当前位置:首页>文档>考点17导数与函数的单调性(3种核心题型+基础保分练+综合提升练+拓展冲刺练)解析版_2.2025数学总复习_2025年新高考资料_一轮复习_2025年高考数学一轮复习核心题型讲与练(完结)

考点17导数与函数的单调性(3种核心题型+基础保分练+综合提升练+拓展冲刺练)解析版_2.2025数学总复习_2025年新高考资料_一轮复习_2025年高考数学一轮复习核心题型讲与练(完结)

  • 2026-03-29 11:51:09 2026-03-27 10:56:39

文档预览

考点17导数与函数的单调性(3种核心题型+基础保分练+综合提升练+拓展冲刺练)解析版_2.2025数学总复习_2025年新高考资料_一轮复习_2025年高考数学一轮复习核心题型讲与练(完结)
考点17导数与函数的单调性(3种核心题型+基础保分练+综合提升练+拓展冲刺练)解析版_2.2025数学总复习_2025年新高考资料_一轮复习_2025年高考数学一轮复习核心题型讲与练(完结)
考点17导数与函数的单调性(3种核心题型+基础保分练+综合提升练+拓展冲刺练)解析版_2.2025数学总复习_2025年新高考资料_一轮复习_2025年高考数学一轮复习核心题型讲与练(完结)
考点17导数与函数的单调性(3种核心题型+基础保分练+综合提升练+拓展冲刺练)解析版_2.2025数学总复习_2025年新高考资料_一轮复习_2025年高考数学一轮复习核心题型讲与练(完结)
考点17导数与函数的单调性(3种核心题型+基础保分练+综合提升练+拓展冲刺练)解析版_2.2025数学总复习_2025年新高考资料_一轮复习_2025年高考数学一轮复习核心题型讲与练(完结)
考点17导数与函数的单调性(3种核心题型+基础保分练+综合提升练+拓展冲刺练)解析版_2.2025数学总复习_2025年新高考资料_一轮复习_2025年高考数学一轮复习核心题型讲与练(完结)
考点17导数与函数的单调性(3种核心题型+基础保分练+综合提升练+拓展冲刺练)解析版_2.2025数学总复习_2025年新高考资料_一轮复习_2025年高考数学一轮复习核心题型讲与练(完结)
考点17导数与函数的单调性(3种核心题型+基础保分练+综合提升练+拓展冲刺练)解析版_2.2025数学总复习_2025年新高考资料_一轮复习_2025年高考数学一轮复习核心题型讲与练(完结)
考点17导数与函数的单调性(3种核心题型+基础保分练+综合提升练+拓展冲刺练)解析版_2.2025数学总复习_2025年新高考资料_一轮复习_2025年高考数学一轮复习核心题型讲与练(完结)
考点17导数与函数的单调性(3种核心题型+基础保分练+综合提升练+拓展冲刺练)解析版_2.2025数学总复习_2025年新高考资料_一轮复习_2025年高考数学一轮复习核心题型讲与练(完结)
考点17导数与函数的单调性(3种核心题型+基础保分练+综合提升练+拓展冲刺练)解析版_2.2025数学总复习_2025年新高考资料_一轮复习_2025年高考数学一轮复习核心题型讲与练(完结)
考点17导数与函数的单调性(3种核心题型+基础保分练+综合提升练+拓展冲刺练)解析版_2.2025数学总复习_2025年新高考资料_一轮复习_2025年高考数学一轮复习核心题型讲与练(完结)
考点17导数与函数的单调性(3种核心题型+基础保分练+综合提升练+拓展冲刺练)解析版_2.2025数学总复习_2025年新高考资料_一轮复习_2025年高考数学一轮复习核心题型讲与练(完结)
考点17导数与函数的单调性(3种核心题型+基础保分练+综合提升练+拓展冲刺练)解析版_2.2025数学总复习_2025年新高考资料_一轮复习_2025年高考数学一轮复习核心题型讲与练(完结)
考点17导数与函数的单调性(3种核心题型+基础保分练+综合提升练+拓展冲刺练)解析版_2.2025数学总复习_2025年新高考资料_一轮复习_2025年高考数学一轮复习核心题型讲与练(完结)
考点17导数与函数的单调性(3种核心题型+基础保分练+综合提升练+拓展冲刺练)解析版_2.2025数学总复习_2025年新高考资料_一轮复习_2025年高考数学一轮复习核心题型讲与练(完结)
考点17导数与函数的单调性(3种核心题型+基础保分练+综合提升练+拓展冲刺练)解析版_2.2025数学总复习_2025年新高考资料_一轮复习_2025年高考数学一轮复习核心题型讲与练(完结)
考点17导数与函数的单调性(3种核心题型+基础保分练+综合提升练+拓展冲刺练)解析版_2.2025数学总复习_2025年新高考资料_一轮复习_2025年高考数学一轮复习核心题型讲与练(完结)
考点17导数与函数的单调性(3种核心题型+基础保分练+综合提升练+拓展冲刺练)解析版_2.2025数学总复习_2025年新高考资料_一轮复习_2025年高考数学一轮复习核心题型讲与练(完结)
考点17导数与函数的单调性(3种核心题型+基础保分练+综合提升练+拓展冲刺练)解析版_2.2025数学总复习_2025年新高考资料_一轮复习_2025年高考数学一轮复习核心题型讲与练(完结)
考点17导数与函数的单调性(3种核心题型+基础保分练+综合提升练+拓展冲刺练)解析版_2.2025数学总复习_2025年新高考资料_一轮复习_2025年高考数学一轮复习核心题型讲与练(完结)
考点17导数与函数的单调性(3种核心题型+基础保分练+综合提升练+拓展冲刺练)解析版_2.2025数学总复习_2025年新高考资料_一轮复习_2025年高考数学一轮复习核心题型讲与练(完结)
考点17导数与函数的单调性(3种核心题型+基础保分练+综合提升练+拓展冲刺练)解析版_2.2025数学总复习_2025年新高考资料_一轮复习_2025年高考数学一轮复习核心题型讲与练(完结)
考点17导数与函数的单调性(3种核心题型+基础保分练+综合提升练+拓展冲刺练)解析版_2.2025数学总复习_2025年新高考资料_一轮复习_2025年高考数学一轮复习核心题型讲与练(完结)
考点17导数与函数的单调性(3种核心题型+基础保分练+综合提升练+拓展冲刺练)解析版_2.2025数学总复习_2025年新高考资料_一轮复习_2025年高考数学一轮复习核心题型讲与练(完结)
考点17导数与函数的单调性(3种核心题型+基础保分练+综合提升练+拓展冲刺练)解析版_2.2025数学总复习_2025年新高考资料_一轮复习_2025年高考数学一轮复习核心题型讲与练(完结)
考点17导数与函数的单调性(3种核心题型+基础保分练+综合提升练+拓展冲刺练)解析版_2.2025数学总复习_2025年新高考资料_一轮复习_2025年高考数学一轮复习核心题型讲与练(完结)
考点17导数与函数的单调性(3种核心题型+基础保分练+综合提升练+拓展冲刺练)解析版_2.2025数学总复习_2025年新高考资料_一轮复习_2025年高考数学一轮复习核心题型讲与练(完结)
考点17导数与函数的单调性(3种核心题型+基础保分练+综合提升练+拓展冲刺练)解析版_2.2025数学总复习_2025年新高考资料_一轮复习_2025年高考数学一轮复习核心题型讲与练(完结)
考点17导数与函数的单调性(3种核心题型+基础保分练+综合提升练+拓展冲刺练)解析版_2.2025数学总复习_2025年新高考资料_一轮复习_2025年高考数学一轮复习核心题型讲与练(完结)
考点17导数与函数的单调性(3种核心题型+基础保分练+综合提升练+拓展冲刺练)解析版_2.2025数学总复习_2025年新高考资料_一轮复习_2025年高考数学一轮复习核心题型讲与练(完结)
考点17导数与函数的单调性(3种核心题型+基础保分练+综合提升练+拓展冲刺练)解析版_2.2025数学总复习_2025年新高考资料_一轮复习_2025年高考数学一轮复习核心题型讲与练(完结)
考点17导数与函数的单调性(3种核心题型+基础保分练+综合提升练+拓展冲刺练)解析版_2.2025数学总复习_2025年新高考资料_一轮复习_2025年高考数学一轮复习核心题型讲与练(完结)
考点17导数与函数的单调性(3种核心题型+基础保分练+综合提升练+拓展冲刺练)解析版_2.2025数学总复习_2025年新高考资料_一轮复习_2025年高考数学一轮复习核心题型讲与练(完结)
考点17导数与函数的单调性(3种核心题型+基础保分练+综合提升练+拓展冲刺练)解析版_2.2025数学总复习_2025年新高考资料_一轮复习_2025年高考数学一轮复习核心题型讲与练(完结)
考点17导数与函数的单调性(3种核心题型+基础保分练+综合提升练+拓展冲刺练)解析版_2.2025数学总复习_2025年新高考资料_一轮复习_2025年高考数学一轮复习核心题型讲与练(完结)
考点17导数与函数的单调性(3种核心题型+基础保分练+综合提升练+拓展冲刺练)解析版_2.2025数学总复习_2025年新高考资料_一轮复习_2025年高考数学一轮复习核心题型讲与练(完结)
考点17导数与函数的单调性(3种核心题型+基础保分练+综合提升练+拓展冲刺练)解析版_2.2025数学总复习_2025年新高考资料_一轮复习_2025年高考数学一轮复习核心题型讲与练(完结)
考点17导数与函数的单调性(3种核心题型+基础保分练+综合提升练+拓展冲刺练)解析版_2.2025数学总复习_2025年新高考资料_一轮复习_2025年高考数学一轮复习核心题型讲与练(完结)
考点17导数与函数的单调性(3种核心题型+基础保分练+综合提升练+拓展冲刺练)解析版_2.2025数学总复习_2025年新高考资料_一轮复习_2025年高考数学一轮复习核心题型讲与练(完结)
考点17导数与函数的单调性(3种核心题型+基础保分练+综合提升练+拓展冲刺练)解析版_2.2025数学总复习_2025年新高考资料_一轮复习_2025年高考数学一轮复习核心题型讲与练(完结)
考点17导数与函数的单调性(3种核心题型+基础保分练+综合提升练+拓展冲刺练)解析版_2.2025数学总复习_2025年新高考资料_一轮复习_2025年高考数学一轮复习核心题型讲与练(完结)
考点17导数与函数的单调性(3种核心题型+基础保分练+综合提升练+拓展冲刺练)解析版_2.2025数学总复习_2025年新高考资料_一轮复习_2025年高考数学一轮复习核心题型讲与练(完结)
考点17导数与函数的单调性(3种核心题型+基础保分练+综合提升练+拓展冲刺练)解析版_2.2025数学总复习_2025年新高考资料_一轮复习_2025年高考数学一轮复习核心题型讲与练(完结)
考点17导数与函数的单调性(3种核心题型+基础保分练+综合提升练+拓展冲刺练)解析版_2.2025数学总复习_2025年新高考资料_一轮复习_2025年高考数学一轮复习核心题型讲与练(完结)
考点17导数与函数的单调性(3种核心题型+基础保分练+综合提升练+拓展冲刺练)解析版_2.2025数学总复习_2025年新高考资料_一轮复习_2025年高考数学一轮复习核心题型讲与练(完结)
考点17导数与函数的单调性(3种核心题型+基础保分练+综合提升练+拓展冲刺练)解析版_2.2025数学总复习_2025年新高考资料_一轮复习_2025年高考数学一轮复习核心题型讲与练(完结)
考点17导数与函数的单调性(3种核心题型+基础保分练+综合提升练+拓展冲刺练)解析版_2.2025数学总复习_2025年新高考资料_一轮复习_2025年高考数学一轮复习核心题型讲与练(完结)
考点17导数与函数的单调性(3种核心题型+基础保分练+综合提升练+拓展冲刺练)解析版_2.2025数学总复习_2025年新高考资料_一轮复习_2025年高考数学一轮复习核心题型讲与练(完结)
考点17导数与函数的单调性(3种核心题型+基础保分练+综合提升练+拓展冲刺练)解析版_2.2025数学总复习_2025年新高考资料_一轮复习_2025年高考数学一轮复习核心题型讲与练(完结)
考点17导数与函数的单调性(3种核心题型+基础保分练+综合提升练+拓展冲刺练)解析版_2.2025数学总复习_2025年新高考资料_一轮复习_2025年高考数学一轮复习核心题型讲与练(完结)
考点17导数与函数的单调性(3种核心题型+基础保分练+综合提升练+拓展冲刺练)解析版_2.2025数学总复习_2025年新高考资料_一轮复习_2025年高考数学一轮复习核心题型讲与练(完结)
考点17导数与函数的单调性(3种核心题型+基础保分练+综合提升练+拓展冲刺练)解析版_2.2025数学总复习_2025年新高考资料_一轮复习_2025年高考数学一轮复习核心题型讲与练(完结)
考点17导数与函数的单调性(3种核心题型+基础保分练+综合提升练+拓展冲刺练)解析版_2.2025数学总复习_2025年新高考资料_一轮复习_2025年高考数学一轮复习核心题型讲与练(完结)
考点17导数与函数的单调性(3种核心题型+基础保分练+综合提升练+拓展冲刺练)解析版_2.2025数学总复习_2025年新高考资料_一轮复习_2025年高考数学一轮复习核心题型讲与练(完结)
考点17导数与函数的单调性(3种核心题型+基础保分练+综合提升练+拓展冲刺练)解析版_2.2025数学总复习_2025年新高考资料_一轮复习_2025年高考数学一轮复习核心题型讲与练(完结)
考点17导数与函数的单调性(3种核心题型+基础保分练+综合提升练+拓展冲刺练)解析版_2.2025数学总复习_2025年新高考资料_一轮复习_2025年高考数学一轮复习核心题型讲与练(完结)
考点17导数与函数的单调性(3种核心题型+基础保分练+综合提升练+拓展冲刺练)解析版_2.2025数学总复习_2025年新高考资料_一轮复习_2025年高考数学一轮复习核心题型讲与练(完结)
考点17导数与函数的单调性(3种核心题型+基础保分练+综合提升练+拓展冲刺练)解析版_2.2025数学总复习_2025年新高考资料_一轮复习_2025年高考数学一轮复习核心题型讲与练(完结)
考点17导数与函数的单调性(3种核心题型+基础保分练+综合提升练+拓展冲刺练)解析版_2.2025数学总复习_2025年新高考资料_一轮复习_2025年高考数学一轮复习核心题型讲与练(完结)
考点17导数与函数的单调性(3种核心题型+基础保分练+综合提升练+拓展冲刺练)解析版_2.2025数学总复习_2025年新高考资料_一轮复习_2025年高考数学一轮复习核心题型讲与练(完结)
考点17导数与函数的单调性(3种核心题型+基础保分练+综合提升练+拓展冲刺练)解析版_2.2025数学总复习_2025年新高考资料_一轮复习_2025年高考数学一轮复习核心题型讲与练(完结)
考点17导数与函数的单调性(3种核心题型+基础保分练+综合提升练+拓展冲刺练)解析版_2.2025数学总复习_2025年新高考资料_一轮复习_2025年高考数学一轮复习核心题型讲与练(完结)
考点17导数与函数的单调性(3种核心题型+基础保分练+综合提升练+拓展冲刺练)解析版_2.2025数学总复习_2025年新高考资料_一轮复习_2025年高考数学一轮复习核心题型讲与练(完结)
考点17导数与函数的单调性(3种核心题型+基础保分练+综合提升练+拓展冲刺练)解析版_2.2025数学总复习_2025年新高考资料_一轮复习_2025年高考数学一轮复习核心题型讲与练(完结)
考点17导数与函数的单调性(3种核心题型+基础保分练+综合提升练+拓展冲刺练)解析版_2.2025数学总复习_2025年新高考资料_一轮复习_2025年高考数学一轮复习核心题型讲与练(完结)
考点17导数与函数的单调性(3种核心题型+基础保分练+综合提升练+拓展冲刺练)解析版_2.2025数学总复习_2025年新高考资料_一轮复习_2025年高考数学一轮复习核心题型讲与练(完结)
考点17导数与函数的单调性(3种核心题型+基础保分练+综合提升练+拓展冲刺练)解析版_2.2025数学总复习_2025年新高考资料_一轮复习_2025年高考数学一轮复习核心题型讲与练(完结)
考点17导数与函数的单调性(3种核心题型+基础保分练+综合提升练+拓展冲刺练)解析版_2.2025数学总复习_2025年新高考资料_一轮复习_2025年高考数学一轮复习核心题型讲与练(完结)
考点17导数与函数的单调性(3种核心题型+基础保分练+综合提升练+拓展冲刺练)解析版_2.2025数学总复习_2025年新高考资料_一轮复习_2025年高考数学一轮复习核心题型讲与练(完结)

文档信息

文档格式
docx
文档大小
3.272 MB
文档页数
66 页
上传时间
2026-03-27 10:56:39

文档内容

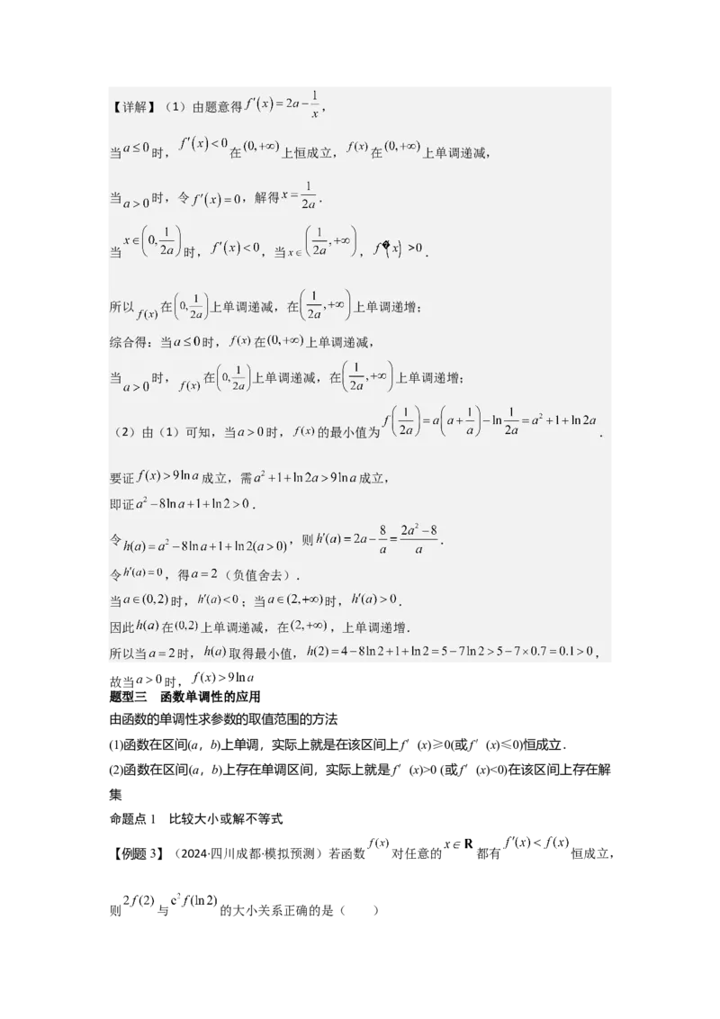
考点 17 导数与函数的单调性(3 种核心题型+基础保分练 +综合提升练+拓展冲刺练) 【考试提醒】 1.结合实例,借助几何直观了解函数的单调性与导数的关系.2.能利用导数研究函数的单调 性,会求函数的单调区间(其中多项式函数一般不超过三次).3.会利用函数的单调性判断大 小,求参数的取值范围等简单应用 【知识点】 1.函数的单调性与导数的关系 条件 恒有 结论 f′(x)>0 f(x)在区间(a,b)上单调递增 函数y=f(x)在区间(a, f′(x)<0 f(x)在区间(a,b)上单调递减 b)上可导 f′(x)=0 f(x)在区间(a,b)上是常数函数 2.利用导数判断函数单调性的步骤 第1步,确定函数的定义域; 第2步,求出导数f′(x)的零点; 第3步,用f′(x)的零点将f(x)的定义域划分为若干个区间,列表给出 f′(x)在各区间上的 正负,由此得出函数y=f(x)在定义域内的单调性. 常用结论 1.若函数f(x)在(a,b)上单调递增,则当x∈(a,b)时,f′(x)≥0恒成立;若函数f(x)在(a, b)上单调递减,则当x∈(a,b)时,f′(x)≤0恒成立. 2.若函数f(x)在(a,b)上存在单调递增区间,则当x∈(a,b)时,f′(x)>0有解;若函数f(x)在 (a,b)上存在单调递减区间,则当x∈(a,b)时,f′(x)<0有解 【核心题型】 题型一 不含参函数的单调性 确定不含参数的函数的单调性,按照判断函数单调性的步骤即可,但应注意两点,一是不 能漏掉求函数的定义域,二是函数的单调区间不能用并集,要用“逗号”或“和”隔开. 【例题1】(2023·全国·模拟预测)已知函数 ,则 的单调递 增区间为( ) A. B. C. D. 【答案】A 【分析】根据对数真数大于零可构造不等式组求得函数定义域;利用导数可求得函数单调递增区间. 【详解】由 得: ,即 的定义域为 ; , 当 时, ;当 时, ; 的单调递增区间为 . 故选:A. 【变式1】(2024·四川成都·三模)已知函数 是定义在 上的奇函数,且当 时, ,则当 时, 的单调递增区间为( ) A. B. C. D. 【答案】D 【分析】首先利用导数求出函数在 上的单调性,再根据奇函数的性质得到函数在 上的单调性,即可判断. 【详解】当 时, ,则 , 所以当 时 ,当 时 , 所以 在 上单调递增,在 上单调递减, 又函数 是定义在 上的奇函数, 所以 在 上单调递增,在 上单调递减. 故选:D【变式2】(2024·四川巴中·一模)已知奇函数 的导函数为 ,若当 时 ,且 .则 的单调增区间为 . 【答案】 【分析】根据题意,由条件可得 ,即可求得 在 上的单调增区间,再由函 数的奇偶性即可得到 在 上的单调增区间,即可得到结果. 【详解】因为 时 ,则 , 又 ,则 ,即 , 所以 , 令 ,即 ,即 , 又 ,则 ,解得 , 令 ,即 ,即 , 即 ,解得 , 所以 在 单调递增, 又 为奇函数, 当 时, 在 单调递增, 所以 的单调增区间为 . 故答案为:【变式3】(2024·河南开封·三模)已知函数 , 为 的导函数. (1)求曲线 在点 处的切线方程; (2)求函数 的单调区间和极值. 【答案】(1) (2)见解析 【分析】(1)利用导数求出 , ,,代入直线的点斜式方程即可求出切线 方程; (2)求出导函数,用列表法求出极值即可. 【详解】(1)因为 的定义域为 , , 所以 , , 所以曲线 在点 处的切线方程为 . (2)依题意, ,则 , 令 ,解得 或 . 当 变化时, , 的变化情况如表所示: 1 2 + 0 - 0 + 单调递 单调递 极大值 极小值 单调递增 增 减 函数 的单调递减区间为 ,单调递增区间为 , .故 的极小值为 , 的极大值为 . 题型二 含参数的函数的单调性 (1)研究含参数的函数的单调性,要依据参数对不等式解集的影响进行分类讨论. (2)划分函数的单调区间时,要在函数定义域内讨论,还要确定导数为零的点和函数的间断 点 【例题2】(多选)(23-24高三上·海南省直辖县级单位·阶段练习)函数 ( )的大致图象可能为( ) A. B. C. D. 【答案】ABC 【分析】先求得 ,根据判别式对 进行分类讨论,由此确定正确答案. 【详解】因为 的定义域为 , . 当 ,即 时, 对任意 恒成立, 所以 在 上单调递增,故C正确; 当 ,即 或 时, 设方程 的两根为 ,且 ,可知 ,可知 同号, 令 ,得 ;令 ,得 或 , 所以 在区间 上单调递增,在区间 上单调递减,在区间 上单调 递增, 故A,B正确,D错误. 故选:ABC. 【变式1】(2024·天津·二模)已知 , (1)当 时,求 在点 处的切线方程; (2)讨论 的单调性; (3)若函数 存在极大值,且极大值为1,求证: . 【答案】(1) (2)答案见解析 (3)证明见解析 【分析】(1)利用导数,求切点处切线的方程; (2)利用导数,分类讨论函数的单调性; (3)由极大值,求出 的值,通过构造函数求最值的方法证明不等式. 【详解】(1)当 时, ,则 , 又 ,则切线的斜率 , 所求切线方程为 ,即 . (2)函数 的定义域为 , . ①当 时, , 在 上单调递增.②当 时, 时, , 函数 在 上单调递增; 时, , 函数 在 上单调递减. ③当 时, 时, ,函数 在 上单调递增; 时, ,函数 在 上单调递减. 综上可得, 当 时,函数 在 上单调递增; 当 时,函数 在 上单调递减,在 上单调递增; 当 时,函数 在 上单调递增,在 上单调递减. (3)证明:由(2)可知,当 时, 存在极大值,且极大值为 , 则 ,即 , 整理得 ,从而 ,设 ,则 . 令 ,所以 , 当 时, ,所以 在 上单调递减; 当 时, ,所以 在 上单调递增.而 ,所以 的根为 , 从而 . 因此 ,即证 成立, 也就是证 ,即证 , 也就是证 ,设 ,即证 . 设 , 当 时, , 在 上单调递减; 当 时, , 在 上单调递增. ,即 恒成立, 恒成立. 【点睛】方法点睛:导函数中常用的两种常用的转化方法:一是利用导数研究含参函数的 单调性,常化为不等式恒成立问题.注意分类讨论与数形结合思想的应用;二是函数的零 点、不等式证明常转化为函数的单调性、极(最)值问题处理,证明不等式,构造一个适当 的函数,利用它的单调性进行解题,是一种常用技巧. 【变式2】(2024·陕西商洛·三模)已知函数 . (1)求函数 的单调区间; (2)当 时,若函数 和 的图象在 上有交点,求实数 的 取值范围. 【答案】(1)答案见解析; (2) 【分析】(1)求出函数导数,分类讨论确定 的符号,得出单调区间;(2)换元转化后,问题可化为 在 上有零点,根据 单调性并分类讨论即可得 解. 【详解】(1)函数 的定义域为 , . 令 ,得 ①当 时, , 在 上单调递减; ②当 时,列表如下: 0 极大 值 所以 在 上递增, 在 上递减; ③当 时,列表如下 0 极大值 所以 在 上递增, 在 上递. 综上,当 时, 在 上递减;当 时, 在 上递增, 在 上递减;当 时, 在 上递增, 在 上递减. (2)当 时,设 函数 和 的图象在 有交点, 等价于函数 和 的图象在 上有交点,即函数 和 的图象在 上有交点, 等价于 的图象在 有零点, 的单调递增区间是 ,单调递减区间是 . ,由(1)知 当 时, 在 为增函数, 在 上有零点,则 或 , ; 当 时, 在 递增,在 递减, , 即 , 综合得:实数 的取值范围为 . 【点睛】关键点点睛:本题关键点在于通过令 换元,转化为函数 和 的图象在 上有交点,再转化为 的图象在 有零点,通过转化即 可利用 的单调性求解 【变式3】(2024·全国·模拟预测)已知函数 . (1)讨论 的单调性; (2)证明:当 时, .(参考数据: ) 【答案】(1)答案见解析 (2)证明见解析 【分析】(1)求导,分 和 讨论单调性即可; (2)先求出 的最小值,然后构造函数,根据导数求出最值来证明即可.【详解】(1)由题意得 , 当 时, 在 上恒成立, 在 上单调递减, 当 时,令 ,解得 . 当 时, ,当 , . 所以 在 上单调递减,在 上单调递增; 综合得:当 时, 在 上单调递减, 当 时, 在 上单调递减,在 上单调递增; (2)由(1)可知,当 时, 的最小值为 . 要证 成立,需 成立, 即证 . 令 ,则 . 令 ,得 (负值舍去). 当 时, ;当 时, . 因此 在 上单调递减,在 ,上单调递增. 所以当 时, 取得最小值, , 故当 时, 题型三 函数单调性的应用 由函数的单调性求参数的取值范围的方法 (1)函数在区间(a,b)上单调,实际上就是在该区间上f′(x)≥0(或f′(x)≤0)恒成立. (2)函数在区间(a,b)上存在单调区间,实际上就是f′(x)>0 (或f′(x)<0)在该区间上存在解 集 命题点1 比较大小或解不等式 【例题3】(2024·四川成都·模拟预测)若函数 对任意的 都有 恒成立, 则 与 的大小关系正确的是( )A. B. C. D.无法比较大小 【答案】C 【分析】构造函数 ,利用导数可得 在 上单调递减,从而得到 ,进而得解. 【详解】令 ,则 , 因为对任意的 都有 成立, 所以 ,即 在 上单调递减,又 , 故 ,即 ,可得 . 故选:C. 【变式1】(2023·全国·模拟预测)比较 , , 的大小关系为 ( ) A. B. C. D. 【答案】D 【分析】构造函数 ,其中 , ,其中 , ,其中 ,利用导数分析各函数的单调性,由 的单调性可得出 、 的大小关系,由 的单调性可得出 、 的大小关系,由 的单调性可得出 、 的大小关系,综合可得出 、 、 的大小关系. 【详解】构造函数 ,其中 ,则 ,所以,函数 在 上为增函数, 所以, , 所以, , 令 ,其中 , 则 对任意的 恒成立, 所以,函数 在 上为增函数, 所以, ,即 , 令 ,其中 ,则 对任意的 恒成立, 所以,函数 在 上为增函数,则 ,则 , 所以, , 综上所述, . 故选:D. 【变式2】(23-24高三上·湖南衡阳·期末)已知函数 . (1)证明:当 时, 对 恒成立. (2)若存在 ,使得 ,比较 与 的大小,并说明理 由. 【答案】(1)证明见解析 (2) ,理由见解析 【分析】(1)构造函数 ,通过导函数判断单调性可得 ,进而利用放缩和导数证明 在 上为增函数即可; (2)由 ,得 ,要证明 ,即证 ,构造 ,再利用导数证明即可. 【详解】(1)设函数 ,则 ,当 时, , 所以 为增函数,所以 , 所以 , 因为 ,所以 ,当 时, , 所以 ,所以 在 上为增函数, 故 ,即当 时, 对 恒成立. (2) , 证明如下: 不妨设 ,由 ,得 , 要证明 ,只需证 , 即证 , 即证 , 设函数 ,则 ,(方法一)设函数 ,则 . 当 时, ;当 时, , 所以 ,所以 , 由(1)可知 ,所以 ,所以 在 上单调递减, 又 ,所以 , 则 , 从而 得证. (方法二)设函数 ,则 , 当 时, ,当 时, , 所以 ,所以 , 所以 , 因为此连不等式的两个等号的取等条件不同,所以 , 从而 ,所以 ,所以 在 上单调递减, 又 ,所以 , 则 , 从而 得证. 【点睛】研究双变量问题往往通过某等量关系得出两变量之间的关系式,将双变量问题转 化为单变量问题,再通过构造函数利用导数判断出函数单调性进行问题求解. 【变式3】(23-24高三上·河北保定·阶段练习)已知函数 .(1)当 时,比较 与 的大小; (2)若函数 ,且 ,证明: . 【答案】(1) (2)证明见解析 【分析】(1)构造 ,利用导数可得 ,即 ; (2)构造函数 ,从而推得 ,再利用导数得到 的单 调性,从而得到 ,进而将问题转化为证 ,再利用导数证得 ,由此 得证. 【详解】(1)设函数 , 则 , 当 时, , 则 在 上单调递增, 所以 ,从而 ,即 ; (2)设函数 , 当 时, , ,则 恒成立,则由 ,得 , 又 ,所以 , 因为 ,所以 , 令 ,则 恒成立, 所以 在 上单调递增,则 , 所以 在 上单调递增, 又 , ,所以 , 要证 ,只需证 , 即证 . 因为 ,所以 . 设函数 ,则 , 所以 在 上单调递增, 因为 ,所以 ,所以 , 所以 , 所以 ,从而 得证. 【点睛】方法点睛:导数是研究函数的单调性、极值(最值)最有效的工具,而函数是高中 数学中重要的知识点,对导数的应用的考查主要从以下几个角度进行: (1)考查导数的几何意义,往往与解析几何、微积分相联系. (2)利用导数求函数的单调区间,判断单调性;已知单调性,求参数. (3)利用导数求函数的最值(极值),解决生活中的优化问题.(4)考查数形结合思想的应用 命题点2 根据函数的单调性求参数 【例题4】(2023·全国·模拟预测)若对任意的 , ,且 , ,则实数 的取值范围是( ) A. B. C. D. 【答案】C 【分析】根据题意易知 ,变形 可得 ,故构造函数 ,根据函数单调性的定义可得函数 在 上单调递减,由 即 可得解. 【详解】对任意的 , ,且 , ,易知 , 则 ,所以 , 即 . 令 ,则函数 在 上单调递减. 因为 ,由 ,可得 , 所以函数 的单调递减区间为 , 所以 ,故 , 即实数 的取值范围为 .故选:C 【变式1】(23-24高三上·广东汕头·期中)设 ,若函数 在 递增,则 的取值范围是( ) A. B. C. D. 【答案】B 【分析】把函数 在 递增利用导数转化为 在 上恒成立, 利用指数函数单调性得 ,解对数不等式即可得解. 【详解】因为函数 在 递增, 所以 在 上恒成立, 则 ,即 在 上恒成立, 由函数 单调递增得 , 又 ,所以 ,所以 , 所以 即 ,解得 , 所以 的取值范围是 . 故选:B 【变式2】(多选)(23-24高三上·河南·阶段练习)已知函数 ,下列命 题正确的是( ) A.若 是函数 的极值点,则B.若 ,则 在 上的最小值为0 C.若 在 上单调递减,则 D.若 在 上恒成立,则 【答案】AB 【分析】根据 为函数的极值点可对A判断;由 可求得 即可对B判断;由 在 上单调递减等价于 在区间 上恒成立,即可对C判断; 由 在 上恒成立等价于 ,构造函数 , ,再利用导数从而求出 ,即可对D判断. 【详解】对于A,由 ,得 ,因为 是函数 的 极值点, 所以 ,得 ,经检验 是函数 的极小值点,故A正确. 对于B,由选项A,由 ,得 ,可知 , 则 ,由 ,得 ,由 ,得 , 所以 在 递增,在 上递减, 所以当 时, 时, 取得最小值 ,故B正确. 对于C,因为 在 上单调递减,所以 ,即 , 得 在 上恒成立,令 ,则 , 所以 在 单调递增,所以 ,即 ,所以 ,故C不正 确.对于D,由 在 上恒成立,得 在 上 恒成立, 即 在 上恒成立,令 , ,则 , 所以 在 上单调递增,所以 ,所以 ,故D不正 确. 故选:AB 【变式3】(23-24高三上·山东青岛·期末)若函数 在 上单调递增, 则a的取值范围是 . 【答案】 【分析】分 与 两种情况,求导,然后参变分离,构造函数,求出最值,得到 答案. 【详解】 , 当 时, , 令 得 , 令 , , 在 上恒成立, 故 在 上单调递减, 又 ,所以 ,解得 ; 当 时, , 令 得 ,令 , , 在 上恒成立, 故 在 上单调递减, 其中 ,故 ,解得 , 由于 ,即 在 处连续, 综上, . 故答案为: 【课后强化】 基础保分练 一、单选题 1.(2023·全国·高考真题)已知函数 在区间 上单调递增,则a的最小 值为( ). A. B.e C. D. 【答案】C 【分析】根据 在 上恒成立,再根据分参求最值即可求出. 【详解】依题可知, 在 上恒成立,显然 ,所以 , 设 ,所以 ,所以 在 上单调递增, ,故 ,即 ,即a的最小值为 . 故选:C. 2.(23-24高三上·山西大同·阶段练习)设 在 上为增函数,则实数 取值范围是( )A. B. C. D. 【答案】D 【分析】问题化为 在 上恒成立求参数范围. 【详解】由题意, 在 上恒成立,即 恒成立, 而 ,故 . 故选:D 3.(2024·云南楚雄·一模)若 ,则函数 的图象可能是( ) A. B. C. D. 【答案】B 【分析】对比选项可知 ,由题意 , ( )是函数 的零 点, ( )都是函数 的极值点,由此可以排除A, C;进一步对 和0的大小关系分类讨论,得出函数在 处附件的增减变换情况即可. 【详解】对比各个选项可知 , 由三次函数图象与性质可得 , ( )是函数 的零点, 令 ,可知 ( )且 , 都是函数 的极值点,由此 可以排除A,C; 若 ,则函数 的图象形状为增减增, 具体为 在 单调递增,在 单调递减,在 单 调递增,可知B符合; 若 ,则函数 的图象形状为减增减, 具体为 在 单调递减,在 单调递增,在 单 调递减,可知D不符合. 故选:B. 4.(2024高三下·全国·专题练习)已知函数 ,若有且只 有两个整数 使得 ,且 ,则实数 的取值范围为( ) A. B. C. D. 【答案】B 【分析】根据题意,求得 ,分 和 ,两种情况讨论,结合 的值,得出 ,即可求解. 【详解】由函数 ,可得 ,其中 , 若 时, ,则 在 上单调递增,且 , 所以 有无数个整数解,不符合题意, 若 时,当 时, ;当 时, ,所以函数 在 上单调递增,在 上单调递减, 因为 ,所以 , 所以 ,综上可得,实数 的取值范围为 . 故选:B. 5.(2024·全国·模拟预测)已知 , , ,则 的大小关系为 ( ) A. B. C. D. 【答案】A 【分析】根据正弦函数和对数函数单调性,结合临界值 可比较出 大小关系;构造函 数 ,利用导数可得 单调性,得到 ,由此可得 大小关系,从而得到结果. 【详解】 ,又 , ,即 ; , ,即 , ; , 可令 , , 在 上单调递增, ,即 , ; 综上所述: . 故选:A.【点睛】关键点点睛:本题考查利用函数单调性比较大小的问题,解题关键是能够根据数 字特征,采用构造函数的方式,将问题转化为函数单调性的求解问题. 二、多选题 6.(2023·全国·模拟预测)已知函数 ,则( ) A.函数 是偶函数 B. 是曲线 的切线 C.存在正数 在 不单调 D.对任意实数 , 【答案】CD 【分析】先求出导函数,再逐项分析. 【详解】 是奇函数, 是偶函数,因此 是奇函数,A错误; 因为 ,又 ,所以 在 处的切线是 ,即 ,B错误; 令 ,得 ,当 时, ,当 时, ,因此 在 和 单调递增,当 时, ,在 单调递减,故当 时, 在区间 不单调,C正确; 因为 ,故对任意实数 , ,D正确; 故选:CD. 7.(23-24高三上·江西宜春·期中)下列函数中,是奇函数且在区间 上是减函数的是 ( ) A. B. C. D. 【答案】BC 【分析】根据所给条件,逐一分析各选项中函数的奇偶性及其在区间 上的增减性即可.【详解】对于A,函数 的定义域为R,是增函数,A不对; 对于B,函数 的定义域为R,是奇函数,并且在 上单调递减,B对; 对于C,函数 的定义域为 ,是奇函数,并且在 上单调递减, C对; 对于D,函数 的定义域为R,且 ,是奇函 数,对函数求导 , 当 ,函数单调递减,即 ,解得 ,所以 递减 区间是 .D不对. 故选:BC 三、填空题 8.(2024·云南大理·模拟预测)函数 的最大值为 . 【答案】 / 【分析】分类讨论去解析式中的绝对值,利用导数研究函数的单调性,根据单调性求函数 的最大值. 【详解】函数 ,定义域为 , 当 时, , , 在 为减函数,此时 ; 当 时, , ,当 时, ,当 时, , 在 上单调递增,在 上单调递减, 此时 , 综上可知, . 故答案为: . 9.(2024·全国·模拟预测)已知函数 ,若方程 有三个不同的 实根,则实数 的取值范围是 . 【答案】 【分析】通过求导得出函数的单调性和极值,即可得出有三个实根时实数 的取值范围. 【详解】由题意, 在 中, , 当 时,解得 或 , 当 即 时, 单调递减, 当 即 , 时, 单调递增, ∵ , , 当 , 方程 有三个不同的实根, ∴ 即 , 故答案为: .【点睛】易错点点点睛:本题考查函数求导,两函数的交点问题,在研究函数的图象时很 容易忽略 这个条件. 四、解答题 10.(2024·江西南昌·一模)已知函数 . (1)求 的单调递减区间; (2)求 的最大值. 【答案】(1) ; (2) . 【分析】(1)求导得 ,令 可求 的单调递减区间; (2)由(1)易判断 在 时单增, 在 时单减,进而求出 . 【详解】(1) ,令 ,得 ,即 , 所以 的单调递减区间为 ; (2)当 时, 单调递增; 当 时, 单调递减, 所以 ,即 的最大值为 . 11.(2024·江苏盐城·模拟预测)已知函数 . (1)讨论 的单调性; (2)若不等式 恒成立,求 的取值范围. 【答案】(1)答案见解析(2) 【分析】(1)讨论 的正负,从而根据导数的正负判断函数的单调性即可; (2)分离参数,然后将恒成立问题转化为函数最值问题即可. 【详解】(1)因为 , 所以 , 当 时, , 故 恒成立,所以 ; 当 时,令 , 解得 (舍去负根), 令 ,得 ,此时 单调递增; 令 ,得 ,此时 单调递减. 综上所述:当 时, 在 上单调递减; 当 时, 在 上单调递减,在 上单调递增. (2)由 恒成立,得 在 上恒成立, 所以 在 上恒成立. 令 , 则 . 令 ,易知 在 上单调递减且 , 所以当 时, , 当 时, , 所以 在 上单调递增,在 上单调递减, 所以 , 所以 ,即 的取值范围为 综合提升练 一、单选题 1.(2023·贵州毕节·一模)给出下列命题: ①函数 恰有两个零点; ②若函数 在 上单调递增,则实数a的取值范围是 ; ③若函数 满足 ,则 ; ④若关于x的方程 有解,则实数m的取值范围是 . 其中正确的是( ) A.①③ B.②④ C.③④ D.②③ 【答案】D 【分析】对于①,由零点存在性定理得到 有1个零点,结合 ,①错误; 对于②,转化为导函数在 大于等于0,参变分离后进行求解;对于③,求出 ,从而分组求和即可;对于④,先计算出 ,从而得到答案. 【详解】对于①, ,故 为函数的两个零点, 又当 时, 单调递增, 单调递减,故 在 上单调递增,且 , , 由零点存在性定理可知: ,使得 , 故函数 零点个数多于2个, 故①错误; 对于②,由题意得 在 上恒成立, 即 在 上恒成立, 因为在 上, ,故 ,故实数a的取值范围是 ,②正确; 对于③,函数 满足 , 令 ,则 ,解得 , 则 ,③正确; 由题意得 有解,其中 , 故实数m的取值范围是 ,④错误. 故选:D 2.(2023·江西·模拟预测)已知函数 的大致图象如图所示,则 ( )A. B. C. D. 【答案】B 【分析】根据图形,结合函数的单调性和极值点的概念以及韦达定理,计算即可求解. 【详解】由图可知,函数 有两个递增区间,一个递减区间, 所以函数 图象开口方向朝上,且于x轴有两个交点, 故 ; 又函数 的极大值点在y轴左侧,极小值点在y轴右侧,且极大值点离y轴较近, 所以方程 的两根 满足 , 即 ,得 , 因此 . 故选;B. 3.(2024·云南昆明·模拟预测)已知函数 在区间 上单调递增, 则a的最小值为( ) A. B. C.e D. 【答案】A 【分析】 在 上恒成立,即 ,构造函数 , ,求 导得到其单调性,得到 ,得到 ,求出答案.【详解】由题意得 在 上恒成立, ,故 , 即 , 令 , , 则 在 上恒成立, 故 在 上单调递减, 故 , 故 ,故a的最小值为 . 故选:A 4.(2024·全国·模拟预测)已知函数 , 为 的导函数, ,则( ) A. 的极大值为 ,无极小值 B. 的极小值为 ,无极大值 C. 的极大值为 ,无极小值 D. 的极小值为 ,无极大值 【答案】C 【分析】本题考查利用导数判断函数的极值,考查考生的运算求解能力,可按下列顺序求 解: 的单调性 的极值情况【详解】 的定义域为 , , 所以 , 求导得 ,令 ,得 , 当 时, ;当 时, , 所以函数 在 上单调递增,在 上单调递减,且当 时, 取 得极大值 ,无极小值. 故选:C. 5.(2024·全国·模拟预测)已知 ,则它们之间的大小关系是( ) A. B. C. D. 【答案】B 【分析】构造函数 ,求导判断单调性即可得 大小,再构造 函数 , ,根据两个函数过点 ,及两图象特点,在同一 坐标系画出两函数图象,即可得 大小,从而可得结论. 【详解】构造函数 ,则 ( ,当 时取等号), 所以 在 上单调递减,所以 ,所以 ; 构造函数 , .易知点 都在函数 与 的图像上. 作出函数 与 的大致图像,如图:由图易得 ,所以 .综上可知, . 故选B. 6.(2023·贵州遵义·模拟预测)若函数 在区间 上单调递增,则 的可能取 值为( ) A.2 B.3 C.4 D.5 【答案】A 【分析】由 ,结合题意 在 上恒成立求范围,即可判断所能 取的值. 【详解】由题设 在区间 上单调递增,所以 恒成立, 所以 上 恒成立,即 恒成立, 而 在 上递增,故 . 所以A符合要求. 故选:A 7.(2024·全国·模拟预测)若 , , ,则 , , 的大小顺序为 ( ) A. B. C. D. 【答案】B 【分析】结合已知要比较函数值的结构特点,构造函数 ,利用导数研究函数单调性,通过函数单调性比较大小即可. 【详解】构造函数 ,则 , , , 由 ,令 得 ,令 得 , 则 在 上单调递增,在 上单调递减. 因为 ,所以 ,所以 ; 因为 ,所以 ,所以 ; 令 ,且 ,则 , 令 , , 则 , 所以 在 上单调递增, 又 ,所以 ,所以 , 因为 ,且 ,所以 ,所以 . 故选:B 8.(2023·吉林通化·模拟预测)已知函数 有两个大于1的零点,则 的取 值范围可以是( ) A. B. C. D.【答案】D 【分析】由函数 有两个大于1的零点,得 在 不单调,然后利用导数研究 函数 的单调性即可求解. 【详解】因为函数 有两个大于1的零点,所以 在 不单调. 由 得 , 当 时, 恒成立,所以 在 上单调递增,不符合题意; 当 时,显然 在 上单调递增,而 , 当 时,当 时, ,所以 在 上单调递增,不符合 题意,此时可排除ABC; 当 时,因为 , 所以存在 ,使得 ,即 , 当 时, , 单调递减, 当 时, , 单调递增, 所以 在 处取得极小值,也是最小值. 而 ,当 趋向正无穷时, 趋向正无穷, 所以当函数 有两个大于1的零点时,只要 即可, , 设 ,则 ,所以 单调递增;设 ,则 ,当 时, , 单调递减; 对于D,当 时,由 知 , 当 时, ,所以 ,满足题意; 故选:D. 【点睛】方法点睛:导函数中常用的两种转化方法: 一是利用导数研究含参函数的单调性,常化为不等式恒成立问题.注意分类讨论与数形结 合思想的应用; 二是函数的零点、不等式证明常转化为函数的单调性、极(最)值问题处理. 二、多选题 9.(22-23高三上·云南昆明·阶段练习)已知函数 ,则( ) A.函数的极大值点为 B.函数的极小值点为 C.函数在 上单调递增 D.函数在 上单调递减 【答案】AD 【分析】先求出函数的导数,然后由导数的正负求出函数的单调区间,从而可求出函数的 极值. 【详解】定义域为 由 ,得 ,当 或 时, ,当 或 时, , 所以函数在 和 上递增,在 和 上递减, 所以当 为极大值点, 为极小值点, 所以AD正确,BC错误, 故选:AD 10.(2023·云南昆明·模拟预测)已知函数 ,其中 ,下列选项中, 能使函数 有且仅有一个零点的是( ) A. , B. , C. , D. , 【答案】ABD 【分析】由题意可得 ,问题转化为函数 的图象与直线 有且只有 一个交点.利用导数,分类讨论函数 的单调性.结合选项,分析函数 的性质即可求 解. 【详解】由 ,得 ,设 , 将问题转化为函数 的图象与直线 有且只有一个交点, ,当 时 , 在R上单调递增, 当 时, 时, ,函数 单调递增; 当 时, ,函数 单调递减; 当 时, ,函数 单调递增,所以函数 极大值为 ,极小值为 , 若 ,则 在R上单调递增,其图象与直线 有且只有一个交点,故A正确; 若 ,则 在R上单调递增,其图象与直线 有且只有一个交点,故B正确; 若 ,则函数 的极大值为 ,极小值为 ,如图, 由图可知,函数 图象与直线 有2个交点,故C错误; 若 ,函数 的极大值为 ,极小值为 , 所以函数 图象与直线 有且只有1个交点,故D正确. 故选:ABD. 11.(2023·山东泰安·一模)已知函数 有两个极值点 , ,则( ) A. B. C. D. , 【答案】ACD 【分析】求出 ,根据已知得 有两个变号零点,令 ,求出 , 分类讨论根据其正负得出 单调性,令其满足有两个变号零点,当 时,不满足题意,当 时,则 ,即可解出 的范围,判断A; 根据已知可得 有两个变号零点 , ,而函数 在 上单调递增, 在 上单调递减,则 ,即可判断B; ,则 ,根据不等式的性质即可得出 范围,判断C; 根据 得出函数 单调性,结合 ,且 ,列不等式,即可判断D. 【详解】对于A: ,定义域 , , 函数 有两个极值点 , , 则 有两个变号零点, 设 , 则 , 当 时, ,则函数 单调递增,则函数 最多只有一个变号零点,不 符合题意,故舍去; 当 时, 时, , 时, , 则函数 在 上单调递增,在 上单调递减, 若 有两个变号零点,则 ,解得: , 此时 由正趋向于 时, 趋向于 , 趋向于 时, 趋向于 ,则 有两个变号零点,满足题意, 故 的范围为: ,故A正确; 对于B:函数 有两个极值点 , , 即 有两个变号零点 , , 则 ,故B错误; 对于C:当 时, , 则 ,即 , , 则 ,故C正确; 对于D: 有两个变号零点 , ,且函数 先增后减, 则函数 在 与 上单调递减,在 上单调递增, ,且 , ,故D正确; 故选:ACD. 【点睛】方法点睛:导函数中常用的两种转化方法: 一是利用导数研究含参函数的单调性,常转化为不等式恒成立问题,注意分类讨论与数形 结合思想的应用; 二是函数的零点、不等式证明常转化为函数的单调性、极(最)值问题处理; 再利用导数研究函数单调性、极值或最值时,如果一次求导无法求解,可考虑多次求导来 进行求解,求解过程要注意原函数和对于的导函数的关系,不能混淆. 三、填空题 12.(2024·四川成都·三模)已知函数 是定义在 上的奇函数,且当 时,,则当 时, 的单调递增区间为 . 【答案】 【分析】利用导数求当 时 的单调递增区间,再根据奇函数的对称性求得结果. 【详解】当 时, , 由 ,解得 ,所以 在区间 上单调递增, 因为函数 是定义在 上的奇函数, 所以函数 图象关于原点对称, 所以 在区间 上单调递增. 故答案为: . 13.(2023·湖南·模拟预测)已知函数 ,对于任意 ,都有 ,则实数 的取值范围为 . 【答案】 【分析】换元,求导,利用导数研究函数的单调性,把 转化为 ,利用函数最值建立不等关系求解即可. 【详解】当 时, ,符合题意; 当 时,令 ,则 , 可化为 , 令 ,则 ,时, 单调递减, 时, 单调递增, 所以 的最小值为 , 对于任意 ,都有 , 等价于 ,即 , 对于①:由 在 上单调递增,且 , 可知 ,即 且 , 在 且 的条件下,对②:由 时, 单调递减, 可得 ,②成立, 综上可知:实数 的取值范围为 . 故答案为: 14.(2023·广东广州·模拟预测)已知函数 恰有两个零 点,则 . 【答案】 【分析】利用导数,求出 的单调区间,由函数 恰有两个零点即函数 与x轴 有两个不同的交点,从而建立等量关系求解可得. 【详解】因为 , 所以 令 ,则 ,令 , 故当 时 ,函数 为增函数,当 时 ,函数 为减函数, 即当 时函数 有最小值 , 若 ,即 时 ,此时函数 在R上为增函数,与题意不符, 且当 时, 的零点为1; 若 ,即 时,此时函数 与x轴有两个不同交点, 设交点为 ,且 ,即 , 所以当 或 时 ,即 ,此时函数 为增函数, 当 时 ,即 ,此时函数 为减函数, 依题意,函数 恰有两个零点即函数 与x轴有两个不同的交点,即 或 , 所以 或 , 所以 ,所以 , 故答案为: . 【点睛】根据函数零点个数求解参数范围的问题的一般方法: 设 方法一:转化为函数 与x轴交点个数问题,通过求解 单调性构造不等式求解; 方法二:转化为函数 的交点个数问题求解.四、解答题 15.(2024·全国·模拟预测)已知函数 . (1)当 , 时,求 的单调区间; (2)若函数 在 处取得极值 ,求曲线 在点 处的切线方程. 【答案】(1) 的单调递增区间为 , ,单调递减区间为 (2) 【分析】(1)代入 , ,根据导数求单调区间即可; (2)根据极值点处导数为0,以及导数的几何意义求解即可. 【详解】(1)当 , 时, .定义域为 . 则 . 令 ,则 , ,所以,当 或 时, ; 当 时, . 因此, 的单调递增区间为 , ,单调递减区间为 . (2)依题意知 的定义域为 ,对 求导,得 . 由已知得 解得 , 所以 . 可知 在 上单调递增,在 上单调递减,满足 在 处取得极值, . 切点 为 , ,所以曲线 在点 处的切线方程为 ,整理可得 . 16.(2024·全国·模拟预测)已知函数 . (1)讨论 的单调性; (2)证明:当 时, . 【答案】(1)答案见解析; (2)证明见解析. 【分析】(1)求出函数的导数,讨论a的正负,判断导数的正负,即可求得答案; (2)由(1)可得函数的最小值,要证明 ,及证 ;方法一,构造函数 ,利用导数 求其最小值,说明大于等于0即可;方法二,利用 进行放缩,证明 即可. 【详解】(1) 的定义域为 , . 若 ,则 , 在 上单调递减: 若 ,则由 得 ,当 时, ;当 时, ; 故 在 上单调递减,在 上单调递增; 故当 时, 在 上单调递减: 当 时, 在 上单调递减,在 上单调递增; (2)方法1,当 时,由(1)知,当 时, 取得最小值. 所以 ,从而 . 设 ,则 . 当 时, ;当 时, , 所以 在 上单调递减,在 上单调递增, 故当 时. ,故当 时, ,即 ; 方法2:当 时,由(1)知,当 时, 取得最小值, 所以 ,从而 , 令 , , 当 时, ;当 时, ; 故 ,当 等号成立; 所以,当 时, , 即 . 17.(2024·全国·模拟预测)已知函数 , . (1)讨论 的单调性; (2)证明:当 时, . 【答案】(1)答案见解析 (2)证明见解析 【分析】(1)求导得 ,再分 和 两种情况讨论即可. (2)由(1)知 ,从而 ,即证明 , 再构造新函数 ,利用导数得证. 【详解】(1) , 当 在 上恒成立,故 在 上单调递增; 当 时,令 得 ; 令 得 , 故 在 上单调递增,在 上单调递减.(2)证明:由(1)知,当 时, , 所以 . 令 , 则 . 令 , 则 . 因为 ,所以 , 所以 在 上单调递增. 又 ,所以 , 所以 在 上单调递减. 因为 ,所以 , 所以 , 即当 时, . 18.(2024·青海·模拟预测)已知函数 . (1)讨论 的单调性; (2)若 有3个不同的零点,求 的取值范围. 【答案】(1)答案见解析 (2) 【分析】(1)求导,利用导数判断函数的单调性,分 与1的大小关系讨论即可;(2)分别讨论 与 的大小时,利用导数求出函数的极值,再求 有3个零点时极值 的范围即可求出结果. 【详解】(1) , 令 ,解得 或 , ①当 ,即 时, 由 得 或 ;由 得 , 所以 在 和 上单调递增;在 上单调递减; ②当 ,即 时, 恒成立,所以 在 上单调递增; ③当 ,即 时, 由 得 或 ;由 得 , 所以 在 和 上单调递增;在 上单调递减; 综上, 当 时, 在 和 上单调递增;在 上单调递减; 当 时, 在 上单调递增; 当 时, 在 和 上单调递增;在 上单调递减. (2)因为 有3个零点,所以 , 当 时,极大值 ;极小值 , 所以 ,解得 且 , 当 时,极大值 ;极小值 ,所以 ,解得 , 综上, 的取值范围为 . 【点睛】方法点睛: (1)带参数的单调性讨论问题可按照如下步骤求解:求导,讨论方程的性质,根的个数, 根的大小,根与给定区间的关系; (2)已知方程根的个数求参数时,可求导分析极值,利用极值范围求解. 19.(2023·全国·模拟预测)已知函数 ,其中 为自然对数的底数. (1)若 在区间 上不是单调函数,求 的取值范围. (2)当 时, 恒成立,求 的取值范围. 【答案】(1) (2) . 【分析】(1)首先对原函数求导,方法一:通过讨论a的范围得到函数的单调区间,只需 要极值点在区间 内即可求出a的范围;方法二:求出函数恒单调时a的取值范围,取 其补集即可; (2)原不等式整理后可得 在 上恒成立,构造新函数 , ,通过二次求导结合分类讨论思想即可得到答案. 【详解】(1)方法一 由 ,得 . 若 ,则 恒成立, 为增函数,不符合题意. 若 ,令 ,得 ,令 ,得 ,所以 在 上单调递减,在 上单调递增. 因为 在区间 上不是单调函数,所以 , 所以 ,所以 . 方法二 由 ,得 . 若 在区间 上是单调函数, 则 或 在 上恒成立. 若 在 上恒成立,则 在 上恒成立,所以 . 若 在 上恒成立,则 在 上恒成立,所以 . 所以若 在区间 上不是单调函数,则 . (2)当 时, ,即 , 整理得 在 上恒成立. 令 , ,则 . 令 ,则 . 因为 ,所以 ,所以 在 上为增函数, 所以 在 上为增函数. 所以 . 所以 . 当 ,即 时, 恒成立,所以 在 上为增函数,所以 ,即 恒成立. 当 ,即 时,因为 在 上单调递增,所以 ,使得 . 即当 时, ,当 时, . 又因为 ,所以 在 上不恒成立. 综上可知, 的取值范围是 . 【点睛】第二问转化为 在 上恒成立,其实只要注意到 ,必有 成立,可以得到 这个必要条件,然后再论证 是满足题 意也是可行的 拓展冲刺练 一、单选题 1.(2024·全国·模拟预测)下列函数是奇函数且在 上单调递减的是( ) A. B. C. D. 【答案】D 【分析】根据函数奇偶性定义可排除A,利用特殊值法可排除B,利用导数求函数单调性可 排除C,根据函数奇偶性定义及复合函数单调性可得结果. 【详解】对于A,因为 ,所以 , 即 为非奇非偶函数,故排除A. 对于B,因为 , ,所以 ,所以 在 上不是单调递减的,故排除B. 对于C,对 求导,得 .令 ,解得 . 令 ,解得 或 , 所以 在 上单调递增,在 上单调递减,故排除C. 对于D,易得 的定义域为 , 且 ,所以 为奇函数. 令 ,则 .易知 在 上单调递增, 在 上单调递减.由复合函数的单调性,得 在 上单调递减. 故选:D. 2.(2024·全国·模拟预测)已知函数 且 在区间 上单调递减,则 的取值范围是( ) A. B. C. D. 【答案】A 【分析】对数函数的单调性与底数有关,分 和 两种情况讨论,此外还要注意对 数函数的定义域,即真数为正;复合函数单调性满足“同增异减”,根据对数函数单调性 结合题干中“在区间 上单调递减”得到真数部分函数的单调性,从而求得 的取值范围. 【详解】设函数 ,则 . ①若 ,则 在定义域上单调递减. 又 在区间 上单调递减,所以 在区间 上单调 递增,故 对任意的 恒成立. 又 ,所以对任意的 显然成立. 又因为 对任意 恒成立,所以 0,故 . ②若 ,则 在定义域上单调递增. 又 在区间 上单调递减,所以 在区间 上单调 递减,故 对任意的 恒成立. 因为抛物线 的开口向上,所以 不可能对任意的 恒成立. 所以 的取值范围为 . 故选:A. 3.(2024·甘肃兰州·三模)函数 ,若 在 是减函数,则 实数a的取值范围为( ) A. B. C. D. 【答案】C 【分析】求导,导函数小于等于0恒成立,分离参数求新函数最值即可求解. 【详解】函数 ,若函数在区间 上是减函数,则 在 恒成立, 即 在 恒成立, 由对勾函数性质可知 在 单调递减,故 ,所以 . 故选:C. 4.(2024·全国·模拟预测)已知 ,则 ( ) A. B. C. D. 【答案】B 【分析】构造函数利用导数证明得当 时,有 ,从而可证得 ,同理当 时,有 ,从而 ,另一方面注意到 , 由此即可得解. 【详解】设 ,则 , 所以 在 单调递增,所以 ,即当 时,有 , 所以 .同理可得 , 所以 ,即 . 设 ,则 0, 所以 在 单调递增,所以 ,即当 时,有 ,所以 . 又因为 ,所以 . 综上可知, . 故选:B. 【点睛】关键点点睛:在比较 的大小关系时,关键是找到适当的中间值,然后通过适 当的放缩比较大小即可顺利得解. 二、多选题 5.(2024·云南昆明·模拟预测)已知函数 ,则下列说法正确的是 ( ) A.若 为 上的单调函数,则 B.若 时, 在 上有最小值,无最大值 C.若 为奇函数,则 D.当 时, 在 处的切线方程为 【答案】BCD 【分析】A选项利用导数恒正或恒负可解得;B选项求导,判断单调区间和单调性得出极值; C选项利用奇函数的性质求出;D选项利用导数的意义结合点斜式求出. 【详解】A:若 为 上的单调函数,则 , ,则 ,故A错; B:当 时, ,令 ,得 , ,则 在 上单调递减,在 上单调递增, 在 处取最 小值,无最大值,故B对; C:由于 ,则 为奇函数时,,故C对; D:当 时, , ,则 ,切点为 ,切线方程为 ,故D对; 故选:BCD. 6.(2024·云南曲靖·一模)下列不等式正确的是( ) A. B. C. D. 【答案】ABC 【分析】利用函数 的单调性可判断A选项;利用函数 的单调 性可判断B选项;利用函数 在 上的单调性可判断C选项;利用函数 在 上的单调性可判断D选项. 【详解】对于A选项,令 ,则 , 当 时, ,则函数 在 上单调递减, 因为 ,则 ,即 ,即 ,即 , 所以, ,A对; 对于B选项,令 ,则 , 当 时, ,即函数 在 上为增函数, 所以, ,即 ,B对;对于C选项,令 ,其中 , 则 对任意的 恒成立, 所以,函数 在 上为增函数,因为 ,则 , 所以, ,C对; 对于D选项,令 ,其中 ,则 , 令 , 由C选项可知, 对任意的 恒成立, 所以,函数 在 上单调递增,则 , 则函数 在 上单调递增, 因为 ,则 ,即 , 又因为 ,即 ,D错. 故选:ABC. 【点睛】思路点睛:解答比较函数值大小问题,常见的思路有两个: (1)判断各个数值所在的区间; (2)利用函数的单调性直接解答. 数值比较多的比较大小问题也也可以利用两种方法的综合应用. 三、填空题 7.(2024·全国·模拟预测)已知 , , ,且 ,则a,b, c的大小关系为 .(用“ ”连接) 【答案】 【分析】由已知条件得到 , ,令 ,利用导数法得到 ,从而 , ,再设 ,由 的单调性判断即可. 【详解】∵ , , ,且实数a,b,c满足 , ∴ , ,∴ , . 令 ,则 , ∴ 在 上单调递减,在 上单调递增, ∴ , 即 ,∴ ,∴ . 设 ,则 , , ∴ 在 上单调递减, ∴ .综上, . 故答案为: 8.(2023·安徽·二模)若不等式 对 恒成立,则实数a的取值 范围为 . 【答案】 【分析】用构造法解决含参不等式的恒成立问题,求解实数a的取值范围. 【详解】设 ,则 .当 时, 恒成立, 则函数 在 上单调递增, ,不合题意,舍去; 当 时,由 得 . 当 时, ,当 时, ,则函数 在 上单调递增,在 上单调递减, ,令 ,易得 在 上单调递减, ,则 的解集为 ,即实数a的取值范围是 . 故答案为: . 四、解答题 9.(2024·湖南衡阳·二模)已知函数 ,当 时, 取得极 值 . (1)求 的解析式; (2)求 在区间 上的最值. 【答案】(1) (2) 的最小值为 ,最大值为 . 【分析】(1)利用极值定义可求得 ,可得解析式; (2)利用导函数判断出函数 在区间 上的单调性,比较端点处的值可得结论. 【详解】(1)依题意可得 , 又当 时, 取得极值 ,所以 ,即 ; 解得 ; 所以 ; (2)由(1)可知 ,令 ,可得 或 , 当 变化时, 的变化情况如下表所示: 单调递 单调递增 单调递增 减 因此,在区间 上, 的最小值为 ,最大值为 . 10.(2024·陕西西安·三模)已知函数 ,函数 在区间 上为增函数. (1)确定 的值,求 时曲线 在点 处的切线方程; (2)设函数 在 上是单调函数,求实数 的取值范围. 【答案】(1) , ; (2) 或 ./ 【分析】(1)求出函数 的导数,利用给定单调性列出不等式求出 ;求出 的导数, 利用导数的几何意义求出切线方程. (2)由(1)求出函数 的解析式,利用导数结合单调性求出 的范围. 【详解】(1)函数 的定义域为 ,求导得 , 由函数 在 上为增函数,得 ,由 ,得 , 因此 对 恒成立,而 恒成立,则 ,因此 ,所以 ; 当 时, ,求导得 ,则 ,而 , 所以曲线 在点 处的切线方程为 ,即 . (2)由(1)知,函数 , 求导得 ,由函数 在 上是单调函数, 得 , 或 恒成立, 即 或 对 恒成立,而当 时,恒有 , 且 ,当且仅当 时取等号,因此 或 , 所以实数 的取值范围 或 . 【点睛】结论点睛:利用函数的单调性求参数,可按照以下原则进行: ①若函数 在区间 上单调递增,则 在区间 上恒成立; ②若函数 在区间 上单调递减,则 在区间 上恒成立; ③若函数 在区间 上不单调,则 在区间 上存在极值点; ④若函数 在区间 上存在单调递增区间,则 ,使得 成立; ⑤若函数 在区间 上存在单调递减区间,则 ,使得 成立. 11.(2024·辽宁丹东·一模)已知函数 . (1)讨论函数 的单调性; (2)当 时,数列 满足 , ①求证: ;②求证: . 【答案】(1)答案见解析 (2)①证明见解析;②证明见解析 【分析】(1)根据题意,求得 ,分 和 ,两种情况讨论,即可求解; (2)①令 ,可得 ,由(1)得到函数 在 的单 调性,证得 ,得到 ,即 ,进而证得结论; ②根据题意,求得 ,进而得到 ,结合对数的 运算性质,求得 ,即可得证. 【详解】(1)解:由函数 ,可得其定义域为 ,且 , 当 时, ,可得 在 上单调递增; 当 时,令 ,可得 , 当 时, , 单调递增; 当 时, , 单调递减, 所以,当 时,函数 在 上单调递增; 当 时,函数 在 上单调递增,在 上单调递减; (2)证明:①当 时, , 令 ,可得由(1)知,当 时,函数 在 上单调递增,在 上单调递减, 所以 ,所以 ,即 , 所以 ,即 , 又由函数 在 为单调递增函数, 因为 ,则 , 所以 ,即 ,所以 . ②因为 ,且 ,可得 当 时, , , , ,所以 ,所以 , 所以当 时, , 所以 , 则 , 所以 ,所以 . 【点睛】方法总结:利用导数证明或判定不等式问题: 1、通常要构造新函数,利用导数研究函数的单调性与极值(最值),从而得出不等关系; 2、利用可分离变量,构造新函数,直接把问题转化为函数的最值问题,从而判定不等关系; 3、适当放缩构造法:根据已知条件适当放缩或利用常见放缩结论,从而判定不等关系; 4、构造“形似”函数,变形再构造,对原不等式同解变形,根据相似结构构造辅助函数.