当前位置:首页>文档>考向16解三角形(重点)-备战2023年高考数学一轮复习考点微专题(全国通用)(解析版)_2.2025数学总复习_赠品通用版(老高考)复习资料_一轮复习

考向16解三角形(重点)-备战2023年高考数学一轮复习考点微专题(全国通用)(解析版)_2.2025数学总复习_赠品通用版(老高考)复习资料_一轮复习

  • 2026-04-01 15:03:54 2026-03-27 04:07:56

文档预览

考向16解三角形(重点)-备战2023年高考数学一轮复习考点微专题(全国通用)(解析版)_2.2025数学总复习_赠品通用版(老高考)复习资料_一轮复习
考向16解三角形(重点)-备战2023年高考数学一轮复习考点微专题(全国通用)(解析版)_2.2025数学总复习_赠品通用版(老高考)复习资料_一轮复习
考向16解三角形(重点)-备战2023年高考数学一轮复习考点微专题(全国通用)(解析版)_2.2025数学总复习_赠品通用版(老高考)复习资料_一轮复习
考向16解三角形(重点)-备战2023年高考数学一轮复习考点微专题(全国通用)(解析版)_2.2025数学总复习_赠品通用版(老高考)复习资料_一轮复习
考向16解三角形(重点)-备战2023年高考数学一轮复习考点微专题(全国通用)(解析版)_2.2025数学总复习_赠品通用版(老高考)复习资料_一轮复习
考向16解三角形(重点)-备战2023年高考数学一轮复习考点微专题(全国通用)(解析版)_2.2025数学总复习_赠品通用版(老高考)复习资料_一轮复习
考向16解三角形(重点)-备战2023年高考数学一轮复习考点微专题(全国通用)(解析版)_2.2025数学总复习_赠品通用版(老高考)复习资料_一轮复习
考向16解三角形(重点)-备战2023年高考数学一轮复习考点微专题(全国通用)(解析版)_2.2025数学总复习_赠品通用版(老高考)复习资料_一轮复习
考向16解三角形(重点)-备战2023年高考数学一轮复习考点微专题(全国通用)(解析版)_2.2025数学总复习_赠品通用版(老高考)复习资料_一轮复习
考向16解三角形(重点)-备战2023年高考数学一轮复习考点微专题(全国通用)(解析版)_2.2025数学总复习_赠品通用版(老高考)复习资料_一轮复习
考向16解三角形(重点)-备战2023年高考数学一轮复习考点微专题(全国通用)(解析版)_2.2025数学总复习_赠品通用版(老高考)复习资料_一轮复习
考向16解三角形(重点)-备战2023年高考数学一轮复习考点微专题(全国通用)(解析版)_2.2025数学总复习_赠品通用版(老高考)复习资料_一轮复习
考向16解三角形(重点)-备战2023年高考数学一轮复习考点微专题(全国通用)(解析版)_2.2025数学总复习_赠品通用版(老高考)复习资料_一轮复习
考向16解三角形(重点)-备战2023年高考数学一轮复习考点微专题(全国通用)(解析版)_2.2025数学总复习_赠品通用版(老高考)复习资料_一轮复习
考向16解三角形(重点)-备战2023年高考数学一轮复习考点微专题(全国通用)(解析版)_2.2025数学总复习_赠品通用版(老高考)复习资料_一轮复习
考向16解三角形(重点)-备战2023年高考数学一轮复习考点微专题(全国通用)(解析版)_2.2025数学总复习_赠品通用版(老高考)复习资料_一轮复习
考向16解三角形(重点)-备战2023年高考数学一轮复习考点微专题(全国通用)(解析版)_2.2025数学总复习_赠品通用版(老高考)复习资料_一轮复习
考向16解三角形(重点)-备战2023年高考数学一轮复习考点微专题(全国通用)(解析版)_2.2025数学总复习_赠品通用版(老高考)复习资料_一轮复习
考向16解三角形(重点)-备战2023年高考数学一轮复习考点微专题(全国通用)(解析版)_2.2025数学总复习_赠品通用版(老高考)复习资料_一轮复习
考向16解三角形(重点)-备战2023年高考数学一轮复习考点微专题(全国通用)(解析版)_2.2025数学总复习_赠品通用版(老高考)复习资料_一轮复习
考向16解三角形(重点)-备战2023年高考数学一轮复习考点微专题(全国通用)(解析版)_2.2025数学总复习_赠品通用版(老高考)复习资料_一轮复习
考向16解三角形(重点)-备战2023年高考数学一轮复习考点微专题(全国通用)(解析版)_2.2025数学总复习_赠品通用版(老高考)复习资料_一轮复习
考向16解三角形(重点)-备战2023年高考数学一轮复习考点微专题(全国通用)(解析版)_2.2025数学总复习_赠品通用版(老高考)复习资料_一轮复习
考向16解三角形(重点)-备战2023年高考数学一轮复习考点微专题(全国通用)(解析版)_2.2025数学总复习_赠品通用版(老高考)复习资料_一轮复习
考向16解三角形(重点)-备战2023年高考数学一轮复习考点微专题(全国通用)(解析版)_2.2025数学总复习_赠品通用版(老高考)复习资料_一轮复习
考向16解三角形(重点)-备战2023年高考数学一轮复习考点微专题(全国通用)(解析版)_2.2025数学总复习_赠品通用版(老高考)复习资料_一轮复习
考向16解三角形(重点)-备战2023年高考数学一轮复习考点微专题(全国通用)(解析版)_2.2025数学总复习_赠品通用版(老高考)复习资料_一轮复习
考向16解三角形(重点)-备战2023年高考数学一轮复习考点微专题(全国通用)(解析版)_2.2025数学总复习_赠品通用版(老高考)复习资料_一轮复习
考向16解三角形(重点)-备战2023年高考数学一轮复习考点微专题(全国通用)(解析版)_2.2025数学总复习_赠品通用版(老高考)复习资料_一轮复习
考向16解三角形(重点)-备战2023年高考数学一轮复习考点微专题(全国通用)(解析版)_2.2025数学总复习_赠品通用版(老高考)复习资料_一轮复习
考向16解三角形(重点)-备战2023年高考数学一轮复习考点微专题(全国通用)(解析版)_2.2025数学总复习_赠品通用版(老高考)复习资料_一轮复习
考向16解三角形(重点)-备战2023年高考数学一轮复习考点微专题(全国通用)(解析版)_2.2025数学总复习_赠品通用版(老高考)复习资料_一轮复习

文档信息

文档格式
docx
文档大小
1.408 MB
文档页数
28 页
上传时间
2026-03-27 04:07:56

文档内容

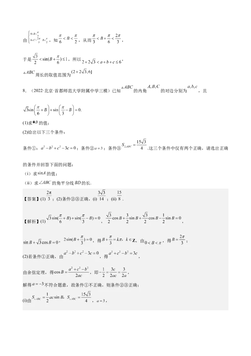
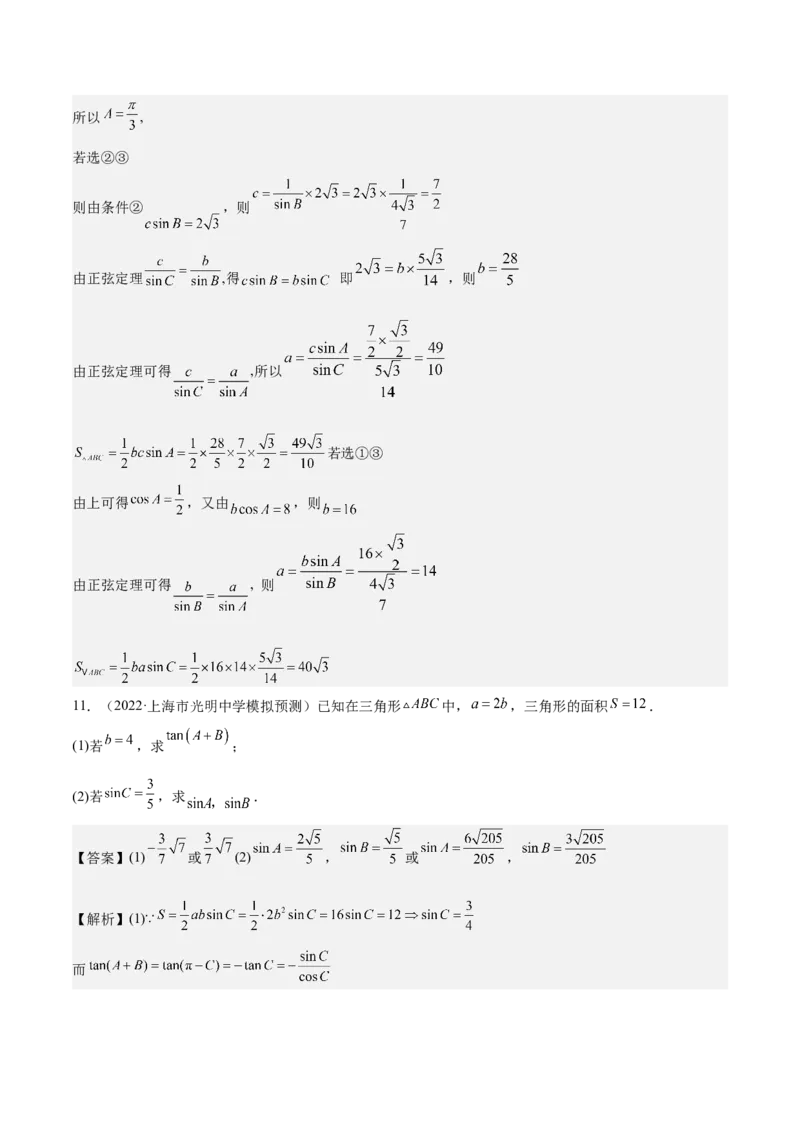
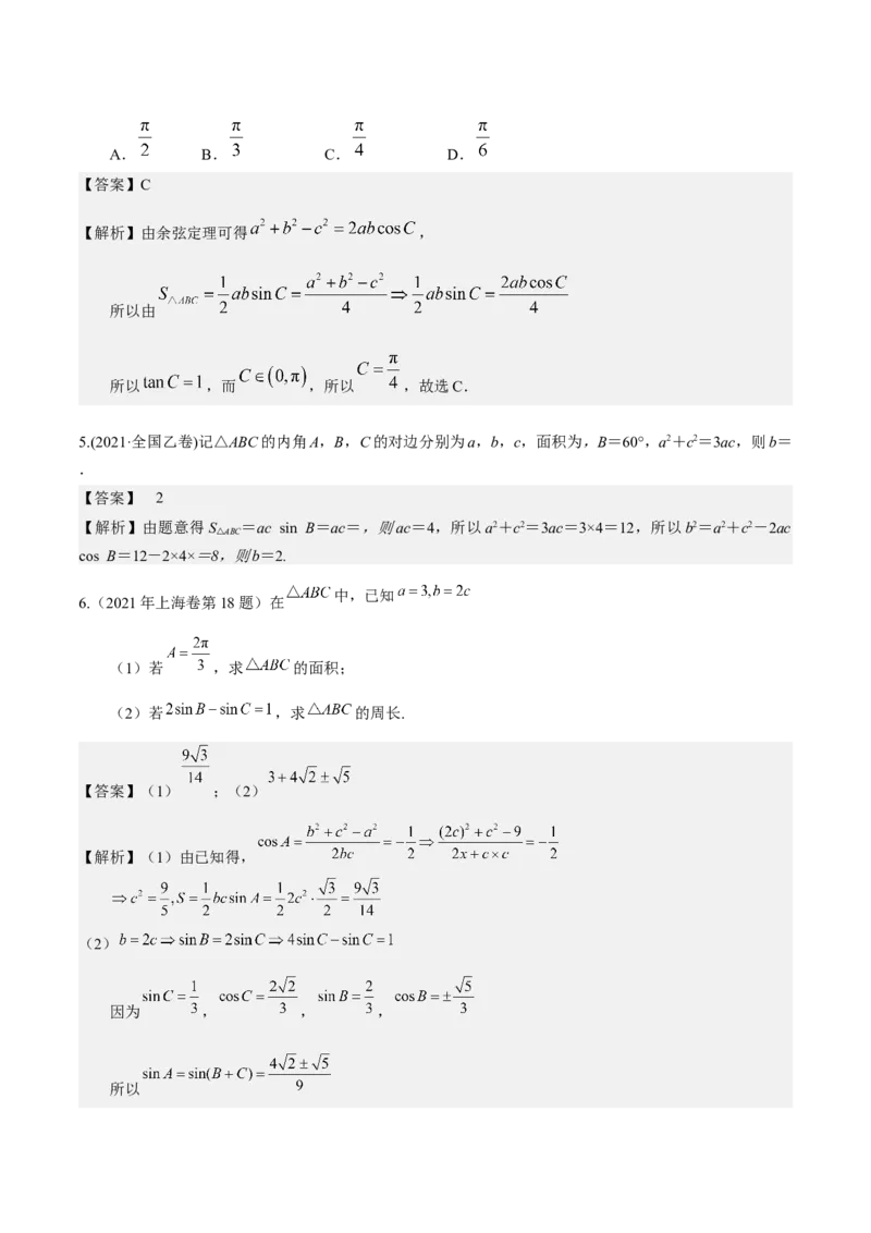
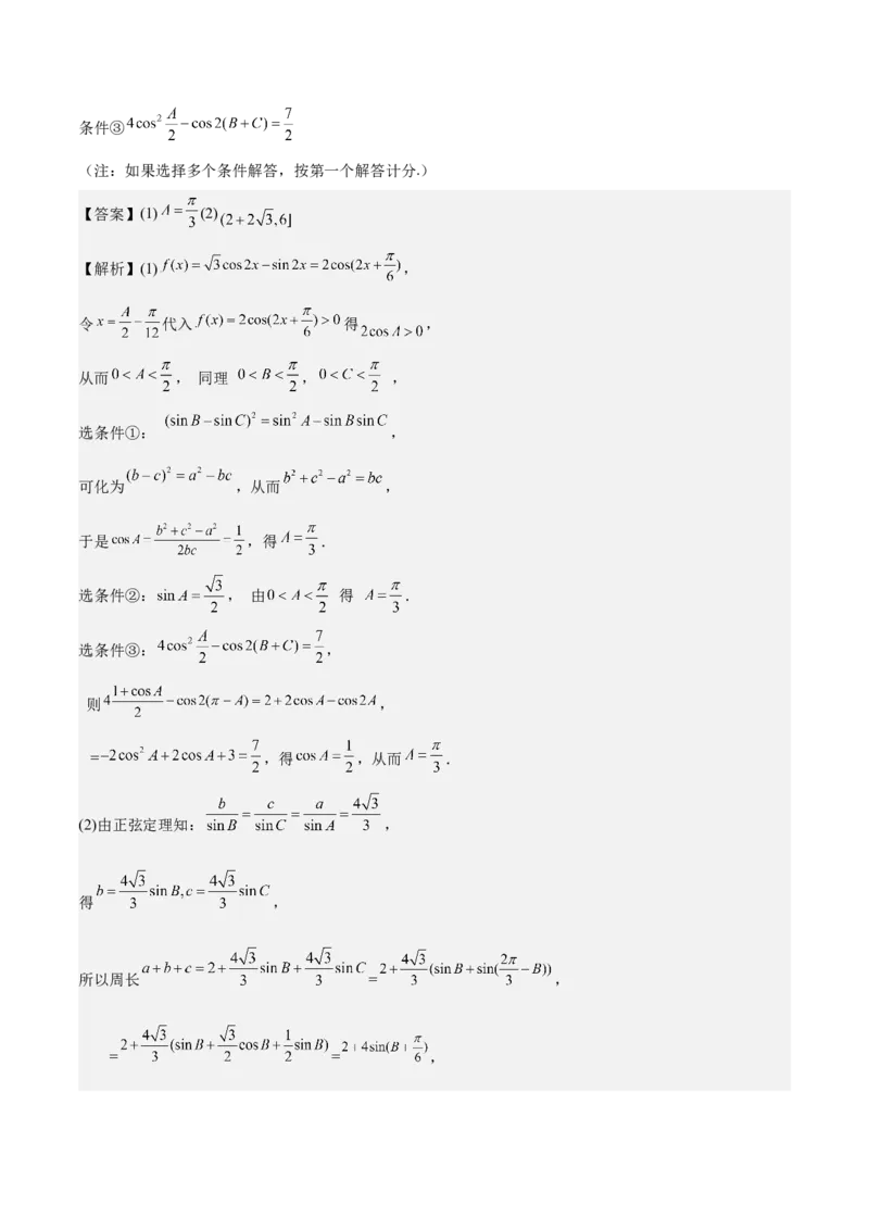
考向 16 解三角形 1.【2022年甲卷理科卷第11题】将函数f 的图像向左平移 个单位长度后得 到曲线C,若C关于y轴对称,则 的最小值是( ) A 【答案】C 【解析】记 为 向左平移 个单位后得到的曲线,则 = = 由 关于Y轴对称,可得: , ,故有 ,所以 的最小值为 .选 C. 2. 【2022年浙江卷】16.已知 中,点 在边 上, , , .当 取得最小值时, ______. 【答案】 【解析】令 ,以 为坐标原点, 为 轴建立直角坐标系,则 , , , 当且仅当 即 时取等号.ABC 3sinC 3.【2022年北京卷第16题】在 中,sin2C= . C (1)求 b6 ABC 6 3 ABC (2)若 ,且 的面积为 ,求 的周长。 【答案】(1) (2) 3  cosC  【解答】(1)sin2C= 3sinC 2sinCcosC  3sinC 2 C = 6 。 , , , 1  absinC 6 3 (2) S ABC 6 3 2 a4 3 由余弦定理得c2 a2 b2 2abcosC , , , c2 3 所以ABC 的周长为6 36 , . 4.【2022年乙卷理科第17题】17.(12分) 记 的内角 、 、 的对边分别为 、 、 ,已知 . (1)证明: ; (2)若 , ,求 的周长. 【答案】(1)见证明过程;(2) ; 【解析】1.已知 可化简为 , 由正弦定理可得 ,即 ,由余弦定理可得 ,即证 , (2)由(1)可知 , , , , , , 的周长为145.【2022 年乙卷文科第 17 题】记 的内角 , , 的对边分别为 , , ,已知 . (1)若 ,求 ; (2)证明: . 【答案】(1) ;(2)略. 【解析】(1)解:因为 , 所以 , , 所以 , , 代入 中得 又 ,所以 ,所以 ,所以 (2)证明:因为 所以 所以 所以 ,又 所以 由正弦定理得 ① 又由余弦定理得 ,所以 ② 由①②得 ,所以 . 证法2:因为所以 又 同理 ,所以 由正弦定理得 所以 6.【2022年新高考1卷第18题】 记 的内角 , , 的对边分别为 , , ,已知 . (1)若 ,求 ; (2)求 的最小值. 【答案】(1) (2) 【解析】(1)由已知条件得: 所以 ,即 , 由已知条件: ,则 ,可得 , 所以 , . (2)由(1)知 ,则 , , , 由正弦定理, 当且仅当 时等号成立,所以 的最小值为 . 7.【2022年新高考2卷第18题】记 的三个内角分别为 、 、 ,其对边分别为 , , ,分别 以 , , 为边长的三个正三角形的面积依次为 , , ,已知 , . (1)求 的面积; (2)若 ,求 . 【答案】(1) ;(2) . 【解析】(1) 边长为 的正三角形的面积为 , ,即 , 由 得: , , 故 . (2)由正弦定理得: ,故 . 8.【2022年浙江卷第18题】在 中,角 的对边分别为a,b,c,已知 , .(I)求 的值; (II)若 ,求 的面积. 【答案】(I) ;(II) . 【解析】(I)由于 ,且 是三角形的内角,则 . 由正弦定理知 , 则 . (II) 由余弦定理,得 , 即 ,解得 . 所以 的面积 . 1.解三角形的常见题型及求解方法 (1)已知两角A,B与一边a,由A+B+C=π及==,可先求出角C及b,再求出c. (2)已知两边b,c及其夹角A,由a2=b2+c2-2bccos A,先求出a,再求出角B,C. (3)已知三边a,b,c,由余弦定理可求出角A,B,C. (4)已知两边a,b及其中一边的对角A,由正弦定理=可求出另一边b的对角B,由C=π -(A+B),可求出角C,再由=可求出c,而通过=求角B时,可能有一解或两解或无解的情 况. 2.求三角形面积的方法 (1)若三角形中已知一个角(角的大小或该角的正、余弦值),结合题意求解这个角的两边或 该角的两边之积,代入公式求面积. (2)若已知三角形的三边,可先求其一个角的余弦值,再求其正弦值,代入公式求面积. 总之,结合图形恰当选择面积公式是解题的关键. 3.已知三角形面积求边、角的方法 (1)若求角,就寻求夹这个角的两边的关系,利用面积公式列方程求解.(2)若求边,就寻求与该边(或两边)有关联的角,利用面积公式列方程求解. 4.判定三角形形状的两种常用途径 5.判定三角形的形状的注意点 在判断三角形的形状时一定要注意解是否唯一,并注重挖掘隐含条件.另外,在变形过 程中要注意角A,B,C的范围对三角函数值的影响,在等式变形中,一般两边不要约去公因 式,应移项提取公因式,以免漏解. 1.三角形内角和定理 在△ABC中,A+B+C=π;变形:=-. 2.三角形中的三角函数关系 (1)sin(A+B)=sin C;(2)cos(A+B)=-cos C; (3)sin =cos ;(4)cos =sin . 3.三角形中的射影定理 在△ABC中,a= b cos C + c cos B ;b= a cos C + c cos A ;c= b cos A + a cos B . 4.三角形中的大角对大边 在△ABC中, A > B ⇔ a > b ⇔sin A > sin B . 5.三角形常用面积公式 (1)S=a·h (h 表示边a上的高); a a (2)S=absin C= ac sin B = bc sin A ; (3)S=r(a+b+c)(r为内切圆半径). 易错点1:解三角函数的定义此类题主要考查三角函数的符号,二倍角公式,特殊角的三角函数值等知识,意在考查学生的转化能 力和计算求解能力.所以要求考生要熟记公式,并懂得灵活应用。 易错点2:三角函数图象变换 函数图象的平移变换解题策略: (1)对函数y=sin x,y=Asin(ωx+φ)或y=Acos(ωx+φ)的图象,无论是先平移再伸缩,还是先伸缩再平移, 只要平移|φ|个单位,都是相应的解析式中的x变为x±|φ|,而不是ωx变为ωx±|φ|. (2)注意平移前后两个函数的名称是否一致,若不一致,应用诱导公式化为同名函数再平移. 易错点3:由三角函数图像求解析式 结合图象及性质求解析式y=Asin(ωx+φ)+B(A>0,ω>0)的方法 (1)求A,B,已知函数的最大值M和最小值m,则 . (2)求ω,已知函数的周期T,则 . (3)求φ,常用方法有: ①代入法:把图象上的一个已知点代入(此时,A,ω,B已知). ②确定φ值时,往往以寻找“五点法”中的第一个零点 作为突破口,具体如下: “第一点”(即图象上升时与x轴的交点中距原点最近的交点)为ωx+φ=0; “第二点”(即图象的“峰点”)为ωx+φ= ; “第三点”(即图象下降时与x轴的交点)为ωx+φ=π; “第四点”(即图象的“谷点”)为ωx+φ= ; “第五点”为ωx+φ=2π. 易错点4: 给值(式)求角(值) 解三角函数的给值求值问题的基本步骤 (1)先化简所求式子或所给条件; (2)观察已知条件与所求式子之间的联系; (3)将已知条件代入所求式子,化简求值. 易错点5:三角形中边角关系 此类题考查解三角形的相关知识,涉及到正弦定理角化边的应用、余弦定理的应用、三角形周长最大 值的求解问题;求解周长最大值的关键是能够在余弦定理构造的等式中,结合基本不等式构造不等关系求 得最值. 1.设△ABC的内角A,B,C所对的边分别为a,b,c,若bcos C+ccos B=asin A,则△ABC的形状为( ) A.锐角三角形 B.直角三角形 C.钝角三角形 D.不确定 【答案】B【解析】由正弦定理得sin Bcos C+sin Ccos B=sin2A, ∴sin(B+C)=sin2A,即sin(π-A)=sin2A,sin A=sin2A. ∵A∈(0,π),∴sin A>0,∴sin A=1,即A=,∴△ABC为直角三角形. 2.已知△ABC中,角A,B,C所对的边分别为a,b,c,若A=,B=,a=1,则b=( ) A.2 B.1 C. D. 【答案】D 【解析】由=得b===×2=. 3.在△ABC中,AB=5,AC=3,BC=7,则∠BAC=( ) A. B. C. D. 【答案】C 【解析】由题意知,a=BC=7,b=AC=3,c=AB=5, 由余弦定理得cos∠BAC===-. 又因为∠BAC是△ABC的内角,所以∠BAC=,故选C. 4.在△ABC中,角A,B,C的对边分别为a,b,c,若=,(b+c+a)(b+c-a)=3bc,则△ABC的形状是 ( ) A.直角三角形 B.等腰非等边三角形 C.等边三角形 D.钝角三角形 【答案】C 【解析】因为=,所以=.所以b=c.又(b+c+a)(b+c-a)=3bc,所以b2+c2-a2=bc,所以cos A===. 因为A∈(0,π),所以A=.所以△ABC是等边三角形. 5.△ABC中,角A,B,C所对的边分别为a,b,c,满足a=2,B=45°,C=75°,则b=( ) A.2 B. C.2 D.3 【答案】C 【解析】由题意A=180°-45°-75°=60°,由正弦定理=, 得b===2,故选C. 6.在△ABC中,角A,B,C所对的边分别为a,b,c,满足b2+c2-a2=bc,a=,则b+c的取值范围是( ) A.(1,) B.(,2] C.(,3) D. 【答案】B 【解析】依题意得b2+c2-bc=3,即(b+c)2=3bc+3≤3+3,(b+c)2≤12,b+c≤2,当且仅当b=c=时取等 号,又b+c>a=,因此b+c的取值范围是(,2],选B 7.在△ABC 中,内角 A,B,C 所对的边分别为 a,b,c,已知 a=4,c=6,C=2A,则 cos A= ________,b=________. 【答案】 4或5 【解析】在△ABC中,由正弦定理得===,∴4=,∴cos A=.在△ABC中,由余弦定理得a2=b2+c2- 2bccos A,得16=b2+36-2b×6×,b2-9b+20=0,解得b=4或b=5. 8.已知a,b,c分别为△ABC的内角A,B,C的对边,(3b-a)cos C=ccos A,c是a,b的等比中项,且△ABC的面积为3,则a+b=________. 【答案】 【解析】 由(3b-a)cos C=ccos A,得3sin Bcos C-sin Acos C=sin Ccos A,即3sin Bcos C=sin Acos C+cos Asin C=sin(A+C)=sin B,又sin B≠0,所以cos C=,得sin C=.由S =absin C=3,得 △ABC ab×=3,得ab=9.又c是a,b的等比中项,所以c2=ab.由余弦定理c2=a2+b2-2abcos C得ab=a2+b2- ab. ∴a2+b2=ab=×9=15,即a2+b2=15,则(a+b)2=a2+b2+2ab=15+18=33,即a+b=. 9.在△ABC中,A,B,C所对的边分别为a,b,c,已知a2+b2-c2=ab,且acsin B=2sin C,则△ABC的 面积为________. 【答案】 【解析】因为a2+b2-c2=ab, 所以由余弦定理得cos C===,又0<C<π,所以C=.因为acsin B=2sin C,所以结合正弦定理可 得abc=2c,所以ab=2.故S =absin C=×2sin =. △ABC 10.已知△ABC的内角A,B,C的对边分别为a,b,c.若cos A(sin C-cos C)=cos B,a=2,c=,则角C 的大小为 . 【答案】 【解析】因为cos A(sin C-cos C)=cos B,所以cos A(sin C-cos C)=-cos (A+C),所以cos Asin C= sin A sin C,所以sin C(cos A-sin A)=0,因为C∈(0,π),所以sin C≠0,cos A=sin A,则tan A=1, 又A∈(0,π),所以A=,又=,即=,所以sin C=,因为c