当前位置:首页>文档>素养拓展16解三角形中三角形面积和周长(边)的最值(范围)问题(精讲+精练)一轮复习讲义2024年高考数学高频考点题型归纳与方法总结(新高考通用)解析版_2.2025数学总复习

素养拓展16解三角形中三角形面积和周长(边)的最值(范围)问题(精讲+精练)一轮复习讲义2024年高考数学高频考点题型归纳与方法总结(新高考通用)解析版_2.2025数学总复习

  • 2026-04-02 15:40:57 2026-03-26 22:53:31

文档预览

素养拓展16解三角形中三角形面积和周长(边)的最值(范围)问题(精讲+精练)一轮复习讲义2024年高考数学高频考点题型归纳与方法总结(新高考通用)解析版_2.2025数学总复习
素养拓展16解三角形中三角形面积和周长(边)的最值(范围)问题(精讲+精练)一轮复习讲义2024年高考数学高频考点题型归纳与方法总结(新高考通用)解析版_2.2025数学总复习
素养拓展16解三角形中三角形面积和周长(边)的最值(范围)问题(精讲+精练)一轮复习讲义2024年高考数学高频考点题型归纳与方法总结(新高考通用)解析版_2.2025数学总复习
素养拓展16解三角形中三角形面积和周长(边)的最值(范围)问题(精讲+精练)一轮复习讲义2024年高考数学高频考点题型归纳与方法总结(新高考通用)解析版_2.2025数学总复习
素养拓展16解三角形中三角形面积和周长(边)的最值(范围)问题(精讲+精练)一轮复习讲义2024年高考数学高频考点题型归纳与方法总结(新高考通用)解析版_2.2025数学总复习
素养拓展16解三角形中三角形面积和周长(边)的最值(范围)问题(精讲+精练)一轮复习讲义2024年高考数学高频考点题型归纳与方法总结(新高考通用)解析版_2.2025数学总复习
素养拓展16解三角形中三角形面积和周长(边)的最值(范围)问题(精讲+精练)一轮复习讲义2024年高考数学高频考点题型归纳与方法总结(新高考通用)解析版_2.2025数学总复习
素养拓展16解三角形中三角形面积和周长(边)的最值(范围)问题(精讲+精练)一轮复习讲义2024年高考数学高频考点题型归纳与方法总结(新高考通用)解析版_2.2025数学总复习
素养拓展16解三角形中三角形面积和周长(边)的最值(范围)问题(精讲+精练)一轮复习讲义2024年高考数学高频考点题型归纳与方法总结(新高考通用)解析版_2.2025数学总复习
素养拓展16解三角形中三角形面积和周长(边)的最值(范围)问题(精讲+精练)一轮复习讲义2024年高考数学高频考点题型归纳与方法总结(新高考通用)解析版_2.2025数学总复习
素养拓展16解三角形中三角形面积和周长(边)的最值(范围)问题(精讲+精练)一轮复习讲义2024年高考数学高频考点题型归纳与方法总结(新高考通用)解析版_2.2025数学总复习
素养拓展16解三角形中三角形面积和周长(边)的最值(范围)问题(精讲+精练)一轮复习讲义2024年高考数学高频考点题型归纳与方法总结(新高考通用)解析版_2.2025数学总复习
素养拓展16解三角形中三角形面积和周长(边)的最值(范围)问题(精讲+精练)一轮复习讲义2024年高考数学高频考点题型归纳与方法总结(新高考通用)解析版_2.2025数学总复习
素养拓展16解三角形中三角形面积和周长(边)的最值(范围)问题(精讲+精练)一轮复习讲义2024年高考数学高频考点题型归纳与方法总结(新高考通用)解析版_2.2025数学总复习
素养拓展16解三角形中三角形面积和周长(边)的最值(范围)问题(精讲+精练)一轮复习讲义2024年高考数学高频考点题型归纳与方法总结(新高考通用)解析版_2.2025数学总复习
素养拓展16解三角形中三角形面积和周长(边)的最值(范围)问题(精讲+精练)一轮复习讲义2024年高考数学高频考点题型归纳与方法总结(新高考通用)解析版_2.2025数学总复习
素养拓展16解三角形中三角形面积和周长(边)的最值(范围)问题(精讲+精练)一轮复习讲义2024年高考数学高频考点题型归纳与方法总结(新高考通用)解析版_2.2025数学总复习
素养拓展16解三角形中三角形面积和周长(边)的最值(范围)问题(精讲+精练)一轮复习讲义2024年高考数学高频考点题型归纳与方法总结(新高考通用)解析版_2.2025数学总复习
素养拓展16解三角形中三角形面积和周长(边)的最值(范围)问题(精讲+精练)一轮复习讲义2024年高考数学高频考点题型归纳与方法总结(新高考通用)解析版_2.2025数学总复习
素养拓展16解三角形中三角形面积和周长(边)的最值(范围)问题(精讲+精练)一轮复习讲义2024年高考数学高频考点题型归纳与方法总结(新高考通用)解析版_2.2025数学总复习
素养拓展16解三角形中三角形面积和周长(边)的最值(范围)问题(精讲+精练)一轮复习讲义2024年高考数学高频考点题型归纳与方法总结(新高考通用)解析版_2.2025数学总复习
素养拓展16解三角形中三角形面积和周长(边)的最值(范围)问题(精讲+精练)一轮复习讲义2024年高考数学高频考点题型归纳与方法总结(新高考通用)解析版_2.2025数学总复习
素养拓展16解三角形中三角形面积和周长(边)的最值(范围)问题(精讲+精练)一轮复习讲义2024年高考数学高频考点题型归纳与方法总结(新高考通用)解析版_2.2025数学总复习
素养拓展16解三角形中三角形面积和周长(边)的最值(范围)问题(精讲+精练)一轮复习讲义2024年高考数学高频考点题型归纳与方法总结(新高考通用)解析版_2.2025数学总复习
素养拓展16解三角形中三角形面积和周长(边)的最值(范围)问题(精讲+精练)一轮复习讲义2024年高考数学高频考点题型归纳与方法总结(新高考通用)解析版_2.2025数学总复习
素养拓展16解三角形中三角形面积和周长(边)的最值(范围)问题(精讲+精练)一轮复习讲义2024年高考数学高频考点题型归纳与方法总结(新高考通用)解析版_2.2025数学总复习
素养拓展16解三角形中三角形面积和周长(边)的最值(范围)问题(精讲+精练)一轮复习讲义2024年高考数学高频考点题型归纳与方法总结(新高考通用)解析版_2.2025数学总复习
素养拓展16解三角形中三角形面积和周长(边)的最值(范围)问题(精讲+精练)一轮复习讲义2024年高考数学高频考点题型归纳与方法总结(新高考通用)解析版_2.2025数学总复习
素养拓展16解三角形中三角形面积和周长(边)的最值(范围)问题(精讲+精练)一轮复习讲义2024年高考数学高频考点题型归纳与方法总结(新高考通用)解析版_2.2025数学总复习
素养拓展16解三角形中三角形面积和周长(边)的最值(范围)问题(精讲+精练)一轮复习讲义2024年高考数学高频考点题型归纳与方法总结(新高考通用)解析版_2.2025数学总复习
素养拓展16解三角形中三角形面积和周长(边)的最值(范围)问题(精讲+精练)一轮复习讲义2024年高考数学高频考点题型归纳与方法总结(新高考通用)解析版_2.2025数学总复习
素养拓展16解三角形中三角形面积和周长(边)的最值(范围)问题(精讲+精练)一轮复习讲义2024年高考数学高频考点题型归纳与方法总结(新高考通用)解析版_2.2025数学总复习
素养拓展16解三角形中三角形面积和周长(边)的最值(范围)问题(精讲+精练)一轮复习讲义2024年高考数学高频考点题型归纳与方法总结(新高考通用)解析版_2.2025数学总复习
素养拓展16解三角形中三角形面积和周长(边)的最值(范围)问题(精讲+精练)一轮复习讲义2024年高考数学高频考点题型归纳与方法总结(新高考通用)解析版_2.2025数学总复习
素养拓展16解三角形中三角形面积和周长(边)的最值(范围)问题(精讲+精练)一轮复习讲义2024年高考数学高频考点题型归纳与方法总结(新高考通用)解析版_2.2025数学总复习
素养拓展16解三角形中三角形面积和周长(边)的最值(范围)问题(精讲+精练)一轮复习讲义2024年高考数学高频考点题型归纳与方法总结(新高考通用)解析版_2.2025数学总复习
素养拓展16解三角形中三角形面积和周长(边)的最值(范围)问题(精讲+精练)一轮复习讲义2024年高考数学高频考点题型归纳与方法总结(新高考通用)解析版_2.2025数学总复习
素养拓展16解三角形中三角形面积和周长(边)的最值(范围)问题(精讲+精练)一轮复习讲义2024年高考数学高频考点题型归纳与方法总结(新高考通用)解析版_2.2025数学总复习
素养拓展16解三角形中三角形面积和周长(边)的最值(范围)问题(精讲+精练)一轮复习讲义2024年高考数学高频考点题型归纳与方法总结(新高考通用)解析版_2.2025数学总复习
素养拓展16解三角形中三角形面积和周长(边)的最值(范围)问题(精讲+精练)一轮复习讲义2024年高考数学高频考点题型归纳与方法总结(新高考通用)解析版_2.2025数学总复习
素养拓展16解三角形中三角形面积和周长(边)的最值(范围)问题(精讲+精练)一轮复习讲义2024年高考数学高频考点题型归纳与方法总结(新高考通用)解析版_2.2025数学总复习
素养拓展16解三角形中三角形面积和周长(边)的最值(范围)问题(精讲+精练)一轮复习讲义2024年高考数学高频考点题型归纳与方法总结(新高考通用)解析版_2.2025数学总复习
素养拓展16解三角形中三角形面积和周长(边)的最值(范围)问题(精讲+精练)一轮复习讲义2024年高考数学高频考点题型归纳与方法总结(新高考通用)解析版_2.2025数学总复习
素养拓展16解三角形中三角形面积和周长(边)的最值(范围)问题(精讲+精练)一轮复习讲义2024年高考数学高频考点题型归纳与方法总结(新高考通用)解析版_2.2025数学总复习
素养拓展16解三角形中三角形面积和周长(边)的最值(范围)问题(精讲+精练)一轮复习讲义2024年高考数学高频考点题型归纳与方法总结(新高考通用)解析版_2.2025数学总复习
素养拓展16解三角形中三角形面积和周长(边)的最值(范围)问题(精讲+精练)一轮复习讲义2024年高考数学高频考点题型归纳与方法总结(新高考通用)解析版_2.2025数学总复习
素养拓展16解三角形中三角形面积和周长(边)的最值(范围)问题(精讲+精练)一轮复习讲义2024年高考数学高频考点题型归纳与方法总结(新高考通用)解析版_2.2025数学总复习
素养拓展16解三角形中三角形面积和周长(边)的最值(范围)问题(精讲+精练)一轮复习讲义2024年高考数学高频考点题型归纳与方法总结(新高考通用)解析版_2.2025数学总复习
素养拓展16解三角形中三角形面积和周长(边)的最值(范围)问题(精讲+精练)一轮复习讲义2024年高考数学高频考点题型归纳与方法总结(新高考通用)解析版_2.2025数学总复习
素养拓展16解三角形中三角形面积和周长(边)的最值(范围)问题(精讲+精练)一轮复习讲义2024年高考数学高频考点题型归纳与方法总结(新高考通用)解析版_2.2025数学总复习
素养拓展16解三角形中三角形面积和周长(边)的最值(范围)问题(精讲+精练)一轮复习讲义2024年高考数学高频考点题型归纳与方法总结(新高考通用)解析版_2.2025数学总复习

文档信息

文档格式
docx
文档大小
1.932 MB
文档页数
47 页
上传时间
2026-03-26 22:53:31

文档内容

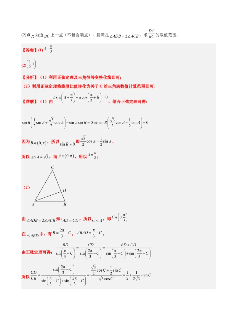
【一轮复习讲义】2024年高考数学高频考点题型归纳与方法总结(新高考通用) 素养拓展 16 解三角形中三角形面积和周长(边)的最值(范 围)问题(精讲+精练) 一、知识点梳理 1.正弦定理 a b c = = =2R sinA sinB sinC .(其中 为 外接圆的半径) (边化角) (角化边) 2.余弦定理: 3.三角形面积公式: 1 1 1 S = absinC= bcsinA= acsinB 1 ΔABC 2 2 2 (a+b+c)r(r为三角形ABC的内切圆半) 径 =2 4.三角形内角和定理: 在△ABC中,有 . 5.基本不等式(优先用基本不等式) ① ② 6.利用正弦定理化角(函数角度求值域问题) 利用正弦定理 , ,代入面积公式,化角,再结合辅助角公式,根据角的取值范 围,求面积或者周长的最值。 二、题型精讲精练【典例1】若 , ,求 的最大值.建议使用两种方法来解决: 法一:余弦定理+不等式. 法二:正弦定理+辅助角公式+三角形面积公式. 【分析】方法一:利用余弦定理和基本不等式可求得 ,代入三角形面积公式即可求得最大值; 方法二:利用正弦定理边化角,结合三角恒等变换知识可化简得到 ,结合 的范围, 由正弦型函数值域的求法可求得 的范围,代入三角形面积公式即可求得最大值. 解:方法一:由余弦定理得: , (当且仅当 时取等号), , (当且仅当 时取等号), 的最大值为 ; 方法二:由正弦定理得: , ; , , , , , 的最大值为 . 【典例2】若 , ,求 周长的取值范围.建议使用两种方法来解决: 法一:余弦定理+不等式+三角形三边关系. 法二:正弦定理+辅助角公式. 【分析】方法一:利用余弦定理构造方程,根据 可求得 的最大值,结合三角形三边关系可 求得结果; 方法二:利用正弦定理角化边,可将 化为 ,结合 的范围,由正弦型函数值域的求 法可求得结果.解:方法一:由余弦定理得: , 又 (当且仅当 时取等号), , 解得: (当且仅当 时取等号), 又 , , 周长 的取值范围为 ; 方法二:由正弦定理得: , , , , , , 即 周长的取值范围为 . 【题型训练1-刷真题】 1.(2022·全国·统考高考真题)记 的内角A,B,C的对边分别为a,b,c,已知 . (1)若 ,求B; (2)求 的最小值. 【答案】(1) ;(2) . 【分析】(1)根据二倍角公式以及两角差的余弦公式可将 化成 ,再 结合 ,即可求出; (2)由(1)知, , ,再利用正弦定理以及二倍角公式将 化成,然后利用基本不等式即可解出. 【详解】(1)因为 ,即 , 而 ,所以 ; (2)由(1)知, ,所以 , 而 , 所以 ,即有 ,所以 所以 . 当且仅当 时取等号,所以 的最小值为 . 2.(2020·全国·统考高考真题) 中,sin2A-sin2B-sin2C=sinBsinC. (1)求A; (2)若BC=3,求 周长的最大值. 【答案】(1) ;(2) . 【分析】(1)利用正弦定理角化边,配凑出 的形式,进而求得 ; (2)方法一:利用余弦定理可得到 ,利用基本不等式可求得 的最大值, 进而得到结果. 【详解】(1)由正弦定理可得: , ,, . (2)[方法一]【最优解】:余弦+不等式 由余弦定理得: , 即 . (当且仅当 时取等号), , 解得: (当且仅当 时取等号), 周长 , 周长的最大值为 . [方法二]:正弦化角(通性通法) 设 ,则 ,根据正弦定理可知 ,所以 ,当且仅当 ,即 时,等号成立.此时 周长的最大值为 . [方法三]:余弦与三角换元结合 在 中,角A,B,C所对的边分别为a,b,c.由余弦定理得 ,即 . 令 ,得 ,易知当 时, ,所以 周长的最大值为 . 3.(2020·浙江·统考高考真题)在锐角△ABC中,角A,B,C的对边分别为a,b,c,且 . (I)求角B的大小; (II)求cosA+cosB+cosC的取值范围. 【答案】(I) ;(II) 【分析】(I)方法二:首先利用正弦定理边化角,然后结合特殊角的三角函数值即可确定角B的大小; (II)方法二:结合(Ⅰ)的结论将含有三个角的三角函数式化简为只含有角A的三角函数式,然后由三角形 为锐角三角形确定角A的取值范围,最后结合三角函数的性质即可求得 的取值范围. 【详解】(I) [方法一]:余弦定理 由 ,得 ,即 . 结合余弦定理 , ∴ , 即 , 即 ,即 , 即 , ∵ 为锐角三角形,∴ , ∴ , 所以 , 又B为 的一个内角,故 .[方法二]【最优解】:正弦定理边化角 由 ,结合正弦定理可得: 为锐角三角形,故 . (II) [方法一]:余弦定理基本不等式 因为 ,并利用余弦定理整理得 , 即 . 结合 ,得 . 由临界状态(不妨取 )可知 . 而 为锐角三角形,所以 . 由余弦定理得 , ,代入化简得 故 的取值范围是 . [方法二]【最优解】:恒等变换三角函数性质 结合(1)的结论有: . 由 可得: , ,则 , .即 的取值范围是 . 【题型训练2-刷模拟】 1 . 面积的最值(范围)问题 一、解答题 1.(2023·江西宜春·校联考模拟预测)在 中,角 , , 的对边分别是 , , ,满足 . (1)求角 ; (2)若点D在AB上,CD=2,∠BCD=90°,求 ABC面积的最小值. △ 【答案】(1) (2) 【分析】(1)由余弦定理边角化即可求解, (2)由面积公式以及基本不等式即可求解. 【详解】(1)由 可得: , 由余弦定理知, , 又 ,因此 .- (2)∵ ,即 , ∴ ≥ ∴ab≥ ,当且仅当b=2a,即a= ,b= 取等号 ∴ = ≥ ∴△ABC面积的最小值为2.(2023·吉林通化·梅河口市第五中学校考模拟预测) 的内角A,B,C的对边分别为a,b,c,已 知 . (1)求A; (2)若 ,求 面积的最大值. 【答案】(1) (2) 【分析】(1)由二倍角余弦公式及正弦边角关系得 ,根据余弦定理求 的余弦值,进而 确定其大小; (2)由已知和余弦定理得 ,再由 求面积最大值,注意取值条件. 【详解】(1)由已知 , 即 ,由正弦边角关系得 , 所以 ,又 ,所以 . (2)由余弦定理,得 ,又 , 所以 ,当且仅当 时等号成立, 所以 ,故 的面积的最大值为 . 3.(2023·河北秦皇岛·秦皇岛一中校考二模)已知 内角 所对的边长分别为 . (1)求 ; (2)若 为锐角三角形,且 ,求 面积的取值范围. 【答案】(1) (2)【分析】(1)利用余弦定理可得 ,结合三角形内角性质求角的大小; (2)法一:由已知可得 ,应用正弦边角关系及三角形面积公式可得 即可得范围; 法二:根据三角形为锐角三角形,应用几何法找到边界情况求面积的范围. 【详解】(1)由余弦定理得 ,即 , 所以 ,又 ,则 . (2)法一: 为锐角三角形, ,则 , 所以 ,可得 , 又 ,则 ,故 由 ,即 而 , 所以 ,故 面积的取值范围为 . 法二:由 ,画出如图所示三角形, 为锐角三角形, 点 落在线段 (端点 除外)上, 当 时, ,当 时, , . 4.(2023·新疆喀什·校考模拟预测)记 的内角A,B,C的对边分别为a,b,c,已知 . (1)求∠C. (2)若 ,求 面积的最小值. 【答案】(1) (2) 【分析】(1)根据题意结合正余弦定理分析运算; (2)根据题意利用正弦定理可得 ,结合基本不等式解得 ,进而可得结果. 【详解】(1)因为 , 即 , 整理得 , 由正弦定理可得 , 由余弦定理可得 , 且 ,可得 (2)因为 ,由正弦定理可得 , 整理得 ,当且仅当 时,等号成立, 解得 , 则 面积 , 所以 面积的最小值为 . 5.(2023·西藏日喀则·统考一模)已知 的三个内角分别为 、 、 ,其对边分别为 、 、 ,若. (1)求角 的值; (2)若 ,求 面积 的最大值. 【答案】(1) (2) 【分析】(1)利用正弦定理、弦化切以及三角恒等变换可求得 的值,结合角 的取值范围可求得角 的值; (2)利用余弦定理可求出 的最大值,再利用三角形的面积公式可求得 的最大值. 【详解】(1)解:因为 , 所以, ,且 , 由正弦定理可得 , 即 , 因为 ,则 ,则 , 又因为 ,故 . (2)解:由余弦定理 ,可得 . 当且仅当 时取得等号,所以 . 所以, 面积 , 所以, 面积 的最大值为 . 6.(2023春·安徽池州·高三池州市第一中学校考阶段练习) 的内角 的对边分别为 ,已知 . (1)求角 的值; (2)若 为锐角三角形,且 ,求 面积的取值范围. 【答案】(1) (2) 【分析】(1)切化弦,利用正弦定理将已知等式统一用角表示,再利用两角和与差的正、余弦公式整理 可得角 . (2)把 的面积表示为 的形式,代入已知量利用正弦定理将面积统一用角 、 表 示,再利用角 、 的关系消元转化为求一元函数的值域. 【详解】(1)解:根据题意 , 由正弦定理得 , , ,故 , . (2)因为 是锐角三角形,由(1)知 得到 , 故 ,解得 . 又由正弦定理得:又 , 故 .故 的取值范围是 7.(2023·全国·高三专题练习)在 中,角A,B,C对边分别为a,b,c, ,D为 边上一点, 平分 . (1)求角A; (2)求 面积的最小值. 【答案】(1) ; (2) 【分析】(1)利用题给条件和正弦定理余弦定理即可求得角A; (2)利用题给条件求得 ,再利用均值定理求得 最小值,进而求得 面积的最小值. 【详解】(1)由 ,可得 , 整理得 ,则 , 又 ,则 . (2)过点D作 于E,作 于F, 又 ,则 , 则 , 则 ,又 (当且仅当 时等号成立), 则 ,则 ,则 (当且仅当 时等号成立), 则 面积的最小值为 . 8.(2023·全国·高三专题练习)在 中,角 的对边分别为 . (1)求 ; (2)若 ,且 ,求 面积的取值范围. 【答案】(1) (2) 【分析】(1)由同角三角函数的基本关系将切化弦得到 ,即可得解; (2)利用正弦定理将边化角,即可求出 ,再由余弦定理及基本不等式求出 ,由对数的运算性质 及诱导公式得到 ,即可求出 的取值范围,在结合三角形面积公式计算可得. 【详解】(1)因为 ,所以 . 在 中, ,所以 ,则 . 因为 ,所以 . (2)由 及正弦定理得 , 所以 . 由余弦定理得 , 所以 ,当且仅当 时,等号成立.因为 ,所以 ,则 , 所以 ,因为 的面积为 , 所以 面积的取值范围是 . 9.(2023·浙江·校联考模拟预测)在 中,角 所对的边分别为 . (1)若 外接圆的半径为 ,求 面积的最大值; (2)若 内切圆的半径为 ,求 面积的最小值. 【答案】(1) (2) 【分析】(1)由条件可得角 ,用面积公式 表示出 面积,用余弦定理找到 、 的关 系式,然后用基本不等式即可求解; (2)求得角 后,由 内切圆的半径为 ,可得边长的关系式,然后用基本不等式化和为积,进而 解不等式即可求解. 【详解】(1)由 得, , 所以 ,又 ,所以 , 所以 ,因为 ,所以 ; 由 外接圆的半径为 ,则得 , 由余弦定理得, ,即 , 所以 ,解得所以 ,故 面积的最大值为 . (2)如图,圆 是 的内切圆,切点分别是 、 、 , 由 ,内切圆的半径为 ,所以 , 则 , , 所以 , 即得 , 而 ,所以 , 所以 ,解得 舍去), 所以 , 故 面积的最小值为 . 10.(2023·全国·高三专题练习)在 中,角 , , 的对边分别为 , , ,且 . (1)求 ; (2)若 ,且 ,求 面积的取值范围. 【答案】(1) (2) 【分析】(1)由 得出 ,结合 ,即可得出答案;(2)由 得出 ,由余弦定理得出 ,再由 及 得出 ,结合三角形面积公式,即可得出面积的范围. 【详解】(1)因为 , 所以 . 由余弦定理得 . 因为 , 所以 . (2)由 及正弦定理,得 , 所以 , 由余弦定理得, , 所以 当且仅当 时,等号成立, 因为 , 所以 ,则 , 所以 , 因为 的面积为 , 所以 面积的取值范围是 . 11.(2023·江西·校联考二模)在 中,角 所对的边分别为 ,已知 . (1)求角 ; (2)若 为锐角三角形,且 ,求 面积的取值范围.【答案】(1) (2) 【分析】(1)根据正弦定理角化边,余弦定理求解即可; (2)由题知 ,进而结合正弦定理得 ,再根据面积公式,结合三角恒等变换求解即可. 【详解】(1)解:因为 所以 整理可得 , 所以,由正弦定理可得: . 由余弦定理知, , 因为 ,所以 (2)解:由(1)知, ,所以 , 又 是锐角三角形, 所以, 且 ,解得 , 因为,由正弦定理知: , , 所以 所以 因为 , 所以 ,所以所以, 面积的取值范围为 . 12.(2023·广东茂名·统考二模)已知 中,角 , , 所对的边分别为 , , ,且 . (1)求角 的大小; (2)若 ,点 、 在边 上, ,求 面积的最小值. 【答案】(1) (2) 【分析】(1) 用余弦定理将 用边表示后,再用余弦定理即可求得角 ; (2) ,用面积公式将 的面积表示为角 的函数进行求解. 【详解】(1)因为 ,由余弦定理,得 , 化简整理得: , 由余弦定理,得 , 因为 ,所以 ,即角 的大小为 . (2)如图: 设 , 在 中,由正弦定理,得 , 由(1)和 可知, , , 所以 ,在 中,同理可得 ,因为 ,所以 , 因为 ,所以 , 所以当 ,即 时 面积取得最小值为 . 13.(2023·黑龙江大庆·大庆实验中学校考模拟预测)在△ABC中,角A,B,C所对的边分别为a,b, c,已知 ,其中, . (1)求角B的大小; (2)若 ,求△ABC面积的最大值. 【答案】(1) (2) 【分析】(1)方法一:利用正弦定理化边为角,再结合三角形内角和定理及两角和的正弦公式即可得解; 方法二:利用余弦定理化角为边,即可得解; (2)利用余弦定理结合已知及基本不等式求出 的最大值,再根据三角形的面积公式即可得解. 【详解】(1)方法一:由 , 根据正弦定理边化角得: , 即 ,所以 , 因为 ,所以 ,又 ,所以 , 又 ,所以 ; 方法二:由 , 根据余弦定理:得 ,即 , 因为 ,所以 , 所以 ,又 ,得 ; (2)由(1)及余弦定理知 , 所以 , 因为 , 所以 ,化简得 , 因为 , ,所以 , , 所以 ,当且仅当 ,即 , 时取等号, 所以 的面积 , 所以 面积的最大值为 . 14.(2023·浙江·校联考模拟预测)在 中,a,b,c分别为内角A,B,C的对边,且 . (1)求A; (2)点D在边 上,且 , ,求 面积的最大值. 【答案】(1) (2) 【分析】(1)由正弦定理角化边再结合余弦定理求得A即可; (2)由向量建立等量关系,结合基本不等式求得 面积的最大值即可. 【详解】(1)∵ , ∴ ,即 , ∴ , ∴ . (2)根据题意可得 , 所以平方可得 . 又 ,所以 , 当且仅当 , 时,等号成立, 所以 , 即 面积的最大值为 . 15.(2023·江西·江西省丰城中学校联考模拟预测)记 的内角A,B,C的对边分别为a,b,c,已知 . (1)求 的值; (2)若 ,求三角形ABC面积的最大值. 【答案】(1) (2) 【分析】(1)利用正弦定理化角为边即可得解; (2)先利用余弦定理求出 ,再根据平方关系求出 ,再根据三角形的面积公式结合二次函数的性 质即可得解. 【详解】(1)因为 , 由正弦定理得 ,即 ,所以 ,所以 ; (2) ,故 , 则 , 则 , 当 时, , 所以三角形ABC面积的最大值为 . 16.(2023·湖南长沙·周南中学校考三模)在 中,角 、 、 所对的边分别为 、 、 , . (1)求 ; (2)若 ,求 面积 的最小值. 【答案】(1) (2) 【分析】(1)利用正弦定理结合两角和的余弦公式化简可得出 ,即可求得 的值; (2)分析可知 、 均为锐角,利用两角和的正切公式结合基本不等式可得出 ,求出 的 最小值,即可求得 的最小值. 【详解】(1)解: , . 由正弦定理得 .. 因为 ,则 , , , 则 , 所以, ,即 , 所以, , ,即 . (2)解:由(1)得 . 若 ,则 、 均为钝角,则 ,矛盾, 所以, , ,此时 、 均为锐角,合乎题意, , 当且仅当 时,等号成立,且 为钝角. ,则 ,且 为锐角, 由 ,解得 ,即 , 当且仅当 时,等号成立, , .因此, 面积的最小值为 . 2 . 周长(边)的最值(范围)问题 一、解答题 1.(2023春·四川成都·高三四川省成都市玉林中学校考阶段练习)在 中, . (1)求 ; (2)若 ,求 周长的最小值. 【答案】(1) (2)9 【分析】(1)利用正弦定理边角互化即可求解; (2)利用余弦定理结合均值不等式求解即可. 【详解】(1)因为 ,所以由正弦定理得 , 又因为 , ,所以 ,即有 , 又因为 ,所以 . (2)因为 , , 所以由余弦定理可得 , 当 时,等号成立,所以 , 故 周长的最小值9. 2.(2023·全国·高三专题练习)设锐角三角形ABC的内角A,B,C的对边分别为a,b,c,已知 (1)求角A的大小. (2)若 ,求c的取值范围. 【答案】(1)(2) 【分析】(1)根据正弦定理边角互化即可得 ,结合余弦定理即可求解; (2)根据正弦定理结合两角和的正弦公式,即可由 得 ,即可求解. 【详解】(1)由已知条件及正弦定理,得 , 即 .整理得 . 由余弦定理,得 . 又因为 ,所以 . (2)由正弦定理,得 . 又 , ,所以 . 因为 为锐角三角形,所以 解得 . 所以 ,则 , 所以 ,即c的取值范围为 3.(2023秋·贵州贵阳·高三统考期末)已知平面四边形 中, ,若 , 的面积为 . (1)求 的长; (2)求四边形 周长的最大值. 【答案】(1) (2)周长的最大值为【分析】(1)由 的面积求得 ,再由余弦定理求 的长; (2) 与 已知,由余弦定理求 的最大值,即可得四边形 周长的最大值. 【详解】(1)在 中,由题意有 ,解得 , 又由余弦定理得 , 所以 . (2) , ,设 , 四边形 周长设为 ,则 ,由题可知, , 在 中,由余弦定理得( , 则 所以 ,即 , 当且仅当 时等号成立, 所以 ,即四边形 周长的最大值为 4.(2023·全国·模拟预测)在锐角三角形 中,角 , , 的对边分别是 , , ,满足 . (1)求角 的大小; (2)若 的外接圆半径为 ,求 周长的取值范围. 【答案】(1) (2) 【分析】(1)利用正弦定理和余弦定理化角为边,再根据余弦定理即可得解; (2)先利用正弦定理求出 ,再根据三角形内角和定理结合三角函数即可得解. 【详解】(1)因为 , 所以 ,即 ,所以 ,所以 , 又因 ,所以 ; (2)因为 的外接圆半径为 , 所以 , 所以 , 则 , 由三角形为锐角三角形, ,得 ,则 ,所以 , 所以 周长的取值范围为 . 5.(2023·河北张家口·张家口市宣化第一中学校考三模)在三角形ABC中,内角A,B,C的对边分别为 a,b,c,已知 . (1)求A; (2)若 ,求BC边上的高AD的最大值. 【答案】(1) ; (2) . 【分析】(1)利用正弦定理和余弦定理化简已知等式即得解; (2)利用余弦定理和基本不等式求出 ,再求出 ,即得解. 【详解】(1)根据正弦定理可得 , 又 ,∴ . ∵ ,∴ .(2) ,∴ , 当且仅当 时取等号. ∵ ,∴ , ∴ , ∴ ,∴AD的最大值为 . 6.(2023·全国·高三专题练习)在 中,内角A,B,C所对的边分别为a,b,c,已知 ,C= . (1)当 时,求 的面积; (2)求 周长的取值范围. 【答案】(1) (2) 【分析】(1)由已知及三角函数恒等变换的应用化简可得 ,分类讨论可求出a,b 的值,利用三角形面积公式即可计算得出结论; (2)由余弦定理及已知条件可得 ,利用基本不等式可得 ,解 得 ,从而可求得周长的最大值. 【详解】(1)由 ,得 , 即 , 即 ,当 时, ,得 ; 当 时, ,由正弦定理得 , 由余弦定理及已知条件可得 , 联立 . 解得 , 故三角形的面积为 . (2)法一:由余弦定理可得: , 由 得 ,当且仅当a=b取等号. 又 ,即 . 即 周长的取值范围是 . 法二: , 中,由正弦定理有 , . 即 周长的取值范围是 . 7.(2023·河南郑州·统考模拟预测)在锐角 中,内角A,B,C的对边分别为a,b,c,若 , .(1)求角B的大小; (2)求 的取值范围. 【答案】(1) (2) 【分析】(1)利用余弦定理即可求解; (2)根据(1)的结论及三角的内角和定理,利用正弦定理的边角化及两角差的正弦公式,结合锐角三角 形求出角的范围及正切函数的性质即可求解. 【详解】(1)由 及余弦定理,得 , 由锐角 ,知 , 所以 . (2)由(1)知 ,得 ,故 , 由正弦定理 ,得 , 由 为锐角三角形得 解得 , ∴ , ∴ .故 的取值范围为 . 8.(2023·重庆·重庆南开中学校考模拟预测)在 中,内角A、 、 所对的边分别为 、 、 ,已 知 . (1)求角A的大小;(2)点 为边 上一点(不包含端点),且满足 ,求 的取值范围. 【答案】(1) (2) 【分析】(1)利用正弦定理及三角恒等变换化简即可; (2)利用正弦定理将线段比值转化为关于C的三角函数值计算范围即可. 【详解】(1)由 ,结合正弦定理可得: 因为 ,所以 即 , 所以 ,而 ,所以 ; (2) 由 知: ,所以 ,即 在 中,有 , , 由正弦定理可得: 所以由 可得 ,所以 . 9.(2023·山东济宁·嘉祥县第一中学统考三模)已知锐角 的内角 , , 的对边分别为 , , , 且 . (1)求角 的大小; (2)若 ,求 的取值范围. 【答案】(1) (2) 【分析】(1)利用诱导公式及正弦定理将边化角,再由两角和的正弦公式求出 ,即可得解; (2)利用正弦定理将边化角,转化为角 的三角函数,再由 的取值范围,求出 的范围. 【详解】(1)由 ,即 , 得 , 由正弦定理可得 , 所以 , 所以 ,因为 ,所以 , 所以 ,又 ,所以 . (2)由正弦定理 , 所以 .因为 为锐角三角形,且 , 所以 ,解得 , 所以 , , 所以 , ,所以 的取值范围为 . 10.(2023秋·黑龙江齐齐哈尔·高三统考期末) 的内角A,B,C的对边分别为a,b,c,设 . (1)求B; (2)若 的面积等于 ,求 的周长的最小值. 【答案】(1) (2) 【分析】(1)利用正弦定理化边为角,再根据辅助角公式及三角函数即可得解; (2)由题意可得ac=4,再利用余弦定理结合基本不等式即可得出答案. 【详解】(1)解:因为 , 所以 , 因为 , 所以 , 所以 , ∵ ,所以 , 所以 ,∴ ;(2)解:依题意 ,∴ac=4, 所以 ,当且仅当 时取等号, 又由余弦定理得 , ∴ ,当且仅当a=c=2时取等号, 所以 的周长最小值为 . 11.(2023·全国·模拟预测)在 中,角A,B,C所对的边分别是a,b,c.已知 . (1)求A; (2)若 ,求 的周长的取值范围. 【答案】(1) (2) 【分析】(1)利用正弦定理化简已知条件,求得 ,进而求得 . (2)结合正弦定理以及三角恒等变换的知识将三角形 的周长表示为三角函数的形式,通过三角函数 值域的求法求得三角形 的周长的取值范围. 【详解】(1)由 , 得 , 由正弦定理得 , 所以 , 又因为 ,所以 , 由于 ,所以角 ;(2)由(1)知 ,所以 ,则 , 由正弦定理: 得 , 所以 , . 所以 . 因为 ,所以 . 所以 . 所以 , 所以 周长的取值范围为 . 12.(2023·甘肃兰州·兰州五十九中校考模拟预测)已知 ABC中,C= ,角A,B,C的对边分别为 △ a,b,c. (1)若a,b,c依次成等差数列,且公差为2,求c的值; (2)若 ABC的外接圆面积为π,求 ABC周长的最大值. 【答案△】(1)7 △ (2)2+ . 【分析】(1)由等差数列的性质把 用 表示,然后由余弦定理可求得 ; (2)设B=θ,求出外接圆半径后由正弦定理把 用 表示,从而把三角形周长表示为 的函数,由三 角恒等变换化函数为一个角的一个三角函数后,利用正弦函数性质得最大值. 【详解】(1)∵a,b,c依次成等差数列,且公差为2,∴b-a=c-b=2,∴b=c-2,a=c-4, ∵C= ,由余弦定理得 cos = = =- , 整理得c2-9c+14=0,解得c=7或c=2, 又a=c-4>0,则c>4,∴c=7. (2)设B=θ,外接圆的半径为R,则πR2=π, 解得R=1,由正弦定理可得 = = =2R=2, ∴ = = =2, 可得b=2sin θ,a=2sin ,c= , ∴△ABC的周长=2sin θ+2sin + =2sin θ+2sin cos θ-2cos sin θ+ =sin θ+ cos θ+ =2sin + , 又θ∈ ,∴ <θ+ , ∴当θ+ = ,即θ= 时,△ABC的周长取得最大值2+ . 13.(2023·贵州贵阳·校联考模拟预测)记 内角A,B,C的对边分别为a,b,c,且 . (1)求C; (2)若 为锐角三角形, ,求 周长范围. 【答案】(1)(2) 【分析】(1)应用正弦定理及余弦定理解三角形即可; (2)先应用正弦定理用角表示边长,再根据锐角三角形求角的范围,最后求三角函数的值域即得. 【详解】(1)在 中,由射影定理得 , 则题述条件化简为 , 由余弦定理得 . 可得 所以 . (2)在 中, 由正弦定理得 , 则 周长 , 因为 ,则 , 因为 为锐角三角形, , 则得 , 故 . 14.(2023·湖南·铅山县第一中学校联考三模)已知 的内角 , , 的对边分别为 , , ,若 . (1)求 的值; (2)若 的面积为 ,求 周长的最大值. 【答案】(1)(2)12 【分析】(1)法一:设 , ,由正弦定理得到 ,利用积化和 差公式得到 ,求出答案; 法二:设 , ,由正弦定理得到 ,由三角恒等变换得到 ,求出答案; (2)由面积公式得到 ,由正弦定理结合三角恒等变换得到 ,结合 的范围,求出 最值. 【详解】(1)法一: 设 , , 在 中,由正弦定理得 , , , 代入已知化简得 , 又在 中有: , 即 , ∵ , 即 ,所以 ,所以 . 法二:设 , , 在 中,由正弦定理得 , , , 代入已知化简得 , 又在 中有: , 即 , ∵, 即 ,所以 ,所以 . (2)在 中有 , , 即 , 由正弦定理得: , 故 , , , 因在 中, , , , 所以 ,当 时,等号成立,周长取得最大值12. 15.(2023·陕西西安·长安一中校考二模) 的内角A,B,C的对边分别为a,b,c已知 . (1)求B; (2)若 为锐角三角形,且 ,求△ABC周长的取值范围. 【答案】(1) (2) 【分析】(1)根据题意结合正、余弦定理分析运算即可; (2)由(1)的结论,利用正弦定理结合三角恒等变换求解作答. 【详解】(1)因为 , 由正弦定理可得 ,整理得 , 由余弦定理可得 ,且 ,故 . (2)由正弦定理可得 , 可得 , 则 , 因为 ,则 , 且 为锐角三角形,则 ,解得 , 可得 ,则 , 所以 , 故 周长的取值范围为 . 16.(2023·山东菏泽·山东省鄄城县第一中学校考三模)已知在 中,内角 , , 所对的边分别为 , , , . (1)若 ,求出 的值; (2)若 为锐角三角形, ,求边长 的取值范围. 【答案】(1) (2)【分析】(1)利用正弦定理将角化边,再由立方差公式及余弦定理求出 ,由 将弦 化切,利用两角和的正弦公式求出 ,从而求出 ,最后根据两角差的余弦公式计算可得; (2)由正弦定理得到 ,再转化为 角的三角函数,结合正切函数的性质求出 的取值范围. 【详解】(1)因为 由正弦定理可得 , 即 ,因为 ,所以 , 所以 ,因为 ,所以 , 由 ,所以 , 所以 ,所以 , 即 ,所以 ,所以 , 因为 ,所以 , 所以 . (2)因为 为锐角三角形,且 ,所以 , 所以 ,解得 , 又 ,由正弦定理 , 所以, 因为 ,所以 ,所以 ,所以 , 即边长 的取值范围为 . 17.(2023·江苏盐城·统考三模)在 中, 为 的角平分线,且 . (1)若 , ,求 的面积; (2)若 ,求边 的取值范围. 【答案】(1) (2) 【分析】(1)根据 得到 的长,再利用三角形的面积公式求解即可; (2)设 , ,根据 得到 ,在 中,利用余弦定理 得到 ,由两者相等结合 的取值范围即可求出结果. 【详解】(1)因为 , 所以 , 得: , 解得 , 所以 . (2)设 , , 由 得 ,即 , 所以 , 又在 中 , 所以 , 得 , 因为 且 , 得 , 则 , 所以 , 即边 的取值范围为 . 18.(2023·全国·高三专题练习)在锐角 中,角A,B,C所对应的边分别为a,b,c,已知 . (1)求角B的值; (2)若 ,求 的周长的取值范围. 【答案】(1) (2) 【分析】(1)根据正弦定理得到 ,再利用余弦定理求出 ; (2)根据正弦定理得到 ,从而得到 ,求出,得到 , ,从而求出周长的取值范围. 【详解】(1) ,由正弦定理得: , 即 , 由余弦定理得: , 因为 , 所以 ; (2)锐角 中, , , 由正弦定理得: , 故 , 则 , 因为锐角 中, , 则 , , 解得: , 故 , ,则 , 故 , 所以三角形周长的取值范围是 .