当前位置:首页>文档>第九章 §9.2 用样本估计总体_2.2025数学总复习_2025年新高考资料_一轮复习_2025高考大一轮复习讲义+课件(完结)_2025高考大一轮复习数学(苏教版)_配套Word版文档第七章~第十章

第九章 §9.2 用样本估计总体_2.2025数学总复习_2025年新高考资料_一轮复习_2025高考大一轮复习讲义+课件(完结)_2025高考大一轮复习数学(苏教版)_配套Word版文档第七章~第十章

  • 2026-05-04 11:18:37 2026-03-26 11:31:33

文档预览

第九章 §9.2 用样本估计总体_2.2025数学总复习_2025年新高考资料_一轮复习_2025高考大一轮复习讲义+课件(完结)_2025高考大一轮复习数学(苏教版)_配套Word版文档第七章~第十章
第九章 §9.2 用样本估计总体_2.2025数学总复习_2025年新高考资料_一轮复习_2025高考大一轮复习讲义+课件(完结)_2025高考大一轮复习数学(苏教版)_配套Word版文档第七章~第十章
第九章 §9.2 用样本估计总体_2.2025数学总复习_2025年新高考资料_一轮复习_2025高考大一轮复习讲义+课件(完结)_2025高考大一轮复习数学(苏教版)_配套Word版文档第七章~第十章
第九章 §9.2 用样本估计总体_2.2025数学总复习_2025年新高考资料_一轮复习_2025高考大一轮复习讲义+课件(完结)_2025高考大一轮复习数学(苏教版)_配套Word版文档第七章~第十章
第九章 §9.2 用样本估计总体_2.2025数学总复习_2025年新高考资料_一轮复习_2025高考大一轮复习讲义+课件(完结)_2025高考大一轮复习数学(苏教版)_配套Word版文档第七章~第十章
第九章 §9.2 用样本估计总体_2.2025数学总复习_2025年新高考资料_一轮复习_2025高考大一轮复习讲义+课件(完结)_2025高考大一轮复习数学(苏教版)_配套Word版文档第七章~第十章
第九章 §9.2 用样本估计总体_2.2025数学总复习_2025年新高考资料_一轮复习_2025高考大一轮复习讲义+课件(完结)_2025高考大一轮复习数学(苏教版)_配套Word版文档第七章~第十章
第九章 §9.2 用样本估计总体_2.2025数学总复习_2025年新高考资料_一轮复习_2025高考大一轮复习讲义+课件(完结)_2025高考大一轮复习数学(苏教版)_配套Word版文档第七章~第十章
第九章 §9.2 用样本估计总体_2.2025数学总复习_2025年新高考资料_一轮复习_2025高考大一轮复习讲义+课件(完结)_2025高考大一轮复习数学(苏教版)_配套Word版文档第七章~第十章
第九章 §9.2 用样本估计总体_2.2025数学总复习_2025年新高考资料_一轮复习_2025高考大一轮复习讲义+课件(完结)_2025高考大一轮复习数学(苏教版)_配套Word版文档第七章~第十章
第九章 §9.2 用样本估计总体_2.2025数学总复习_2025年新高考资料_一轮复习_2025高考大一轮复习讲义+课件(完结)_2025高考大一轮复习数学(苏教版)_配套Word版文档第七章~第十章
第九章 §9.2 用样本估计总体_2.2025数学总复习_2025年新高考资料_一轮复习_2025高考大一轮复习讲义+课件(完结)_2025高考大一轮复习数学(苏教版)_配套Word版文档第七章~第十章

文档信息

文档格式
docx
文档大小
0.454 MB
文档页数
12 页
上传时间
2026-03-26 11:31:33

文档内容

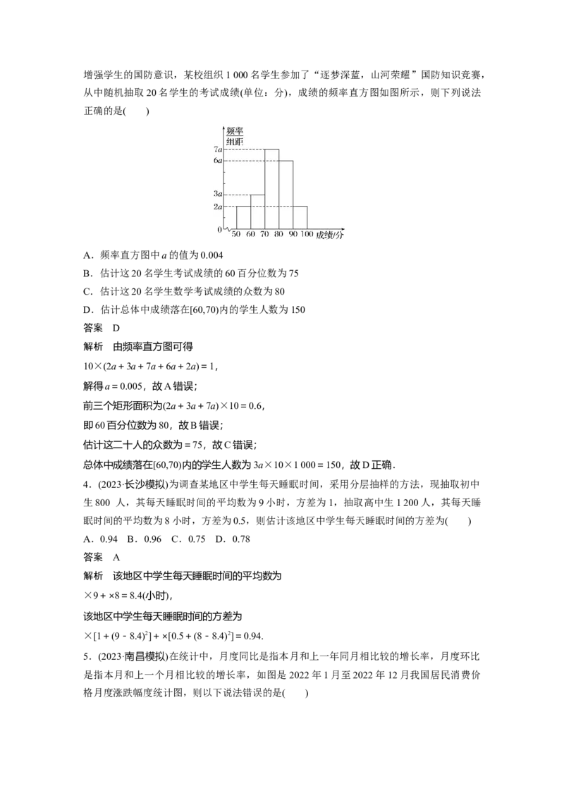
§9.2 用样本估计总体 课标要求 1.会用统计图表对总体进行估计,会求n个数据的p百分位数.2.能用数字特征估 计总体集中趋势和总体离散程度. 知识梳理 1.平均数、众数和中位数 (1)平均数:=(a+a+…+a). 1 2 n (2)众数:一组数据中出现次数最多的那个数据(即频数最大值所对应的样本数据). (3)中位数:一组数据按从小到大的顺序排列,处在最中间的一个数据(当数据个数是奇数时) 或最中间两个数据的平均数(当数据个数是偶数时). 2.方差和标准差 (1)方差:s2=(x-)2或-2. i (2)标准差:s=. 3.百分位数 一般地,一组数据的k百分位数是这样一个值p,它使得这组数据中至少有k%的数据小于 k 或等于p,且至少有(100-k)%的数据大于或等于p. k k 常用结论 1.若x,x,…,x 的平均数为,那么mx+a,mx+a,…,mx+a的平均数为m+a. 1 2 n 1 2 n 2.数据x ,x ,…,x 与数据x′=x +a,x′=x +a,…,x′=x +a 的方差相等,即 1 2 n 1 1 2 2 n n 数据经过平移后方差不变. 3.若x,x,…,x 的方差为s2,那么ax+b,ax+b,…,ax+b的方差为a2s2. 1 2 n 1 2 n 自主诊断 1.判断下列结论是否正确.(请在括号中打“√”或“×”) (1)对一组数据来说,平均数和中位数总是非常接近.( × ) (2)方差与标准差具有相同的单位.( × ) (3)如果一组数中每个数减去同一个非零常数,则这组数的平均数改变,方差不变.( √ ) (4)在频率直方图中,可以用最高的小长方形底边中点的横坐标作为众数的估计值.( √ ) 2.在下列统计量中,用来描述一组数据离散程度的量是( ) A.平均数 B.众数 C.百分位数 D.标准差 答案 D 解析 标准差反映了数据分散程度的大小,所以说标准差是用来描述一组数据离散程度的统 计量,故D正确.3.甲、乙、丙、丁四人参加射击项目选拔赛,成绩如下,则他们中参加奥运会的最佳人选 是______. 甲 乙 丙 丁 平均环数 8.5 8.8 8.8 8 方差 3.5 3.5 2.1 8.7 答案 丙 解析 由平均数及方差的定义知,丙的平均成绩较高且较稳定,是最佳人选. 4.有一组数据:-1,a,-2,3,4,2,它们的中位数是1,则这组数据的平均数是________. 答案 1 解析 数据-1,a,-2,3,4,2,已知除a以外的数据从小到大排序为-2,-1,2,3,4,要使得 中位数为1,则a在第3位或第4位,即=1,a=0,经检验符合题意, 所以这组数据的平均数是=1. 题型一 样本的数字特征的估计 例1 (1)(多选)(2023·荆门联考)某单位为了解该单位党员开展学习党史知识活动情况,随机 抽取了30名党员,对他们一周的党史学习时间进行了统计,统计数据如下.则下列对该单 位党员一周学习党史时间的叙述,正确的有( ) 党史学习时间(小时) 7 8 9 10 11 党员人数 4 8 7 6 5 A.众数是8 B.40百分位数为8 C.平均数是9 D.中位数是9 答案 ACD 解析 由题意,随机抽取30名党员, 由表可知,党史学习时间为8小时的人最多,为8人,故众数是8,故A正确; 因为30×=12,40百分位数为=8.5,故B错误; 平均数为×(7×4+8×8+9×7+10×6+11×5)=9,故C正确; 因为共有30名党员,故中位数为第15项和第16项的平均数,因为第15项和第16项均为 9,故中位数为9,故D正确. (2)(多选)(2023·新高考全国Ⅰ)有一组样本数据x ,x ,…,x ,其中x 是最小值,x 是最大 1 2 6 1 6 值,则( ) A.x,x,x,x 的平均数等于x,x,…,x 的平均数 2 3 4 5 1 2 6 B.x,x,x,x 的中位数等于x,x,…,x 的中位数 2 3 4 5 1 2 6C.x,x,x,x 的标准差不小于x,x,…,x 的标准差 2 3 4 5 1 2 6 D.x,x,x,x 的极差不大于x,x,…,x 的极差 2 3 4 5 1 2 6 答案 BD 解析 取x=1,x=x=x=x=2,x=9, 1 2 3 4 5 6 则x ,x ,x ,x 的平均数等于2,标准差为0,x ,x ,…,x 的平均数等于3,标准差为=, 2 3 4 5 1 2 6 故A,C均不正确; 根据中位数的定义,将x ,x ,…,x 按从小到大的顺序进行排列,中位数是中间两个数的 1 2 6 算术平均数,由于x 是最小值,x 是最大值,故x ,x ,x ,x 的中位数是将x ,x ,x ,x 1 6 2 3 4 5 2 3 4 5 按从小到大的顺序排列后中间两个数的算术平均数,与 x ,x ,…,x 的中位数相等,故B 1 2 6 正确; 根据极差的定义,知x,x,x,x 的极差不大于x,x,…,x 的极差,故D正确. 2 3 4 5 1 2 6 思维升华 计算一组n个数据k百分位数的步骤 第1步:将所有数值按从小到大的顺序排列; 第2步:计算n·; 第3步:如果结果为整数,那么k百分位数位于第n·位和下一位数之间,通常取这两个位置 上数值的平均数为k百分位数; 第4步:如果n·不是整数,那么将其向上取整(即其整数部分加上1),在该位置上的数值即 为k百分位数. 跟踪训练1 (1)(多选)(2023·商丘模拟)在某次演讲比赛中,由两个评委小组(分别为专业人士 “小组A”和观众代表“小组B”)给参赛选手打分,根据两个评委小组给同一名选手打分的 分值绘制成如图所示的折线图,则下列结论正确的是( ) A.小组A打分的分值的平均数为48 B.小组B打分的分值的中位数为66 C.小组A打分的分值的极差大于小组B打分的分值的极差 D.小组A打分的分值的方差小于小组B打分的分值的方差 答案 ABD 解析 由图可知,小组A打分的平均数为×(43+47+46+48+50+47+54+50+47)=48, 故A正确; 将小组B打分从小到大排列为36,55,58,62,66,68,68,70,75,所以中位数为66,故B正确;小组A打分的分值的极差为54-43=11,小组B打分的分值的极差为75-36=39,故C错 误; 小组A打分的分值相对更集中,所以小组A打分的分值的方差小于小组B打分的分值的方 差,故D正确. (2)某小组成员的年龄分布茎叶图如图所示,则该小组成员年龄的25百分位数是________. 答案 32.5 解析 由茎叶图知数据从小到大排列为27,28,32,33,36,36,38,40,45,52,54,58, 因为12×=3, 所以25百分位数是=32.5. 题型二 总体集中趋势的估计 例2 2024年,安徽、甘肃、广西、贵州、黑龙江、吉林、江西七省区作为第四批实施改革 的省份进入新高考.2023年10月,进入新高考的七个省份相继公布了高考选考科目的试卷结 构.某考试机构举行了新高考适应性考试,在联考结束后,根据联考成绩,考生可了解自己 的学习情况,作出升学规划,决定是否参加强基计划.在本次适应性考试中,某学校为了解 高三学生的联考情况,随机抽取了 100名学生的联考数学成绩作为样本,并按照分数段 [50,70),[70,90),[90,110),[110,130),[130,150]分组,绘制了如图所示的频率直方图. (1)求出图中a的值并估计本次考试的及格率(“及格率”指得分为90分及以上的学生所占比 例); (2)估计该校学生联考数学成绩的80百分位数; (3)估计该校学生联考数学成绩的众数、平均数. 解 (1)由频率直方图的性质, 可得(a+0.004+0.013+0.014+0.016)×20=1, 解得a=0.003. 所以及格率为(0.016+0.014+0.003)×20=0.66=66%.(2)得分在110以下的学生所占比例为(0.004+0.013+0.016)×20=0.66, 得分在130以下的学生所占比例为0.66+0.014×20=0.94, 所以80百分位数位于[110,130)内, 由110+20×=120, 估计80百分位数为120. (3)由图可得,众数的估计值为100. 平均数的估计值为0.08×60+0.26×80+0.32×100+0.28×120+0.06×140=99.6. 思维升华 频率直方图中的数字特征 (1)众数:最高矩形的底边中点的横坐标. (2)中位数:中位数左边和右边的矩形的面积和应该相等. (3)平均数:平均数在频率直方图中等于各组区间的中点值与对应频率之积的和. 跟踪训练2 某市共有居民60万人,为了制定合理的节水方案,对居民用水情况进行了调查, 通过抽样,获得了某年 100位居民每人的月均用水量(单位:吨),将数据按照[0,0.5), [0.5,1),…,[4,4.5]分成9组,制成了如图所示的频率直方图. (1)求a的值,并估计该市居民月均用水量不少于3吨的人数; (2)估计该市居民月均用水量的众数和中位数. 解 (1)由频率直方图,可知(0.04+0.08×2+0.12+0.16+2a+0.42+0.50)×0.5=1, 解得a=0.3; 月均用水量不少于3吨的人数为(0.12+0.08+0.04)×0.5×60×104=72 000. (2)由图可估计众数为2.25; 设中位数为x, 因为前5组的频率之和为0.04+0.08+0.15+0.21+0.25=0.73>0.5, 而前4组的频率之和为0.04+0.08+0.15+0.21=0.48<0.5,所以2,s×(2-6)2=3.2,因为 3.2>2.4,则当平均数为2,方差为2.4时,一定不会出现点数6,故A正确; B选项,若5个点数为3,3,3,5,6,则此时满足中位数为3,平均数为4,则方差s2=×[(3- 4)2×3+(5-4)2+(6-4)2]=1.6,故B错误; C选项,取5个点数为2,2,3,5,6,满足中位数为3,众数为2,故C错误; D选项,取5个点数为1,1,2,5,6,满足中位数为2,平均数为3,故D错误. 二、多项选择题7.(2023·潮州模拟)根据气象学上的标准,如果连续5天的日平均气温都低于10 ℃即为入 冬.现将连续5天的日平均气温的记录数据(记录数据都是自然数)作为一组样本,则下列样 本中一定符合入冬指标的有( ) A.平均数小于4 B.平均数小于4且极差小于或等于3 C.平均数小于4且标准差小于或等于4 D.众数等于5且极差小于或等于4 答案 BD 解析 举反例,如0,0,0,0,15,平均数为3小于4,但不符合入冬标准,故A错误; 假设有数据大于或等于10,由极差小于或等于3知,此组数据最小值大于或等于7,与平均 值小于4矛盾,故假设不成立,故B正确; 举反例,如1,1,1,1,11,平均数为3,且标准差为4,但不符合入冬标准,故C错误; 众数等于5且极差小于或等于4时,最大数不超过9,故D正确. 8.已知数据x,x,…,x 成公差大于0的等差数列,若去掉数据x,则( ) 1 2 9 5 A.极差不变 B.25百分位数变大 C.平均数不变 D.方差变小 答案 AC 解析 选项A,根据极差的定义,原数据的极差为 x -x ,去掉x 后的极差为x -x ,即极 9 1 5 9 1 差不变,故A正确; 选项B,原数据的25百分位数为x ,去掉x 后的25百分位数为(x +x)