当前位置:首页>文档>第1部分专题5突破(10)深层掌握主观题“3步走”要点全国卷高考语文二轮复习提分讲义_01高考语文_6赠通用版(老高考)复习资料_二轮复习

第1部分专题5突破(10)深层掌握主观题“3步走”要点全国卷高考语文二轮复习提分讲义_01高考语文_6赠通用版(老高考)复习资料_二轮复习

  • 2026-03-25 18:41:49 2026-03-22 05:14:57

文档预览

第1部分专题5突破(10)深层掌握主观题“3步走”要点全国卷高考语文二轮复习提分讲义_01高考语文_6赠通用版(老高考)复习资料_二轮复习
第1部分专题5突破(10)深层掌握主观题“3步走”要点全国卷高考语文二轮复习提分讲义_01高考语文_6赠通用版(老高考)复习资料_二轮复习
第1部分专题5突破(10)深层掌握主观题“3步走”要点全国卷高考语文二轮复习提分讲义_01高考语文_6赠通用版(老高考)复习资料_二轮复习
第1部分专题5突破(10)深层掌握主观题“3步走”要点全国卷高考语文二轮复习提分讲义_01高考语文_6赠通用版(老高考)复习资料_二轮复习
第1部分专题5突破(10)深层掌握主观题“3步走”要点全国卷高考语文二轮复习提分讲义_01高考语文_6赠通用版(老高考)复习资料_二轮复习
第1部分专题5突破(10)深层掌握主观题“3步走”要点全国卷高考语文二轮复习提分讲义_01高考语文_6赠通用版(老高考)复习资料_二轮复习
第1部分专题5突破(10)深层掌握主观题“3步走”要点全国卷高考语文二轮复习提分讲义_01高考语文_6赠通用版(老高考)复习资料_二轮复习
第1部分专题5突破(10)深层掌握主观题“3步走”要点全国卷高考语文二轮复习提分讲义_01高考语文_6赠通用版(老高考)复习资料_二轮复习
第1部分专题5突破(10)深层掌握主观题“3步走”要点全国卷高考语文二轮复习提分讲义_01高考语文_6赠通用版(老高考)复习资料_二轮复习
第1部分专题5突破(10)深层掌握主观题“3步走”要点全国卷高考语文二轮复习提分讲义_01高考语文_6赠通用版(老高考)复习资料_二轮复习
第1部分专题5突破(10)深层掌握主观题“3步走”要点全国卷高考语文二轮复习提分讲义_01高考语文_6赠通用版(老高考)复习资料_二轮复习
第1部分专题5突破(10)深层掌握主观题“3步走”要点全国卷高考语文二轮复习提分讲义_01高考语文_6赠通用版(老高考)复习资料_二轮复习
第1部分专题5突破(10)深层掌握主观题“3步走”要点全国卷高考语文二轮复习提分讲义_01高考语文_6赠通用版(老高考)复习资料_二轮复习
第1部分专题5突破(10)深层掌握主观题“3步走”要点全国卷高考语文二轮复习提分讲义_01高考语文_6赠通用版(老高考)复习资料_二轮复习

文档信息

文档格式
docx
文档大小
1.890 MB
文档页数
14 页
上传时间
2026-03-22 05:14:57

文档内容

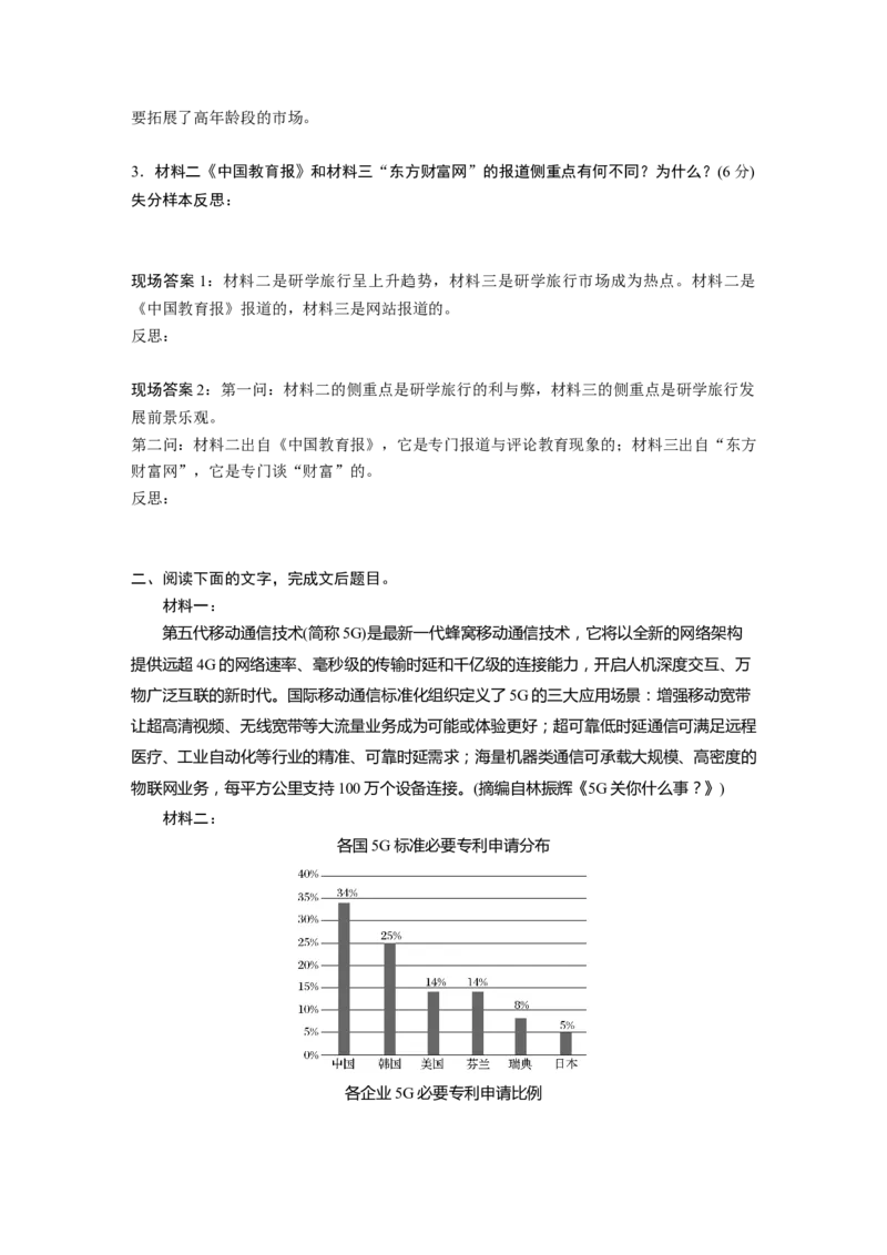
突破(十) 深层掌握主观题“三步走”要点 一、阅读下面的文字,完成文后题目。 材料一:审视中西方教育发展的历史不难发现,在世界各国、各民族文明教育的初始期,研学旅 行就和学校课程紧密联系在一起。 在我国,早在两千多年前,孔子在宣扬政治主张的过程中,就曾带领他的弟子用14年 的时间周游了列国。在游学过程中,其弟子体验了“六艺”之学,感悟了“仁义”之本。 《史记·孔子世家》记载:“孔子适宋,与弟子习礼大树下。”这里的“习”不是温习,而 是指“实践”。近代以来,著名教育家陶行知提出了“生活教育”的理念,认为“社会即学 校”“生活即教育”,并针对当时“死读书、读死书、读书死”的现象,提出了“六大解 放”的思想,其中之一便是“解放孩子的空间,使他们能到大自然、大社会中取得更丰富的 学问”。200多年前,捷克教育家裴斯泰洛齐是这样上地理课的:他带着学生徒步向学校附 近的比由仑河谷进发,学生沿途观察河谷的地貌,挖取河谷的黏土带回学校,捏成河谷的模 型。上世纪五六十年代,苏联教育家苏霍姆林斯基每学期都会带学生到森林里研学野营。在 无边的森林里,学生组织热闹的篝火晚会,欣赏日落的壮美景色,观察河流冲刷形成的复杂 地貌,将课堂所学和真实世界联系在一起。(摘编自申宣成、马东贤《研学旅行与学校课程 怎样有机融合》) 材料二: 近年来,研学旅行引起社会广泛关注,受到多方青睐,研学旅行市场火热。 教育部教育发展研究中心研学旅行研究所在2018年对全国31个省区市的4 000多所学 校、3.3万名家长开展随机抽样调查,调查数据显示,全国研学旅行学校参与率平均为 38%,其中上海最高,达到了66%,北京、江苏也超过了60%。然而,问题同样不容忽视。 “许多青少年报团参加国内外研学旅行,‘只学不游’‘只游不学’的现象都普遍存在。” 中国环境新闻工作者协会主席谢国明直言。“社会上对研学旅行的定位仍存在不同认识。” 在王晓燕看来,旅行是一种手段,学生的成长才是目的。然而,简单的“教育+旅游”、粗 放的“讲解+参观”、拼凑的“主题+活动”、随意的“景点+课本”、夸大的“宣传+包 装”等研学旅行乱象迷惑了许多家长和青少年的眼睛。“组织者需要考虑好行前、行中、行 后计划和安排,引导学生在过程中发现、分析、解决问题,让学生适应人工智能时代学习方 式的变革。”王晓燕说,“研学旅行不是一场说走就走的旅行,不能仅仅停留在‘眼睛课 程’‘耳朵课程’上,而忽略了教育功能。”(摘编自《“研学”“旅行”如何实现有效融 合》,《中国教育报》) 材料三: 就像传统的消费方式已经不能满足人们不断升级的消费需求一样,传统的教育方式也已 经不能满足学生综合素质全面发展的需求。体验式教育理念和旅游业的跨界融合,使研学旅 行成为市场热点。尤其是研学旅行已经被列入义务教育和普通高中必修课,其学校渗透率会 迅速提升。另据统计,到2020年,国内参与综合实践、亲子游、国内研学、学生赛事、出 国游学的中小学生规模将分别达到18 436万人、8 134万人、5 697万人、459万人、367万人,每年高达3亿人次的中小学生活动市场潜力巨大。据测算,2019到2022年中国3岁至 16岁的儿童、青少年将超过2.3亿,2022年达到峰值,为2.34亿。庞大的用户群体支撑着 我国研学旅行未来巨大的成长空间,未来研学旅行的市场规模有望达到千亿。 国内外研学旅行市场分析表 国内研学旅行市场 国外研学旅行市场 年龄 6岁~18岁 10岁~18岁 研学旅行时间 暑假、学期内 寒假 研学旅行消费水平 4千~1万 1万~3万 研学旅行目的地 北京、陕西、云南、四川等 美国、英国、澳大利亚、日本等 研学旅行内容 人文、艺术、历史、体育等 语言、人文、艺术、实践等 (摘编自“东方财富网”) 练前读文 在对材料勾画圈点、整体阅读后概括每则材料的核心内容和三则材料的核心话题, 并将结果填入下面的结构导图中。 1.下列对材料相关内容的理解和分析,正确的一项是(3分)( ) A.在中西方教育发展的早期,研学旅行就已经和学校课程互相融通,成为早期学校课程的 重要组成部分。 B.让弟子在游学的过程中体验“六艺”之学,感悟“仁义”之本,是孔子用14年时间周 游列国的主要目的。 C.陶行知主张教育要走向社会,回归生活,他提倡解放孩子的空间,给孩子更多的自由以 促进孩子更好地成长。 D.裴斯泰洛齐和苏霍姆林斯基的案例说明,将课堂所学和真实世界联系在一起,才能有效 实现教育目的。 2.下列对材料相关内容的概括和分析,不正确的一项是(3分)( ) A.由上海、北京、江苏等地的学校研学旅行参与率较高可推知,研学旅行参与率与当地发 展程度有关。 B.欲解决普遍存在的“只游不学”等问题,需要在研学旅行中更加注重教育功能,让学生 进行研学体验。 C.社会经济的不断发展、教育教学方式的变革以及政策的要求等,均成为助推研学旅游市 场火热的原因。 D.统计的年龄分段情况表明,国内研学旅行主要拓展了低年龄段的市场,国外研学旅行主要拓展了高年龄段的市场。 3.材料二《中国教育报》和材料三“东方财富网”的报道侧重点有何不同?为什么?(6分) 失分样本反思: 现场答案1:材料二是研学旅行呈上升趋势,材料三是研学旅行市场成为热点。材料二是 《中国教育报》报道的,材料三是网站报道的。 反思: 现场答案2:第一问:材料二的侧重点是研学旅行的利与弊,材料三的侧重点是研学旅行发 展前景乐观。 第二问:材料二出自《中国教育报》,它是专门报道与评论教育现象的;材料三出自“东方 财富网”,它是专门谈“财富”的。 反思: 二、阅读下面的文字,完成文后题目。 材料一: 第五代移动通信技术(简称5G)是最新一代蜂窝移动通信技术,它将以全新的网络架构 提供远超4G的网络速率、毫秒级的传输时延和千亿级的连接能力,开启人机深度交互、万 物广泛互联的新时代。国际移动通信标准化组织定义了5G的三大应用场景:增强移动宽带 让超高清视频、无线宽带等大流量业务成为可能或体验更好;超可靠低时延通信可满足远程 医疗、工业自动化等行业的精准、可靠时延需求;海量机器类通信可承载大规模、高密度的 物联网业务,每平方公里支持100万个设备连接。(摘编自林振辉《5G关你什么事?》) 材料二: 各国5G标准必要专利申请分布 各企业5G必要专利申请比例(数据来源于中国信息通信研究院知识产权中心) 材料三: 5G将至,机遇与挑战并存。5G是各行各业创新发展的推动者,通过与工业、交通、农 业等行业的广泛、深度融合,进而实现从支撑移动互联网向支撑各行业全面数字化、网络化 和智能化的全新转型。比如对于健康医疗行业,5G可用于实时传输医疗数据、远程控制照 料病人的云机器人,还可用于急救无人机、智能注射器等。随着5G通信技术的不断改进, 它将真正帮助整个社会构建“万物互联”。 然而5G真的那么容易实现吗?现实并不乐观。2017年7月,中国和美国、欧洲、日本、 韩国围绕5G通信技术在频率的标准方面达成一致,计划在2020年左右统一通信标准。不 过为争夺通信行业,以及出于国家利益的考虑,5G标准在统一过程中,必将引起一场不小 的角逐战。哪个国家都想在5G市场中占据主导地位,全球通信标准的统一或许还有很长一 段路要走。5G是大数据和人工智能时代的基础设施,应用终端要适配各行各业,这对终端 测试提出了极大挑战。有的应用模组在普通环境中测试尚可,但运用到实际场景中,性能变 化很大。因此,终端开发需要在产业链中与各类企业合作,推出适合各行业的5G终端。随 着4G不限量流量的普及,5G流量将加速贬值,流量资费红利逐渐消失。和其他几代移动 通信网络建设一样,电信运营商5G网络的建设也不会一蹴而就。在4G建设成本尚未收回 的情况下启动5G,运营商将面临巨大的高额投资与缓慢回报的成本压力。 (摘编自康双勇《5G通讯技术的机遇与挑战》) 材料四: 关于世界通信技术与中国的关系,中国工信部部长苗圩指出,中国历经“2G跟随、3G 突破”,实现了“4G同步、5G引领”的历史性跨越。近日召开的第七届互联网安全大会上, 中国工程院院士邬贺铨再次提醒需正视5G时代网络安全问题。比如5G的“万物互联”, 让智慧城市成为可能。城市的管网、电力、能源、交通、社区等基础设施都有无数的传感器、 摄像头进行监测和通过网络进行智能控制。一方面,精准的数据采集和细粒度的管控使得城 市的管理更加科学,但另一方面,也将风险暴露在黑客的视野中。如果这些重要基础设施对 外部的攻击没有足够的防御能力的话,一旦出了安全事故,代价将非常大。“但我们不能因担心安全而放弃产业数字化的进程。安全与发展是一体之两翼,需要同步发展。”邬贺铨说。 (摘编自《“万物互联”还是“万物泄露”,5G时代网络安全怎么办》) 练前读文 在对材料勾画圈点、整体阅读后概括每则材料的核心内容和四则材料的核心话题, 并将结果填入下面的结构导图中。 1.下列不属于5G三大应用场景的一项是(3分)( ) A.通过在各大城市的公交车或地铁上安装无线设备和实现网络覆盖,乘客可在车上使用智 能手机观看电视节目或快速上网浏览。 B.综合三维激光扫描、高解析度视频图像等技术,实现考古现场全方位、多角度数据采集, 最大程度保持数据完整和文物安全。 C.通过布满农场的高精度土壤温湿度传感器,远程在线采集土壤酸碱度、养分、气象变化 等信息,实现灌溉用水量的智能决策。 D.无人驾驶汽车上的智能平台仅需瞬间即可对传感器监测到的海量数据进行融合分析,执 行减速、刹车、加油、转向等动作。 2.下列对材料相关内容的概括和分析,不正确的一项是(3分)( ) A.5G开启了万物广泛互联的新时代,通过与各行各业的融合,可催生更多的创新应用及 业态,是经济社会数字化转型的推动者。 B.全球5G标准必要专利申请被中、韩、美、芬、瑞、日六国瓜分,我国占比位居榜首, 其中华为达15.05%,中兴通讯紧随其后。 C.在各大手机厂商纷纷争夺5G标准必要专利权之际,中国的5G建设摆脱了落后面貌,实 现高速发展,使我国迈入通信技术强国行列。 D.5G是大数据和人工智能时代的基础设施,可使社会生活日益智能化,但它的网络安全 不容忽视,5G发展需要安全体系来护航。 3.为什么说我国的5G移动通信技术发展还面临着挑战?请结合材料简要分析。(6分) 失分样本反思: 现场答案1:①5G全球通信统一标准仍需时间,各国都在角逐,试图占据主导。②5G的应 用终端要适配各行各业,我国5G终端测试在实际应用中面临挑战。③防止信息泄露,带来 很大挑战。 反思: 现场答案2:①各国的5G标准难以统一,中国5G也不能在统一前遍及全国。②应用终端要 与各行各业适配,这面临挑战。③运营商的投资成本高,回报缓慢,这对普及5G是巨大的成本压力。 反思: 答非连续实用类文本主观题,大致要经过“认真审题——筛选整合——规范作答”三步。 这“三步”不只是个答题程序问题,其实,在每一步中都隐藏着深层能力——阅读能力、审 题能力、筛选整合能力等,我们需要的是认真走好每一步,在每一步中努力培养这些深层能 力。 “三步走”的前提——四层阅读能力 第一层:归纳阅读,准确概括材料内涵。 围绕文本的中心话题,明确各材料的内涵及表现的侧重点,并用一句话或一个短语作出 简要、精准的概括。这样,既可以进一步明晰文本结构,又为解答问题做好准备,便于在解 题时快捷、高效地找准答题区间,抓住对应信息,从而做出正确的判断。 第二层:比较阅读,统览信息,洞悉各材料的异同点。 特别要对图表材料中的数据进行仔细审读和比较,分析数据变化相关因素和原因,弄清 数据背后的内在逻辑。文字材料相对独立,但有时异中有同,要善于求同存异,精准比对, 领会意蕴。 第三层:定向阅读,提取碎片化信息。 阅读时目的性、方向感要明确。非连续性文本的信息常以碎片化形式存在于标题、图表、 数据、文字及出处等各种要素中。阅读时要对这些要素作定向阅读,理清各材料之间的逻辑 关系,并迅速对文本碎片化信息进行提取,把握文本要点。 第四层:深度阅读,整合要点,培养反思品质。 倘若不深入思考、探究材料背后潜藏的问题本质,就会造成外在表象与内在意义之间的 断裂,从而导致对文本的误读。只有进行质疑、探究、发现的深度阅读,才能对文本进行正 确的整合、推理、判断,最终挖掘文本的隐含意义,精准把握精髓。 第一步:加强审题意识,明晰答题要求 从非连续实用类文本主观题的表述可以看出,该类题题干基本分为两部分:一是答题内 容的方向范围;二是答题要求方式,如“分析”“概括”“比较”“说明”等。我们在审题 时应区分题干内容,理清答题重点,明确答题要求。例如,2020年全国卷Ⅰ第6题:我国 重点投资支持新基建与抗击疫情有什么关系?请结合材料简要分析。“简要分析”就是答题 要求,“我国重点投资支持新基建与抗击疫情的关系”就是答题内容的方向。 还要会从题干中明确答题的具体要求。若题干问材料的“侧重点是什么”,则答题以 “对象+特征”为最佳;若题干问“哪些作用(影响)”,则答题以“举措+结果”为佳;若 题干问“哪些相关方面”,则答题以“概括分类+举例分析”为佳。 题干后的赋分也是审题的一部分。从总分为6分的分值来看,答题内容有3~4个要点,且是不交叉的3~4个要点。有些考生心存侥幸,认为只要把自己能找到的信息统统抄上去, 要点越多越好。其实不然,分值已经说明应该归纳的要点个数了。 审题要使用好物理方法:要用笔尖牵引思维,圈点、勾画出关键词加以揣摩,防止“眼 睛看过、大致如此、所以应该”的审题陋习。 即时小练 请用圈点勾画法审题,勾画出答题内容方向和要求的关键词,并思考其意义。 (1)贵州省江口县与云南省民族地区的精准扶贫工作内容有哪些共通之处?请结合材料 概括说明。(6分)(2020年全国卷Ⅱ第6题) (2)梁思成先生文物修复的理念影响深远,九层神庙修复工程中哪些做法体现了他的主 张?请结合材料简要分析。(6分) (3)某贫困县地处大山山脚,竹林漫山遍野,景色秀美。当地居民“人人能把山歌唱, 家家会把竹器编”,但一直无法摘掉贫困的帽子。参考以上四则材料和当地情况,你认为当 地应有哪些精准扶贫措施?(6分) 第二步:掌握筛选方法,学会归纳整合 审准题后,下一步就进入筛选整合环节。这其中又分两小步: 第一,筛选信息。方法是抓住题干的关键词(关键词是信息筛选的核心对象),如主语对 象、动词等,再回到材料文本中寻找相应的词句信息。在此要注意两点: ①避免陷入“答案限于明显位置的一则材料中”的认知误区。应先把整个实用类文本的 多则材料都视为答题区域,再根据关键词逐渐缩小范围,进行信息筛选。尤其是图画、数据 表格、符号、图解文字等多种方式呈现的材料,也要经过思考提炼出其内在联系和相关信息。 ②注意构建联系。文与题联系——隐性信息勾连题目;文本间联系——内容、材料、观 点、表达方式和价值倾向之间的相同、相反、反证、互补等。 第二,归纳整合。在根据关键词梳理全文信息的时候,就可以同步进行归纳内容要点的 归纳整合。一是从不同信息的核心概念内容出发,将表达相同或意思相近的语句放在一起, 合并同类项信息,区分出不同要点。这样,就可以避免机械抄录、要点重点交叉问题。二是 从逻辑思维的层面,对表述主语对象的转变、角度的变化、语境的转换、正反方面等进行思 考,还要从抽象到具体、概括到分析、普遍到特殊、个体到整体等逻辑方面,把握信息的关 联,从而达到把信息归类重组的目的。这样,就可以挖掘到隐含信息,避免信息遗漏等问题。 试以下例加以说明: 2019年全国卷Ⅰ第6题:请结合材料,分析毛里求斯想要修复的档案文件的受损原因。 主语对象很清晰,关键词能锁定“受损原因”。但是三则材料表面上看都是从“保护修 复”层面来谈的,没有直接出现“受损”的关键词语。因此在筛选信息上,考生需要进行反 向思考,保护和修复必然是从受损情况入手的。我们可以分别从三则材料中提炼其内容要点 和关于“保护和修复”的相关信息:材料一中有“预防”“涉及光照度、环境条件、安全、防火”“正在损毁遗产的外界因素”“杀虫、去酸、脱水和清洁”等信息;材料二则能发现 “温度、湿度、纸张的寿命”;材料三信息很多,能找到根据毛里求斯气候环境和纸张质地 而提出的“去酸方案”和“修复方案”。 从圈点的上述信息能看到,材料一的环境条件与材料二提到的温度、湿度以及材料三对 毛里求斯的介绍,能合并归纳出第一点答案:气候原因,毛里求斯气候湿热多雨,湿度大, 温度高,纸张寿命短。材料三重点谈如何“保护修复”,第一段介绍了纸张的质地,在“去 酸方案”里又提及要避免酸性对纸张的损害,且最后又强调了纸张的强度和柔韧性有提高, 则能合并归纳出第二点答案:纸张原因,档案文件纸张为破布浆机制纸,柔韧性极差。至于 答案的第三点“用笔原因,使用酸性烟黑墨水双面手写,使得纸张易脆化,机械强度下降, 直至脆裂粉碎”,是这道题提炼的难点。不少考生恐怕会将材料三中“字迹材料为酸性烟黑 墨水,双面手写”这一点与第二点答案纸张原因放在一起,只有分类意识强且细心的考生才 能提炼出来并列为第三点答案。 第三步:加强“角度”意识,提升规范水平 非连续实用类文本主观题答案都有清晰的答题角度,或从不同对象,或从不同侧重点, 或从不同措施等角度展开。答题就是善于找这样的“角度”。如果没有“角度”意识,很可 能答点重复,角度单一。请看下例: 结合材料,谈谈高中生该如何做好新高考背景下自己的职业生涯规划? 参考答案:①学生应该认真了解新高考改革方案,积极主动应对新高考变化。(新高考 角度)②学生应该了解自己,了解自身的职业兴趣倾向,明确职业发展方向。(自身角度)③ 学生应该提前了解大学专业课程设置及就业方向,高校专业录取对科目的要求,做好恰当的 选科。(大学角度)④学生在规划确定及实施过程中遇到困难,应向学校、教师寻求指导。 (学校、教师角度) 答点重复、角度单一的答案:①高中生应提前考虑自己的专业,按照自己的兴趣与实际 确定职业方向。②高中生应了解高校对自己选择的专业选考要求与限制。③高中生还要了解 各个专业对选考科目的要求。④高中生还要了解自己所选专业的内容、就业机会等。 非连续实用类文本主观题对答案的规范程度要求很高,表现在: ①表达规范。每条答案都要按照“观点+陈述”(或“概括观点+举例分析”)的形式呈 现。 ②逻辑规范。众多答案要点要条分缕析,合乎思维习惯和事理顺序,更重要的是各要点 之间不能重复,不能包含,不能交叉。 ③书写规范。一是每个要点之前要用数字标出序号,做到条理清晰;二是书写工整,字 迹清晰,美观大方。 边练边悟 阅读下面的文字,完成文后题目。 材料一: 日前,文化和旅游部公布了《2018年文化和旅游发展统计公报》,全方位、多角度直 观展现了2018年我国文化建设和旅游发展全貌。红色旅游是去年旅游市场中的一抹亮色。 公报显示,为大力推进红色旅游工作,我国召开了红色旅游“五好讲解员”建设行动推进会,开展了6期红色旅游示范性培训,培训红色旅游行政人员、景区和旅行社负责人、骨干讲解 员、导游员1 300余人。中国旅游研究院博士韩元军认为,红色旅游火爆首先是受政策利好 影响;其次,红色旅游产品不断创新,吸引了大量游客;再者,研学旅行带动了大批青少年 在红色景区开展红色教育,形成了红色旅游发展的新高潮。未来,要将更多元素与红色旅游 资源开发紧密结合,进一步激发红色旅游市场的活力。 (摘编自张雪《红色旅游成为市场一抹亮色》,《经济日报》2019年6月27日) 材料二: 旅游是民众休闲、娱乐、放松、陶冶情操、增长见闻的日常活动。红色旅游作为旅游中 的特殊一类,有其独特的一面。红色旅游所依托的,并非青山绿水等自然资源,而是中国共 产党浴血奋战、攻坚克难所凝结成的红色文化,所利用的是,记录着中国人民“站起来”艰 辛历程的革命文物和精神遗产。所以,红色旅游不同于一般的旅游。红色旅游不能只是娱乐、 休闲、放松,不能只是猎奇般地长点见闻,更不能只是为了搞活经济,红色旅游首先必须以 精神为魂,以教育为用。任何红色旅游,如果没有寓教于游,没有在旅游中贯穿红色文化, 贯通红色精神,贯彻红色教育,那就是把“红色”二字当幌子,是不合格的红色旅游,是走 偏了的旅游发展。 红色文化的严肃性,红色精神的厚重感,决定了它和别的文化类别具有本质的区别,绝 不能只是作为“幌子”。一段为国为民壮烈牺牲的故事,不能将它作为单纯娱乐和休闲的卖 点;一种为了追求全人类的解放而奋不顾身的崇高道德,不能在它面前熟视无睹地嬉笑作乐; 一个个宁死不屈、舍生取义的英雄先烈,更不容调侃、戏说、侮辱和丑化。 红色旅游既然是一项寓教于游的活动,那就天然地具备了教育性。而教育作为一项科学, 里面大有学问。对于红色旅游来说,因其教育性,所以在设计和建设过程中,就更要注重阶 段性,注重渐进性,注重可接受性,注重系统性、趣味性,注重方式方法,归结起来,就是 红色旅游也要符合教育规律。 (摘编自肖罗《红色旅游寓教于游》,《光明日报》2018年7月31日) 材料三: 日前,俄罗斯旅游署红色旅游路线协调委员会秘书沙罗夫表示,旅游署为中国游客制定 了5条红色旅游路线,俄罗斯的“红色旅游”将成为中国红色旅游的一部分,未来将与中国 红色旅游联通发展。 自2004年以来,我国红色旅游人数累计超过50亿人次,年均增长16%,高于旅游业增 长率。红色旅游如火如荼的发展现状以及未来的广阔前景振奋人心。但个别景点疏于管理, 盲目经营,使红色旅游走偏。近日一则有关地道战遗址的新闻引起轩然大波,有游客换上汉 奸或是伪军服装在此嬉笑拍照。这与红色旅游的发展初衷背道而驰。还有一些红色景区在景 区建设上单纯追求硬件设施“高大上”,存在旅游产品单一,景区讲解套路化、娱乐化、庸 俗化等现象,对游客尤其是青少年游客易产生价值观误导。通过旅游,实现对国民进行本国历史教育的目的,在一些发达国家和地区已经成为制度。 德国一些州要求每个学校都要定期组织学生到纳粹集中营等地游览参观,勿忘历史,中小学 生参与反法西斯教育的修学旅游成为常态。目前,我国的红色旅游已成为学校、机关、企事 业单位、党团工会组织的爱国主义教育的重要途径。 [摘编自《红色旅游不可走偏》,《人民日报》(海外版)2018年3月19日] “红色旅游”与其他类型旅游的本质区别主要是什么?请结合材料简要分析。 一、阅读下面的文字,完成文后题目。 材料一: 突发公共卫生事件,是指突然发生,造成或者可能造成公众健康严重损害的重大传染病 疫情、群体性不明原因疾病、重大食物和职业中毒以及其他严重影响公众健康的事件。它具 有如下一些特点:一是突发性。突发性指事件的时间、地点、方式、程度等情况,都难以准 确把握;对事件起因、规模、事态变化等,也不能事先确定。二是复杂性,主要指造成原因 复杂。有自然因素造成的,如地震、台风等自然灾害引发的公共卫生事件;有人为因素造成 的,如战争引发的公共卫生事件。三是传播的广泛性,某些传染病可能毫无国界地广泛传播 (摘编自《突发公共卫生事件的构成要素和主要特征探讨》) 材料二: 作为非典疫情最为严重的地区,当时的中国在疫情防治中暴露出诸多问题。一方面,部 分地方政府对疫情隐瞒不报。另一方面,当时国内比较缺乏应对突发公共卫生事件的相关制 度、应急设施。对于非典一类的新发传染病,彼时并无任何应急预案作为指导依据。而且, 许多医院没有足够的隔离设施,交叉感染严重。这些都使得疫情难以在初期得到有效控制。 SARS之后,政府加大了对公共卫生应急体系建设的决心和行动。政策方面,2003年国 家公布施行《突发公共卫生事件应急条例》,此后又出台了一系列“突发公共卫生事件应急 预案”,从国家到乡镇逐步形成了相对完整的突发公共卫生事件应急预案。医疗救治方面, 各地加强突发公共卫生事件医疗救治体系建设,包括设立专门的传染病医院,扩大医疗救治 队伍等。此外,中央还主导建立了一套信息通报体系,保证疫情信息快速透明地传播。这一 系列建设使我国应对突发公共卫生事件的能力明显提升。 (摘编自《非典十六年之后,中国的防疫体系都有哪些进展?》) 材料三: 2009年,全球爆发甲型H1N1流感疫情,我国政府对此高度重视,迅速组织联防联控,并坚持公开透明地公布疫情信息,使公众能够了解疫情,做好防控。此外,政府还联合科研 机构进行疫苗的研发和生产,仅87天,就研制生产出全球首支获得生产批号的H1N1甲流 疫苗。 2014年,西非爆发埃博拉疫情,中国政府积极应援非洲,同时采取国内疫情防范措施, 取得了“零感染,零输入”的可喜成绩。这次疫情抗击还成为我国首次在卫生应急领域走出 国门的成功案例。 事实上,自非典后,我国的突发公共卫生事件处理机制已多次经受住考验,并在实战中 不断完善。国家卫计委卫生应急办主任许树强曾表示,中国经过非典疫情、汶川地震和埃博 拉疫情等重要阶段的洗礼,应急能力已大大提升,并达到国际先进水平。 (摘编自《抗击甲流:中国在行动》) 材料四: 新冠肺炎疫情汹涌袭来,是对我国治理体系和能力的一次重大考验。面对疫情,党中央 总揽全局,对抗击疫情作出指示,指明方向。各级党委政府按照中央决策,带领广大人民群 众,全面加强防疫工作,把落实工作抓实抓细。此外,在疫情面前,我国还坚持防控工作全 国一盘棋,联防联控,“一方有难,八方支援”,创造了十天十夜建成火神山医院的奇迹。 我国一系列措施有效地防控了疫情蔓延,国际社会对此普遍给予肯定。世卫组织总干事 谭德塞表示,“中方行动快速有力,速度之快、规模之大,实属罕见,我们对此表示高度赞 赏”。(摘编自《打赢疫情防控阻击战的信心来自哪里》) 1.下列对于“突发公共卫生事件”相关内容的理解和分析,不正确的一项是( ) A.突发公共卫生事件通常突然发生,人们事先难以准确把握某次事件发生的时间、方式、 成因等情况,因此在应对时就往往会束手无策。 B.突发公共卫生事件成因复杂,地震、台风等自然灾害,战争等人为因素都可能引发公共 卫生事件,从而对公众健康产生难以估量的影响。 C.突发公共卫生事件影响范围广,某些传染病毒可能会无国界扩散,这需要各国共同应对, 国际合作抗击埃博拉疫情就是其中的典型案例。 D.应对突发公共卫生事件时,应坚持公开透明地公布疫情信息,这有利于把握该突发公共 卫生事件的规模、事态发展等信息,做好防控。 2.下列对材料相关内容的概括和分析,不正确的一项是( ) A.应对非典时,我国存在着部分地方政府瞒报疫情信息、缺乏新型传染病应急预案和应急 设施等问题,这使得疫情难以在初期得到有效控制。 B.2009年我国采取了一系列积极有力的防控措施抗击甲型H1N1流感疫情,还成功研制生 产出H1N1甲流疫苗,取得了抗击疫情的胜利。 C.正是因为经历了非典疫情、汶川地震和非洲埃博拉疫情三个重要阶段的洗礼,我国的应 急能力才能够大大提升,并达到国际先进水平。 D.世界卫生组织对我国有力抗击新冠肺炎疫情大加赞赏,这体现出国际社会对我国疫情防控的肯定,也侧面显示出我国防控疫情能力的提升。 3.面对新冠肺炎疫情这样一次重大的突发公共卫生事件,我国为什么能快速有效地进行防 控?请结合材料概括并分析。 二、阅读下面的文字,完成文后题目。 材料一: “海水稻”是耐盐碱水稻的形象化称呼,是在沿海滩涂等盐碱地生长的特殊水稻。常说 的耐盐碱水稻是指能在盐(碱)浓度0.3%以上的盐碱地生长且亩产300公斤以上的水稻品种。 它没有普通水稻的病虫害问题,不用打农药。国外最早开展耐盐水稻品种筛选和培育工作的 是斯里兰卡,并于1939年培育出世界上第一个抗盐水稻品种Pokkali。我国的水稻耐盐性研 究始于上世纪50年代,80年代开展了全国稻麦抗盐碱协作研究。1986年11月,广东湛江 的陈日胜在海滩边发现了一株野生水稻,经多年繁殖、筛选,育成“海稻86”,具有较好 的耐盐性。 近年来,由袁隆平院士领衔的青岛海水稻研究发展中心致力于海水稻研发,通过基因测 序技术,筛选出天然抗盐、抗碱、抗病基因,利用杂交与分子育种技术,计划在3年内选育 出可供产业化推广、亩产300公斤以上的耐盐水稻品种。据报道,目前已经取得阶段性成果, 2016年试验种植材料亩产突破500公斤,2017年小面积测产最高亩产达到621公斤,2018 年筛选出176份优良材料在全国五大典型盐碱地试种。2017年起,海水稻研究中心组织开 展国家耐盐水稻联合体试验,分北方中早粳晚熟组、黄淮粳稻组和南方沿海籼稻组三组,在 全国沿海滩涂及盐碱地不同生态区设置18个试点,对首批25个参试品种进行了试验鉴定, 筛选出16个品种进入2018年试验,其中9个进入生产试验,新增23个品种进入2018年区 域试验。(摘编自王才林等《耐盐碱水稻研究现状、问题与建议》) 材料二: 采用单盐溶液进行种子处理,盐(NaCL)浓度分别为0g/L、6g/L、9g/L、12g/L、15g/L五 个处理。将种子置于50℃恒温箱中高温处理48小时,随机挑选饱满种子50粒,均匀置于铺 有2层滤纸的直径9cm培养皿中,分别加入不同浓度的NaCL溶液10mL,2次重复,放入 30℃恒温箱中发芽,至第10天记录种子发芽数。相关数据见下表: 盐胁迫对芽长、根长、根数的影响 NaCL浓度(g/L) 发芽率(%) 芽长(cm) 根长(cm) 根数(根) 0 97.83 5.57 10.28 7.54 6 95.41 4.12 8.03 6.21 9 83.16 2.50 4.37 4.28 12 51.25 1.81 1.92 2.35 15 37.42 0.87 0.43 1.23(摘编自张国新等《盐胁迫下水稻种子发芽特性及耐盐性评价》) 材料三: 由武汉海稻国际农业开发有限公司在沙漠环境下开展的海水稻试种工作在阿联酋迪拜取 得巨大突破,水稻种植面积和水稻单产均刷新了迪拜沙漠水稻种植纪录,项目成果获得迪拜 酋长及中国驻迪拜总领馆的肯定。 2018年10月,受迪拜方邀请,中国资深水稻专家前往迪拜,为当地沙漠环境下开展海 水稻的种植提供完整的配套技术服务。迪拜农业生态气候条件特殊,水稻生产的安全窗口期 非常短暂,在技术上稍有疏忽就会导致水稻绝收。在半年多的时间里,项目专家小组克服了 “苗期夜间低温”“全生育干旱少雨”“沙土保水保肥能力差”等诸多不利因素,通过创新 播种方式、科学的肥水管理、严格的生长进程管控,实现迪拜海水稻高产。经专家测产,迪 拜项目区试种的海水稻目前平均亩产达到629公斤,实现了迪拜沙漠盐碱地水稻种植的重大 突破,项目成果达到了沙漠盐碱地水稻种植的国际先进水平。 (摘编自《中国海水稻在迪拜试种刷新当地沙漠水稻 种植纪录》,“中新网”2019年7月11日) 4.下列对于“海水稻”相关内容的理解,不正确的一项是( ) A.绿色环保,没有普通淡水稻的病虫害,不用打农药。 B.耐盐碱,能在盐(碱)浓度0.3%以上的盐碱地生长。 C.亩产300公斤以上,但生产的安全窗口期非常短暂。 D.我国研发时间虽晚,但目前已取得较为显著的成果。 5.下列对材料相关内容的概括和分析,不正确的一项是( ) A.袁隆平领衔的团队通过基因测序等先进技术,计划在3年内选育出可推广的高产耐盐水 稻品种,现已取得阶段性成果。 B.根据材料二的图表可知,采用单盐溶液对种子进行处理时,盐浓度越高,发芽率越低, 芽长、根长及根数下降的速度越快。 C.材料二的实验结果表明,盐对水稻种子发芽有明显抑制作用,因此,培育出高耐盐水稻 品种,对我国的粮食安全具有重要意义。 D.武汉一公司在迪拜沙漠环境下试种海水稻取得骄人成绩,有力说明了我国海水稻研发和 种植技术处于世界先进水平。 6.请结合材料,概括中国水稻专家在海水稻的研发推广过程中遭遇的困难及取得的成果。