是等边三角形,∴ , ∵ 是等边三角形,∴ , ∴ ,且 , ,∴ ,∴ , ∴点 在以点 为圆心的圆上,且半径 ,过点 作 于点 ,即 是 的垂直平分线, 当点 在 上其在点 的上方时, 的面积的最大值, ∴在 中, , , ,∴ ,∴ ,且 ,∴ , ∴ ,故答案为: . 例4.(23-24九年级上·江苏南京·阶段练习)如图,平面直角坐标系 中,点A的坐标是 ,点B 是 上一点, 的半径为2,将 绕O点顺时针方向旋转 得 ,连接 ,则线段 的最小值 为( ) A. B. C.5 D.6 【答案】A 【分析】把 绕O点顺时针方向旋转 得 ,过点 作 轴于点 ,过点 作 轴于点 , 以点 为圆心作 ,使 的半径为2, 点B是 上一点,则点 是 上一点,当点 三点 共线,即点 在 上时, 最小. 【详解】解:如图,把 绕O点顺时针方向旋转 得 ,过点 作 轴于点 ,过点 作 轴于点 ,以点 为圆心作 ,使 的半径为2, , , , , , , 过 作 于点 , ,在 中, , 点B是 上一点,则点 是 上一点, , 当点 三点共线,即点 在 上时, 最小, ,故线段 的最小值为 .故选:A. 【点睛】本题考查了圆的基本概念,动点问题,勾股定理,全等三角形的判定和性质,本题的关键是作出 正确的辅助线,运用数形结合的思想方法. 例5.(2024·江苏无锡·一模)如图,矩形 中, ,以 为圆心,3为半径作 , 为 上一动点,连接 ,以 为直角边作 ,使 , ,则点 与点 的 最小距离为( ) A. B. C. D. 【答案】A 【分析】如图,取 的中点 ,连接 , , ,DE由 ,推出 ,因为 ,可得 ,推出点 的运动轨迹是以 为圆心1为半径的圆,再 利用两点之间线段最短即可解决问题. 【详解】如图,取 的中点 ,连接 , , ,DE. ∵ , ,∴ ,∵ , ,∴ ,∵ ,∴ ,∴ ,∵四边形 是矩形,∴ ,∴ ,∴ ,∴ , ∵ ,∴ ,∴点 的运动轨迹是以 为圆心1为半径的圆, ∵ ,∴ ,∴ ,∴ 的最小值为 .故选:A. 【点睛】本题是一个动点问题,考查了矩形、圆、三角形相似的判定和性质、两点间线段最短等知识,本 题的难点是点G的运动轨迹的探索,关键是构造两个相似的三角形. 例6.(23-24九年级上·江苏无锡·阶段练习)如图,线段 为 的直径,点 在 的延长线上, , ,点 是 上一动点,连接 ,以 为斜边在 的上方作 ,且使 ,连接 ,则 长的最大值为( ) A. B. C. D. 【答案】C 【分析】本题考查了相似三角形的判定和性质、两圆的位置关系;作 ,使得 , ,则 , , ,由 ,推出 ,即 (定长),由点 是定点, 是定长,点 在半径为1的 上,由此即可解决问题. 【详解】解:如图,作 ,使得 , ,则 , , ,, , , , , ,即 (定长), 点 是定点, 是定长, 点 在半径为1的 上, , 的最大值为 ,故选:C. 例7.(23-24九年级上·安徽合肥·期末)如图,在 中, , , ,平面上 有一点P, ,连接 , ,取 的中点G.连接 ,在 绕点A的旋转过程中,则 的最大 值是( ) A.3 B.4 C. D.5 【答案】A 【分析】本题考查的是三角形的中位线的性质,直角三角形斜边上的中线的性质,勾股定理的应用,圆的 确定,作出合适的辅助线是解本题的关键;如图,取 的中点 ,连接 , ,证明 在以 为圆心, 为半径的圆上,即可得到答案. 【详解】解:如图,取 的中点 ,连接 , , ∵ 为 的中点, ,∴ ,∴ 在以 为圆心, 为半径的圆上, 当C,Q,G三点共线时, 最大, , ∵ , , ,∴ ,∴ ,∴ ,即 的最大值为 .故选A 例8.(23-24九年级上·江苏常州·期中)在平面直角坐标系 中,已知点 ,N是线段 上一点. 对于平面内一点P给出如下定义:将点P向右( )或向左( )平移 个单位长度,再向上( )或向下( )平移 个单位长度,得到点 ,点 关于点N的对称点为Q,我们称点 是点P 的“平移点”,点Q为点P的“移对点”.在平面直角坐标系 中,已知 的半径为2. (1)若点 ,点N是 的中点,点 ,则点P的“平移点” 的坐标是_____,点P的“移对 点”Q的坐标是______;(2)如图,点 ,点N是OM的中点,点 .在图中用直尺与圆规作出 点P的“移对点”点Q,并求点Q的坐标(不写作法,保留作图痕迹); (3)若点 是 上一点,N是线段OM上一点,且 ,P是 外一点,点Q为点P的“移对 点”,连接PQ.当点M在 上运动时,直接写出 长的最大值与最小值的差. 【答案】(1) , (2)作图见解析, (3)PQ长的最大值与最小值的差是 【分析】(1)根据题中所给的“平移点”和 “移对点”的定义即可解答;(2)先画出点 ,以点N为圆心, 长为半径画弧,交于x轴交于点Q,点Q即为所求,先求出点 的坐标,根据中心对称的定义 即可求出点Q的坐标;(3)连接并延长 ,过点Q作 的平行线,交 的延长线于点A 和点B,先根据中位线定理得出 ,再根据平行四边形的性质得出 ,最后 根据三角形三边之间的关系,即可得将最大值和最小值表示出来. 【详解】(1)解:∵ , ,∴点P的“平移点” 的坐标是 ,即: , ∵点N是 的中点,∴ ,点 关于点N的对称点坐标为: , ∴P的“移对点”Q的坐标是: 故答案为: , . (2)作图如下. 连接PQ.∵ , ,∴点P的“平移点” 的坐标是 ,即: ,∴ , 过点N作 于H,则四边形 是矩形.∴ , , ∵ , ,∴ 且 .∴ . ∴点Q在x轴上且 .∴ .∴ . (3)∵ 的半径为2,∴ ,∵ ,∴ , ∵点 ,设点P的坐标为 ,∴∴ , , ∴ ,同理可得: ,∴四边形 为平行四边形, 连接并延长 ,过点Q作 的平行线,交 的延长线于点A和点B, ∵ , ,∴ ,∵ , , ∴四边形 为平行四边形,∴ ,∴ , ∵ ,∴ 长的最大值与最小值的差为: . 【点睛】本题主要考查了圆的综合问题,解题的关键是正确理解题意,明白“平移点”和“移对点”的定 义,根据题意做出辅助线,熟练掌握三角形的中位线定理,平行四边形的性质,中心对称的性质. 1.(2024·江苏扬州·九年级校考阶段练习)如图,A是 上任意一点,点C在 外,已知 是等边三角形,则 的面积的最大值为( )A. B.4 C. D.6 【答案】A 【分析】以 为边向上作等边三角形 ,连接 ,证明 得到 ,分析 出点D的运动轨迹是以点M为圆心, 长为半径的圆,在求出点D到线段 的最大距离,即可求出面 积的最大值. 【详解】解:如图,以 为边向上作等边三角形 ,连接 , ∵ ,∴ ,即 , 在 和 中, ,∴ ,∴ , ∴点D的运动轨迹是以点M为圆心, 长为半径的圆,要使 的面积最大,则求出点D到线段 的最大距离,∵ 是边长为4的等边三角形,∴点M到 的距离为 , ∴点D到 的最大距离为 ,∴ 的面积最大值是 ,故选A. 【点睛】本题考查了动点轨迹是圆的问题,解决本题的关键是利用构造全等三角形找到动点D的轨迹圆, 再求出圆上一点到定线段距离的最大值. 2.(24-25九年级上·江苏宿迁·阶段练习)如图,正方形 中, ,E是 的中点.以点C为圆 心, 长为半径画圆,点P是 上一动点,点F是边 上一动点,连接 ,若点Q是 的中点,连 接 , ,则 的最小值为( )A. B. C. D. 【答案】B 【分析】本题考查了轴对称—最小距离和问题,正方形的性质,勾股定理,取点 关于直线 的对称点 ,连接 、 两线交于点 ,连接 , , ,过 作 于 ,根据勾股定理求出 , 再结合四点共线时最小即可得解,熟练掌握以上知识点并灵活运用是解此题的关键. 【详解】解:如图,取点 关于直线 的对称点 ,连接 、 两线交于点 ,连接 , , ,过 作 于 , ∵点 是 的中点, ∴ , ∴点 在以 为圆心,半径为 的圆上运动, ∵四边形 为正方形, ∴ , , ∴ , ∵ , ∴ , ∴ , ∵ , ∴ 当 、 、 、 四点共线时, 的值最小, 的最小值为 ,∴ 的最小值为 , 故选:B. 3.(2024·江苏无锡·一模)在平面直角坐标系中, 为原点, , 的半径为1, 是 上一 动点,以 为边作等边 ,且点 在第一象限,设 的坐标为 ,则 的最小值为( ) A. B. C. D. 【答案】A 【分析】本题考查了圆的切线的性质和判定、等边三角形的性质、三角函数,作 轴于 ,得出 ,根据 得出 与 轴相切,设切点为 ,当点 与点 重合时, 的值最小,结合等边三角形的性质即可得出答案. 【详解】解:如图,作 轴于 , , 的坐标为 ,且点 在第一象限, , , 的半径为1, 与 轴相切,设切点为 , 当点 与点 重合时, 的值最小, 是等边三角形, , , 的坐标为 ,, 故选:A. 4.(23-24九年级上·江苏无锡·期中)如图, ,以点B为圆心,作半径为2的圆,点C在 上, 连接 作等腰直角三角形,使 , ,则 的面积的最大值为( ) A. B. C.4 D.8 【答案】B 【分析】如图,以 为边向下作等腰直角三角形 ,且 ,连接 ,证明 , 可得 ,可得 在以 为圆心, 为半径的圆上运动,结合 的面积最大,可得 到 的距离最大,从而可得答案. 【详解】解:如图,以 为边向下作等腰直角三角形 ,且 , ,连接 , ∴ , ,同理: , ,∴ , , ∴ ,∴ ,而 ,∴ , ∴ 在以 为圆心, 为半径的圆上运动, ∵ 的面积最大,∴ 到 的距离最大,∴当 即 , , 共线时最大, 最大值为: ,∴ 的面积最大面积为 .故选:B. 【点睛】本题考查的是等腰直角三角形的性质,相似三角形的判定与性质,勾股定理的应用,圆的确定, 熟练的构建相似三角形得到D的运动轨迹是解本题的关键. 5.(2024·广东广州·二模)如图,已知 的半径长为 , 为 直径,点 是 一动点, , 连结 ,以 为斜边,在 上方构造直角三角形 且满足 , . (1)若 是 的切线,求 . (2)求 的最大值为 . 【答案】 或 / 【分析】本题考查了切线的性质,解直角三角形,相似三角形的性质与判定; (1)分情况讨论,分别画出图形,解直角三角形,即可求解; (2)以 为斜边构造直角三角形 且满足 , ,证明 ,得出 进而得出 ,进而根据点到圆上的距离最值问题,即可求解. 【详解】解:如图所示,∵ 的半径长为 , 为 直径, ,∴ 又∵ 是 的切线,∴ , ∴ ∵ , .∴ , ∵ ∴ ∴ 在 中, ; 如图所示,过点 作 于点 , ∵ , ∴ ∵ ,∴ , ∴ 在 中, 故答案为: 或 . (2)如图所示,以 为斜边构造直角三角形 且满足 , , 则∵ , ∴ ,∴ 即 又∵ ∴ ∴ ∴ ∴ ,∴点 在以 为圆心, 为半径的圆上运动, ∴ 的最大值为 故答案为: . 6.(23-24九年级上·北京西城·期中)如图,AB是 的直径, 交 于点C,P为圆上一动点, M为 的中点,连接 ,若 的半径为6,则 长的最大值是 . 【答案】 【分析】本题考查了直径所对的圆周角是 及三角形的中位线的性质;连接 , ,取 中点 , 连接 、 , 是⊙ 的直径,可推出 ,根据中位线的性质可知 ,则 在以 为直径的圆上,当 与 点重合时, 最大,根据 求 出 长代入即可. 【详解】解:连接 , , ∵ 是⊙ 的直径, ∴ , ∵ 为 的中点, 为 的中点,则 , ∴ ∴ ,取 中点 ,连接 , ∴ 在以 为直径的圆上, ∴当 过 点重合时, 最大, ∴ , ∵ , ∴ , ∴ , 故答案为 . 7.(24-25九年级上·江苏扬州·期中)如图,矩形 中, , ,点 在边 上且 , 点 是矩形内一动点,满足 ,连接 ,将 绕点 逆时针旋转 并延长至 ,使 ,连接 ,则 的最小值为 . 【答案】 【分析】取 中点O,在矩形内部过点O作 ,且 ,连接 , , 则 ,则 ,故点P在以O为圆心,3为半径的圆弧上运动,可证明 , 再证明 ,则 ,而在 中,由勾股定理得 ,因此 ,所以 ,那么点F在以K为圆心, 为半径的圆弧上,由 ,得到当点 位于 延长 线上时, 最小,延长 交 于点 ,可得四边形 为矩形,则 ,,在 中,由勾股定理得 ,故 最小值为 . 【详解】解:取 中点O,在矩形内部过点O作 ,且 ,连接 , ,如图: ∵四边形 是矩形, , ∴ ∵ , ∴ , ∴ , ∴ , ∴点P在以O为圆心,3为半径的圆弧上运动, 由旋转得, , ∵ ,且 , ∴ , ∴ , ∴ , ∴ , ∴ , ∴ ,∵ , ∴ , ∴ , 在 中,由勾股定理得 , ∴ , ∴ , ∴点F在以K为圆心, 为半径的圆弧上, ∵ , ∴ , ∴当点 位于 延长线上时, 最小,延长 交 于点 ,如图: ∵四边形 是矩形, ∴ , ∵ , ∴四边形 为矩形, ∴ , ∴ , ∴在 中,由勾股定理得 , ∴ 最小值为 ,故答案为: . 【点睛】本题考查了矩形的判定与性质,相似三角形的判定与性质,勾股定理,圆的定义,直角三角形的 性质,三角形的三边关系等知识点,难度较大,需要确定动点的轨迹是解题的关键. 8.(2023九年级上·江苏·专题练习)如图,点A、B的坐标分别为 ,点C为坐标平面内一 点, ,点M为线段 的中点,连接 ,则 的最大值为 . 【答案】 / 【分析】先判断出点C的运动轨迹是在半径为2的 上,在y轴负半轴取点D,使 ,连接 , 则 是 的中位线,进而可得当 最大时,即 最大,而D,B,C三点共线时,当C在 的延 长线上时, 最大,此时 取得最大值,计算即可求出结果. 【详解】解:如图,∵点C为坐标平面内一点, , ∴C在 上,且半径为2, 在y轴负半轴取点D,使 ,连接 , ∵ , ∴ 是 的中位线,∴ , 当 最大时,即 最大, 而D,B,C三点共线时,当C在 的延长线上时, 最大,此时 取得最大值, ∵ , ∴ , ∴ , ∴ ,即 的最大值为 , 故答案为: . 【点睛】本题考查了坐标和图形以及三角形的中位线,定点定长构造辅助圆,解题关键是确定点C的运动 轨迹. 9.(23-24九年级上·河南信阳·阶段练习)如图,在等边 和等边 中, , ,以 为邻边作平行四边形 ,连接 .若将 绕点C旋转一周,则线段 的最小值是 . 【答案】 / 【分析】过点F作 ,过点C作 ,二线交于点G,根据平行四边形的性质,得到点F在 以G为圆心,以 长为半径的圆上,利用圆的性质,确定最小值即可. 【详解】解:如图,过点F作 ,过点C作 ,二线交于点G,∴四边形 是平行四边形, ∴ , ∴点F在以G为圆心,以 为半径的圆上, ∴当A、F、G三点共线时, 最小, ∵四边形 是平行四边形,四边形 是平行四边形, ∴ , ∴四边形 是平行四边形, ∵ ∴四边形 是菱形, ∴ 互相垂直平分, 设交点为H, ∵ 是等边三角形, ∴ , ∴ , ∴ , ∴ , ∴线段 的最小值是 , 故答案为: .【点睛】本题考查了等边三角形的性质,平行四边形的判定和性质,菱形的判定和性质,圆的性质,特殊 角的三角函数值,熟练菱形的判定和性质,圆的性质是解题的关键. 10.(2024·盐城市校考一模)如图,在直角坐标系中,点A坐标为(2,0),点B的坐标为(6,0),以B 点为圆心,2长为半径的圆交x轴于C、D两点,若P是⊙B上一动点,连接PA,以PA为一直角边作 1 Rt PAQ,使得tanAPQ ,连接DQ,则DQ的最小值为 2 △ 【答案】2 101 【详解】解:如图,取点M(2,-2),连接AM,MQ、PB, ∵∠MAB=∠QAP=90°,∴∠MAQ=∠BAP, AM AQ 1 ∵   ,∴△MAQ∽△BAP,∴MQ=1 PB=1,∴Q点在以M为圆心,以1为半径的圆上, AB AP 2 2 由图象可得:DQ的最小值为:DM-MQ,AD=OD-OA=6+2-2=6, 由勾股定理可得:DM= AD2AM2 2 10,∴DQ的最小值等于:2 10−1. 11.(23-24九年级上·广东江门·期末)如图,抛物线 与 轴交于 , 两点, 是以点 为圆心, 为半径的圆上的动点, 是线段 的中点,连接 , 则线段 的最大值是 .【答案】 【分析】本题考查了抛物线与坐标轴的交点,三角形中位线定理,勾股定理,圆的基本性质等知识;运用 三角形中位线定理是本题的关键和难点. 连接 ,根据函数解析式,求 坐标,然后求出 , 是线段 的中点, 是线段 的中点,故 是 的中位线,当 、 、 三点共线,且点 在 之间时, 最大,即可求解. 【详解】解:连接 , , ∵抛物线 与 轴交于 、 两点,令 即 ,解得 或 , , ,∵ , , , 是线段 的中点, 是线段 的中点,故 是 的中位线, , 最大,即 最大,即 、 、 三点共线,且点 在 之间时, 最大, , ,故答案为: . 12.(23-24九年级上·河南商丘·期末)如图,点M坐标为 ,点A坐标为 ,以点M为圆心, 为 半径作 ,与x轴的另一个交点为B,点C是 上的一个动点,连接 , ,点D是 的中点, 连接 ,则线段 的最大值为 .【答案】 【分析】本题考查了三角形中位线、勾股定理、垂直定理,根据垂径定理及中点得 是 的中位线, ,当 是 的直径时,线段 取得最大值,在 中,根据勾股定理得 , 进而可得 ,进而可求解,熟练掌握相关知识点,找准线段 的最大值的位置是解题的关 键. 【详解】解: ,点 坐标为 , , 点D是 的中点, , 是 的中位线, , 当 是 的直径时,线段 取得最大值,如图: 点M坐标为 , , 在 中,根据勾股定理得: , , ,故答案为: . 13.(2023·贵州铜仁·三模)如图,在矩形 中, , ,Q是矩形 左侧一点,连接、 ,且 ,连接 ,E为 的中点,连接 ,则 的最大值为 . 【答案】6 【分析】本题考查了点到圆的最值,勾股定理,三角形中位线定理,延长 到点F,使 ,取 中点O,连接 并延长交 于点Q,取 中点G,连接 ,则 , 半径为2,利用勾 股定理求得 ,可得 的最大值,根据中位线定理可得 的最大值. 【详解】解:延长 到点F,使 ,取 中点O,连接 并延长交 于点Q,取 中点 G,连接 ,则 , 半径为2, 点E为 中点,点C为 中点, 为 中位线, , , , , 为圆上一动点, 此时 为最大值, 的最大值为 .故答案为:6. 14.(23-24九年级上·江苏无锡·期末)如图,矩形ABCD中,AB=3,BC=4,以D为圆心,2为半径的 ,E为 上一动点,连接AE,以AE为直角边向下作 ,使∠EAF=90°, ,则 点C与点F的最小距离为 .【答案】 【分析】如图,在AB上取AH=2,连结ED,FH,根据已知条件易证△AFH∽△AED,根据相似三角形的 性质求得FH=1;即可得点F在以点H为圆心,半径为1的圆上,所以当点F在线段HC上时,点F与点C 的距离最小,由此即可求得点F与点C的最小距离. 【详解】解:如图,在AB上取AH=2,连结ED,FH, ∵ , , , ∴ , ∴ , ∴ , ∴△AFH∽△AED, ∴ , ∵DE=2, ∴FH=1, ∴点F在以H为圆心,以 为半径的圆上运动, 连结HC, 当点F在HC上时FC最短,在 BCH,∠CBH=90°, 由勾股定理 , CF = . 最短距离 故答案为: . 【点睛】本题考查了最短距离问题,矩形性质,锐角三角函数,相似三角形判定与性质,圆,勾股定理, 证得点F在以点H为圆心,半径为1的圆上及当点F在线段HC上时,点F与点C的距离最小是解决问题 的关键. 15.(2024·浙江金华·二模)如图,在正方形 中, , ,以点 为直角顶点作等腰直角 三角形 ( 为顺时针排列),连接 ,则 的长为 , 的最大值为 . 【答案】 / 【分析】本题主要考查了一点到圆上一点的最值问题,相似三角形的性质与判定,勾股定理,等腰直角三 角形的性质,正方形的性质等等,正确作出辅助线构造相似三角形从而确定点 的运动轨迹是解题的关键. 如图所示,连接 ,先证明 , ,进而证明 得到 ,则点 在以点 为圆心, 为半径的圆上运动,故当 三等共线, 最大, 据此可得答案. 【详解】解:如图所示,连接 ,∵四边形 是正方形,∴ , , ∵ 是以点 为直角顶点的等腰直角三角形,∴ , , ∴ ,∴ ,∴ ,∴ ,∴ ,∴点 在以点 为圆心, 为半径的圆上运动, ∴当 三等共线时, 最大,∴ 的最大值为 ; 故答案为: , . 16.(2023上·江苏连云港·九年级校考阶段练习)已知矩形 为矩形 内一点, 且 ,若点 绕点 逆时针旋转 到点 ,则 的最小值为 . 【答案】 【分析】在矩形 外,以边 为斜边作等腰直角三角形 , ,再以点O为圆心, 为半径作 ,点P为矩形 内一点,且 ,所以点P在 的劣弧 上运动,根据 点 绕点 逆时针旋转 到点 ,所以 , ,则 ,所以当 最小时, 最小,然后连接 ,交 于P,此时, 最小,则 也最小,最后过点O作 于 E, 交 延长线于F,利用勾股定理求出 , 的长,从而求得 ,即可求解. 【详解】解:在矩形 外,以边 为斜边作等腰直角三角形 , ,再以点O为圆心, 为半径作 ,如图,∵点P为矩形 内一点,且 ,∴点P在 的劣弧 上运动, ∵点 绕点 逆时针旋转 到点 ,∴ , , ∴ ∴当 最小时, ,连接 ,交 于P,此时, 最小,则 也最小, 在 中,∵ , ,∴ ,∴ , 过点O作 于E, 交 延长线于F,∴ , ∵ , ,∴ ∵矩形 ∴ ∴ ∴四边形 正方形, ∴ ,∴ , 在 中,由勾股定理,得 , ∴ ∴ ,故答案为: . 【点睛】本题考查旋转的性质,等腰直角三角形的性质,圆满的性质,勾股定理,作出辅助圆,得出 取最小值的点P位置是解题的关键. 17.(2023·四川宜宾·统考中考真题)如图, 是正方形 边 的中点, 是正方形内一点,连接 ,线段 以 为中心逆时针旋转 得到线段 ,连接 .若 , ,则 的最小值 为 .【答案】 【分析】连接 ,将 以 中心,逆时针旋转 , 点的对应点为 ,由 的运动轨迹是以 为圆 心, 为半径的半圆,可得: 的运动轨迹是以 为圆心, 为半径的半圆,再根据“圆外一定点到圆上任 一点的距离,在圆心、定点、动点,三点共线时定点与动点之间的距离最短”,所以当 、 、 三点共 线时, 的值最小,可求 ,从而可求解. 【详解】解,如图,连接 ,将 以 中心,逆时针旋转 , 点的对应点为 , 的运动轨迹是以 为圆心, 为半径的半圆, 的运动轨迹是以 为圆心, 为半径的半圆, 如图,当 、 、 三点共线时, 的值最小, 四边形 是正方形, , , 是 的中点, , , 由旋转得: , , , 的值最小为 .故答案: . 【点睛】本题考查了正方形的性质,旋转的性质,勾股定理,动点产生的线段最小值问题,掌握相关的性 质,根据题意找出动点的运动轨迹是解题的关键. 18.(2024·广东汕头·九年级校考期中)如下图,在正方形 中, ,点 是以 为直径的圆上的点,连接 ,将线段 绕点 逆时针旋转 ,得到线段 ,连接 ,则线段 的最大值与最 小值的和 . 【答案】 【分析】连接 、 ,将 绕点 逆时针旋转 ,得到线段 ,连接 ,根据旋转的性质得 出 ,进而可得点 在以 为圆心, 为半径的圆上运动,则线段 的最大值与最小值的和 为 ,进而勾股定理求得 的长,即可求解. 【详解】解:如图所示,连接 、 ,将 绕点 逆时针旋转 ,得到线段 ,连接 , ∵线段 绕点 逆时针旋转 , 绕点 逆时针旋转 , ∴ , ,∴ , ∴ , ∴ ∴ 则点 在以 为圆心, 为半径的圆上运动, ∴线段 的最大值与最小值的和为 在 中, ∴ , 如图所示,过点 作 交 的延长线于点 ,过点 作 于点 , 则四边形 是矩形,∴ , 在 与 中, ,∴ ∴ , ,在 中, ,∴线段 的最大值与最小值的和为 ,故答案为: . 【点睛】本题考查了全等三角形的性质与判定,旋转的性质,求一点到圆上的距离的最值,熟练掌握旋转 的性质是解题的关键. 19.(2022·北京·中考真题)在平面直角坐标系 中,已知点 对于点 给出如下定义:将点 向右 或向左 平移 个单位长度,再向上 或向下 平移 个单位长度,得到点 , 点 关于点 的对称点为 ,称点 为点 的“对应点”. (1)如图,点 点 在线段 的延长线上,若点 点 为点 的“对应点”. ①在图中画出点 ;②连接 交线段 于点 求证: (2) 的半径为1, 是 上一点,点 在线段 上,且 ,若 为 外一点,点 为点 的“对应点”,连接 当点 在 上运动时直接写出 长的最大值与最小值的差(用含 的式 子表示) 【答案】(1)见解析 (2) 【分析】(1)①先根据定义和 求出点 的坐标,再根据点 关于点 的对称点为 求出点Q的坐 标;②延长ON至点 ,连接AQ,利用AAS证明 ,得到 ,再计算出 OA,OM,ON,即可求出 ;(2)连接PO并延长至S,使 ,延长SQ至T,使 ,结合对称的性质得出NM为 的中位线,推出 ,得出 ,则 . (1)解:①点Q如下图所示. ∵点 ,∴点 向右平移1个单位长度,再向上平移1个单位长度,得到点 ,∴ , ∵点 关于点 的对称点为 , ,∴点 的横坐标为: ,纵坐标为: , ∴点 ,在坐标系内找出该点即可; ②证明:如图延长ON至点 ,连接AQ, ∵ ,∴ ,在 与 中, ,∴ ,∴ , ∵ , , ,∴ , , , ∴ ,∴ ,∴ ; (2)解:如图所示,连接PO并延长至S,使 ,延长SQ至T,使 , ∵ ,点 向右 或向左 平移 个单位长度,再向上 或向下 平移 个单位长 度,得到点 ,∴ , ∵点 关于点 的对称点为 ,∴ ,又∵ ,∴OM∥ST,∴NM为 的中位线,∴ , , ∵ ,∴ ,∴ , 在 中, ,结合题意, , , ∴ ,即 长的最大值与最小值的差为 . 【点睛】本题考查点的平移,对称的性质,全等三角形的判定,两点间距离,中位线的性质及线段的最值 问题,第2问难度较大,根据题意,画出点Q和点 的轨迹是解题的关键. 20.(2024·江苏泰州·一模)已知:在矩形 中, , ,点G是边 的中点,连接 . 以点A为圆心、2为半径作 ,点E是 上的一个动点,连接 、 .将线段 绕点E逆时针旋转 得到线段 ,连接 、 、 . 知识回顾(1)如图1,当点E在直线 的左侧时,试证明 ,并求出 的长; 初步探索(2)直接写出 的最小值是 ,最大值是 ; 操作并思考(3)如图2,当点E落在边 上时,试猜想 和 有怎样的位置关系,并说明理由; (4)若点E到G、F之间的距离相等,请根据图1、图3两种情况,求 的长. 【答案】(1)见解析, ;(2) ;(3) ,见解析;(4) 【分析】(1)证明 , ,可得 ,再利用相似三角形的性质可得答 案; (2)证明 在以 为圆心, 为半径的圆上运动,记 与 的交点为 , ,再进一步可得答案; (3)过 作 于 ,证明 ,由 ,可得 ,再证明 ,从而进一步可得结论;(4)连接 , 证明 ,而 ,可得 , ,可得 ;同理 可得: , , ,从而可得答案; 【详解】解:(1)∵矩形 中, , ,点G是边 的中点, ∴ , ,∴ , , ∵ , ,∴ , , ∴ , ,∴ ,∴ ,∵ ,∴ ; (2)如图,∵ ,∴ 在以 为圆心, 为半径的圆上运动,记 与 的交点为 , , ∴ ,∴ , , ∴ 的最小值为 , 的最大值为 ; (3)如图,过 作 于 ,∵ , ,∴ , ∵ ,∴ ,∴ , ∵ ,∴ ,∴ , ∴ ,∴ ,∴ ; (4)如图,连接 ,∵ , , ,∴ ,而 ,∴ ,∴ , ∵ ,∴ , ,∴ ; 如图,同理可得: ,∴ , ,∴ ; 综上:当 时, . 【点睛】本题考查的是矩形的性质,勾股定理的应用,全等三角形的判定与性质,相似三角形的判定与性 质,圆的基本性质,旋转的性质,等腰三角形的判定与性质,作出合适的辅助线是解本题的关键.