当前位置:首页>文档>考点24两角和与差的正弦、余弦和正切公式(3种核心题型+基础保分练+综合提升练+拓展冲刺练)解析版_2.2025数学总复习_2025年新高考资料_一轮复习

考点24两角和与差的正弦、余弦和正切公式(3种核心题型+基础保分练+综合提升练+拓展冲刺练)解析版_2.2025数学总复习_2025年新高考资料_一轮复习

  • 2026-03-29 15:51:14 2026-03-27 11:51:49

文档预览

考点24两角和与差的正弦、余弦和正切公式(3种核心题型+基础保分练+综合提升练+拓展冲刺练)解析版_2.2025数学总复习_2025年新高考资料_一轮复习
考点24两角和与差的正弦、余弦和正切公式(3种核心题型+基础保分练+综合提升练+拓展冲刺练)解析版_2.2025数学总复习_2025年新高考资料_一轮复习
考点24两角和与差的正弦、余弦和正切公式(3种核心题型+基础保分练+综合提升练+拓展冲刺练)解析版_2.2025数学总复习_2025年新高考资料_一轮复习
考点24两角和与差的正弦、余弦和正切公式(3种核心题型+基础保分练+综合提升练+拓展冲刺练)解析版_2.2025数学总复习_2025年新高考资料_一轮复习
考点24两角和与差的正弦、余弦和正切公式(3种核心题型+基础保分练+综合提升练+拓展冲刺练)解析版_2.2025数学总复习_2025年新高考资料_一轮复习
考点24两角和与差的正弦、余弦和正切公式(3种核心题型+基础保分练+综合提升练+拓展冲刺练)解析版_2.2025数学总复习_2025年新高考资料_一轮复习
考点24两角和与差的正弦、余弦和正切公式(3种核心题型+基础保分练+综合提升练+拓展冲刺练)解析版_2.2025数学总复习_2025年新高考资料_一轮复习
考点24两角和与差的正弦、余弦和正切公式(3种核心题型+基础保分练+综合提升练+拓展冲刺练)解析版_2.2025数学总复习_2025年新高考资料_一轮复习
考点24两角和与差的正弦、余弦和正切公式(3种核心题型+基础保分练+综合提升练+拓展冲刺练)解析版_2.2025数学总复习_2025年新高考资料_一轮复习
考点24两角和与差的正弦、余弦和正切公式(3种核心题型+基础保分练+综合提升练+拓展冲刺练)解析版_2.2025数学总复习_2025年新高考资料_一轮复习
考点24两角和与差的正弦、余弦和正切公式(3种核心题型+基础保分练+综合提升练+拓展冲刺练)解析版_2.2025数学总复习_2025年新高考资料_一轮复习
考点24两角和与差的正弦、余弦和正切公式(3种核心题型+基础保分练+综合提升练+拓展冲刺练)解析版_2.2025数学总复习_2025年新高考资料_一轮复习
考点24两角和与差的正弦、余弦和正切公式(3种核心题型+基础保分练+综合提升练+拓展冲刺练)解析版_2.2025数学总复习_2025年新高考资料_一轮复习
考点24两角和与差的正弦、余弦和正切公式(3种核心题型+基础保分练+综合提升练+拓展冲刺练)解析版_2.2025数学总复习_2025年新高考资料_一轮复习
考点24两角和与差的正弦、余弦和正切公式(3种核心题型+基础保分练+综合提升练+拓展冲刺练)解析版_2.2025数学总复习_2025年新高考资料_一轮复习
考点24两角和与差的正弦、余弦和正切公式(3种核心题型+基础保分练+综合提升练+拓展冲刺练)解析版_2.2025数学总复习_2025年新高考资料_一轮复习
考点24两角和与差的正弦、余弦和正切公式(3种核心题型+基础保分练+综合提升练+拓展冲刺练)解析版_2.2025数学总复习_2025年新高考资料_一轮复习
考点24两角和与差的正弦、余弦和正切公式(3种核心题型+基础保分练+综合提升练+拓展冲刺练)解析版_2.2025数学总复习_2025年新高考资料_一轮复习
考点24两角和与差的正弦、余弦和正切公式(3种核心题型+基础保分练+综合提升练+拓展冲刺练)解析版_2.2025数学总复习_2025年新高考资料_一轮复习
考点24两角和与差的正弦、余弦和正切公式(3种核心题型+基础保分练+综合提升练+拓展冲刺练)解析版_2.2025数学总复习_2025年新高考资料_一轮复习
考点24两角和与差的正弦、余弦和正切公式(3种核心题型+基础保分练+综合提升练+拓展冲刺练)解析版_2.2025数学总复习_2025年新高考资料_一轮复习
考点24两角和与差的正弦、余弦和正切公式(3种核心题型+基础保分练+综合提升练+拓展冲刺练)解析版_2.2025数学总复习_2025年新高考资料_一轮复习
考点24两角和与差的正弦、余弦和正切公式(3种核心题型+基础保分练+综合提升练+拓展冲刺练)解析版_2.2025数学总复习_2025年新高考资料_一轮复习
考点24两角和与差的正弦、余弦和正切公式(3种核心题型+基础保分练+综合提升练+拓展冲刺练)解析版_2.2025数学总复习_2025年新高考资料_一轮复习
考点24两角和与差的正弦、余弦和正切公式(3种核心题型+基础保分练+综合提升练+拓展冲刺练)解析版_2.2025数学总复习_2025年新高考资料_一轮复习
考点24两角和与差的正弦、余弦和正切公式(3种核心题型+基础保分练+综合提升练+拓展冲刺练)解析版_2.2025数学总复习_2025年新高考资料_一轮复习
考点24两角和与差的正弦、余弦和正切公式(3种核心题型+基础保分练+综合提升练+拓展冲刺练)解析版_2.2025数学总复习_2025年新高考资料_一轮复习
考点24两角和与差的正弦、余弦和正切公式(3种核心题型+基础保分练+综合提升练+拓展冲刺练)解析版_2.2025数学总复习_2025年新高考资料_一轮复习
考点24两角和与差的正弦、余弦和正切公式(3种核心题型+基础保分练+综合提升练+拓展冲刺练)解析版_2.2025数学总复习_2025年新高考资料_一轮复习
考点24两角和与差的正弦、余弦和正切公式(3种核心题型+基础保分练+综合提升练+拓展冲刺练)解析版_2.2025数学总复习_2025年新高考资料_一轮复习
考点24两角和与差的正弦、余弦和正切公式(3种核心题型+基础保分练+综合提升练+拓展冲刺练)解析版_2.2025数学总复习_2025年新高考资料_一轮复习
考点24两角和与差的正弦、余弦和正切公式(3种核心题型+基础保分练+综合提升练+拓展冲刺练)解析版_2.2025数学总复习_2025年新高考资料_一轮复习
考点24两角和与差的正弦、余弦和正切公式(3种核心题型+基础保分练+综合提升练+拓展冲刺练)解析版_2.2025数学总复习_2025年新高考资料_一轮复习
考点24两角和与差的正弦、余弦和正切公式(3种核心题型+基础保分练+综合提升练+拓展冲刺练)解析版_2.2025数学总复习_2025年新高考资料_一轮复习
考点24两角和与差的正弦、余弦和正切公式(3种核心题型+基础保分练+综合提升练+拓展冲刺练)解析版_2.2025数学总复习_2025年新高考资料_一轮复习
考点24两角和与差的正弦、余弦和正切公式(3种核心题型+基础保分练+综合提升练+拓展冲刺练)解析版_2.2025数学总复习_2025年新高考资料_一轮复习
考点24两角和与差的正弦、余弦和正切公式(3种核心题型+基础保分练+综合提升练+拓展冲刺练)解析版_2.2025数学总复习_2025年新高考资料_一轮复习
考点24两角和与差的正弦、余弦和正切公式(3种核心题型+基础保分练+综合提升练+拓展冲刺练)解析版_2.2025数学总复习_2025年新高考资料_一轮复习
考点24两角和与差的正弦、余弦和正切公式(3种核心题型+基础保分练+综合提升练+拓展冲刺练)解析版_2.2025数学总复习_2025年新高考资料_一轮复习
考点24两角和与差的正弦、余弦和正切公式(3种核心题型+基础保分练+综合提升练+拓展冲刺练)解析版_2.2025数学总复习_2025年新高考资料_一轮复习
考点24两角和与差的正弦、余弦和正切公式(3种核心题型+基础保分练+综合提升练+拓展冲刺练)解析版_2.2025数学总复习_2025年新高考资料_一轮复习
考点24两角和与差的正弦、余弦和正切公式(3种核心题型+基础保分练+综合提升练+拓展冲刺练)解析版_2.2025数学总复习_2025年新高考资料_一轮复习
考点24两角和与差的正弦、余弦和正切公式(3种核心题型+基础保分练+综合提升练+拓展冲刺练)解析版_2.2025数学总复习_2025年新高考资料_一轮复习
考点24两角和与差的正弦、余弦和正切公式(3种核心题型+基础保分练+综合提升练+拓展冲刺练)解析版_2.2025数学总复习_2025年新高考资料_一轮复习
考点24两角和与差的正弦、余弦和正切公式(3种核心题型+基础保分练+综合提升练+拓展冲刺练)解析版_2.2025数学总复习_2025年新高考资料_一轮复习
考点24两角和与差的正弦、余弦和正切公式(3种核心题型+基础保分练+综合提升练+拓展冲刺练)解析版_2.2025数学总复习_2025年新高考资料_一轮复习
考点24两角和与差的正弦、余弦和正切公式(3种核心题型+基础保分练+综合提升练+拓展冲刺练)解析版_2.2025数学总复习_2025年新高考资料_一轮复习
考点24两角和与差的正弦、余弦和正切公式(3种核心题型+基础保分练+综合提升练+拓展冲刺练)解析版_2.2025数学总复习_2025年新高考资料_一轮复习
考点24两角和与差的正弦、余弦和正切公式(3种核心题型+基础保分练+综合提升练+拓展冲刺练)解析版_2.2025数学总复习_2025年新高考资料_一轮复习
考点24两角和与差的正弦、余弦和正切公式(3种核心题型+基础保分练+综合提升练+拓展冲刺练)解析版_2.2025数学总复习_2025年新高考资料_一轮复习
考点24两角和与差的正弦、余弦和正切公式(3种核心题型+基础保分练+综合提升练+拓展冲刺练)解析版_2.2025数学总复习_2025年新高考资料_一轮复习
考点24两角和与差的正弦、余弦和正切公式(3种核心题型+基础保分练+综合提升练+拓展冲刺练)解析版_2.2025数学总复习_2025年新高考资料_一轮复习

文档信息

文档格式
docx
文档大小
1.835 MB
文档页数
48 页
上传时间
2026-03-27 11:51:49

文档内容

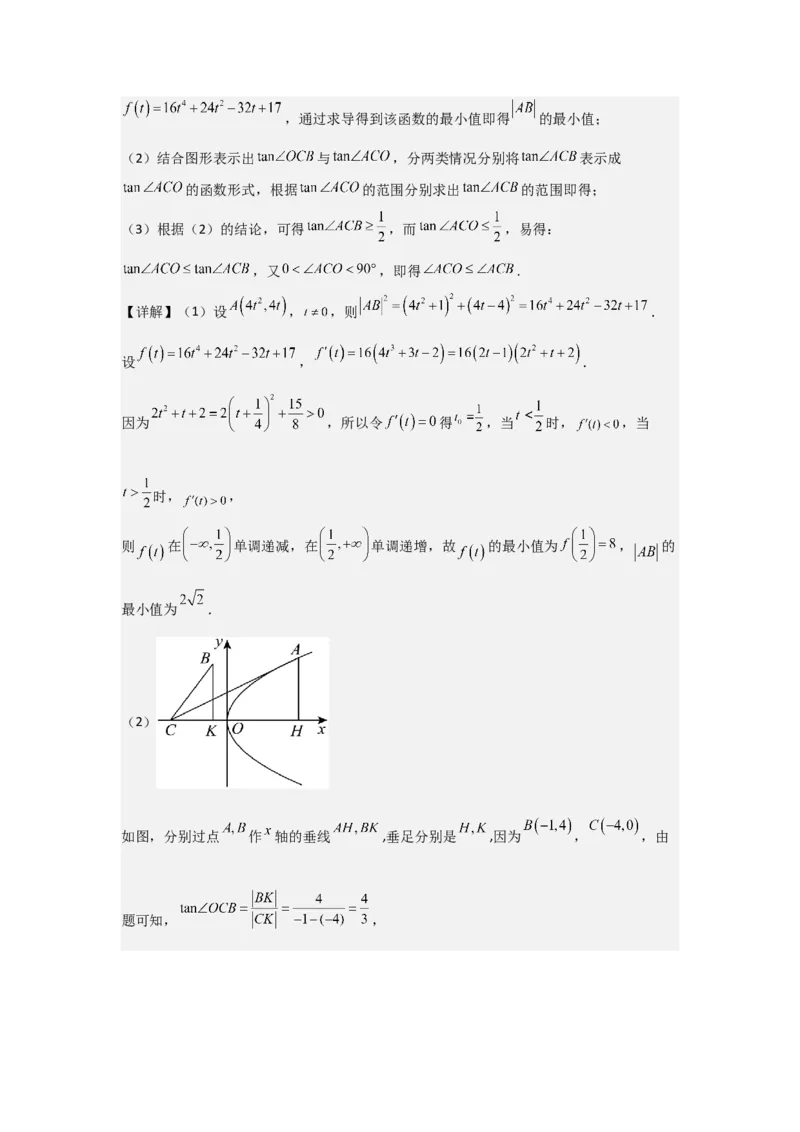
考点 24 两角和与差的正弦、余弦和正切公式(3 种核心题 型+基础保分练+综合提升练+拓展冲刺练) 【考试提醒】 1.会推导两角差的余弦公式. 2.会用两角差的余弦公式推导出两角差的正弦、正切公式. 3.掌握两角和与差的正弦、余弦、正切公式,并会简单应用. 【知识点】 1.两角和与差的余弦、正弦、正切公式 (1)公式C :cos(α-β)= cos α cos β + sin α sin β ; (α-β) (2)公式C :cos(α+β)= cos α cos β - sin α sin β ; (α+β) (3)公式S :sin(α-β)= sin α cos β - cos α sin β ; (α-β) (4)公式S :sin(α+β)= sin α cos β + cos α sin β ; (α+β) (5)公式T :tan(α-β)=; (α-β) (6)公式T :tan(α+β)=. (α+β) 2.辅助角公式 asin α+bcos α=sin(α+φ),其中sin φ=,cos φ=. 知识拓展 两角和与差的公式的常用变形: (1)sin αsin β+cos(α+β)=cos αcos β. (2)cos αsin β+sin(α-β)=sin αcos β. (3)tan α±tan β=tan(α±β)(1∓tan αtan β). tan αtan β=1-=-1. 【核心题型】 题型一 两角和与差的三角函数公式 两角和与差的三角函数公式可看作是诱导公式的推广,可用 α,β的三角函数表示α±β的 三角函数,在使用两角和与差的三角函数公式时,特别要注意角与角之间的关系,完成统 一角和角与角转换的目的. 【例题1】(2024·河北石家庄·三模)已知角 满足 ,则( ) A. B. C. D.2 【答案】C 【分析】借助 对已知化简,可求出 的值,再由 可解. 【详解】因为 ,即 , 所以 , 整理得 ,变形得 , 所以 . 故选:C 【变式1】(2024·陕西铜川·二模)已知锐角 满足 , ,则 . 【答案】 / 【分析】利用同角三角函数关系可求得 ,代入两角和差余弦公式即可. 【详解】 均为锐角, , , . 故答案为:【变式2】(2023·江西上饶·模拟预测)已知 、 均为锐角,且 , ,则 . 【答案】 / 【分析】利用题目信息以及平方关系分别计算得 、 角的正弦、余弦值,再利用两角差 的正弦公式即可求得结果. 【详解】因为 , ,即 , 所以 , 又 ,即 ,则 , 又 、 均为锐角,所以 , , 所以 , , 所以 . 故答案为: 【变式3】(2024·河北保定·二模)在 中,角 的对边分别为 ,已知 . (1)求 ; (2)若 为 边的中点,求 的长. 【答案】(1) (2) . 【分析】(1)根据正弦定理边化角,再结合两角和差公式求解;(2)根据余弦定理求出 边,再根据向量运算求 . 【详解】(1)因为 , 根据正弦定理,得 , 化简得 ,因为 ,所以 , 因为 ,所以 . (2)在 中,由余弦定理得 , 所以 ,解得 . 因为 为 的中线,所以 , 所以 , 因为 ,所以 ,解得 . 题型二 两角和与差的公式逆用与辅助角公式 运用两角和与差的三角函数公式时,不但要熟练、准确,而且要熟悉公式的逆用及变形 公式的逆用和变形应用更能开拓思路,增强从正向思维向逆向思维转化的能力. 【例题2】(2024·陕西西安·一模) 等于( ) A. B. C. D.1 【答案】C 【分析】利用两角和的余弦公式计算可得. 【详解】. 故选:C 【变式1】(2023·广东·二模) 的值为 . 【答案】 【分析】根据两角差的正切公式、同角三角函数的基本关系式、二倍角公式等知识求得正 确答案. 【详解】 , 所以 . 故答案为: 【变式2】(2024·广东揭阳·二模)已知 ,则 , . 【答案】 0或2 1或 【分析】利用二倍角的正弦公式变形求出 ,再利用和角的正切计算即得. 【详解】依题意, ,即 或 ,所以 或 2; 所以 或 .故答案为:0或2;1或 【变式3】(2024·江苏·模拟预测)在 中,点 在 边上,且满足 . (1)求证: ; (2)若 , ,求 的面积的最小值. 【答案】(1)证明见解析 (2) 【分析】(1)因为 ,所以 ,由正弦定理可得 , 则可得 ,则得 ; (2)由 ,化简可得 ,则得 , ,因为 ,则可得 ,再由基 本不等式可得 ,即 ,则得到 的面积的最小值. 【详解】(1) 在 中,由正弦定理 ,得 , 在 中,由正弦定理 ,得 , 因为 ,所以 ,所以 , 因为 ,所以 , 所以 , 所以 ,又因为 , ,且 , 所以 . (2)因为 , 所以 , 所以 , 因为 ,所以 ,所以 , 由(1)知 ,则 , 因为 , 所以 , 又 , 所以 因为 , 所以 , 所以 ,当且仅当 时等号成立, 所以 的面积的最小值为 题型三 角的变换问题 常用的拆角、配角技巧:2α=(α+β)+(α-β);α=(α+β)-β=(α-β)+β;β=-=(α+2β) -(α+β);α-β=(α-γ)+(γ-β);15°=45°-30°;+α=-等. 【例题3】(23-24高三下·山东菏泽·阶段练习)若 ,则 ( ) A. B. C. D. 【答案】B 【分析】根据两角差的正切公式求出 ,再利用二倍角的正弦公式化简求得答案.【详解】由 ,得 , . 故选:B. 【变式1】(2024·江西景德镇·三模)函数 在 内恰有两个对称中 心, ,将函数 的图象向右平移 个单位得到函数 的图象.若 ,则 ( ) A. B. C. D. 【答案】A 【分析】根据y轴右边第二个对称中心在 内,第三个对称中心不在 内可求得 ,结合 可得 ,再利用平移变换求出 ,根据三角变换化简 可得 ,然后由二倍角公式可解. 【详解】由 得 , 因为函数 在 内恰有两个对称中心,所以 ,解得 , 又 ,所以 ,即 ,所以 , 将函数 的图象向右平移 个单位得到函数 ,即 , 因为 , 所以 . 故选:A 【变式2】(2024·河北沧州·模拟预测)已知 ,则 . 【答案】 【分析】根据题意,由余弦的和差角公式展开可得 ,再由二倍角公式,即 可得到结果. 【详解】因为 ,整理得 , 所以 ,所以 , 所以 . 故答案为: 【变式3】(2024·湖南·模拟预测)已知 ,则 等于 . 【答案】 【分析】利用诱导公式和二倍角的余弦公式即可.【详解】 . 故答案为: . 【课后强化】 【基础保分练】 一、单选题 1.(2024·北京朝阳·二模)在平面直角坐标系 中,锐角 以 为顶点, 为始边.将 的终边绕 逆时针旋转 后与单位圆交于点 ,若 ,则 ( ) A. B. C. D. 【答案】D 【分析】根据同角的平方关系求出 ,结合三角函数的定义和两角和的正弦公式计算即 可求解. 【详解】如图, 由 , ,得 , 所以 . 故选:D 2.(2024·重庆·模拟预测)在 中,角A,B,C所对的边分别为a,b,c,已知, , .则a的值为( ) A. B. C. D. 【答案】A 【分析】由题意,根据诱导公式及和差公式进行化简求出 ,进而 ,结合正弦定 理计算即可求解. 【详解】由 , , 得 ,即 , 所以 ,又 , 所以 ,即 ,所以 , 又 ,由正弦定理, 得 ,所以 . 故选:A 3.(2024·山东枣庄·模拟预测)已知角 的顶点与原点重合,始边与 轴的非负半轴重合, 终边经过点 ,则 ( ) A.0 B. C. D. 【答案】D 【分析】根据三角函数的定义求出 , ,再由两角差的余弦公式计算可得. 【详解】因为 ,即 ,即角 的终边经过点 ,所以 , , 所以 . 故选:D 4.(2024·四川·模拟预测)已知 , , ,若 , ,则 ( ) A. B. C. D. 【答案】A 【分析】根据已知条件及同角三角函数的平方关系,利用两角差的余弦公式及三角函数的 特殊值,注意角的范围即可求解. 【详解】由 , ,得 , , ∴ ,即 , ∴ ,解得 . 又 , , , ∴ , ∴ , ∴ , ∴ ,∴ . 故选:A. 二、多选题 5.(23-24高三上·山西大同·期末)若 ,且 , , 则( ) A. B. C. D. 【答案】BD 【分析】根据同角的三角函数关系式,结合两角和(差)的正弦余弦公式逐一判断即可. 【详解】由题意可得 , 所以 ,故A错误; , 因为 , 所以 ,所以 ,故B正确; 因为 ,所以 , 所以 ,故C错误:即 , 因为 ,所以 , 故 ,所以 ,故D正确. 故选:BD 6.(23-24高三上·广东揭阳·期中)已知函数 ,则下 列判断正确的是( ) A. 的最小正周期为 B. 的图象关于点 对称 C. 的值域为 D. 的图象关于直线 对称 【答案】ACD 【分析】逆用两角和差的正弦公式化简,利用余弦型函数的性质确定周期、对称轴、对称 中心、值域即可得解. 【详解】因为 , 所以最小正周期为 ,故A正确; 由 ,得 ,所以对称中心为 ,当 时, 函数的一个对称中心为 ,故B错误; 因为 ,所以 ,故C正确; 由 ,得 ,即函数的对称轴方程为 ,当 时,可得函数的一条对称轴 ,故D正确. 故选:ACD 三、填空题 7.(23-24高三下·内蒙古赤峰·开学考试)若 ,则 . 【答案】 / 【分析】利用二倍角的正切公式及两角差的正切公式求解即可. 【详解】因为 , 所以 , 所以 . 故答案为: . 8.(2023·山东菏泽·一模)设 均为非零实数,且满足 ,则 . 【答案】1 【分析】先将原式化简得到 ,再令 , 即可得到 ,从而求得结果. 【详解】由题意可得, ,令 ,则 , 即 , 所以 ,即 故 故答案为: 9.(2024·陕西安康·模拟预测)已知 ,且 ,则 . 【答案】1 【分析】利用二倍角公式,同角关系,两角和与差的正切公式变形求解. 【详解】由 得 , , 所以 ,即 , 又 ,所以 ,即 ,所以 . 故答案为:1. 四、解答题 10.(2024·河北保定·二模)已知 中,角 所对的边分别为 . (1)求角 ; (2)若 ,且 的周长为 ,求 的面积. 【答案】(1) (2) . 【分析】(1)利用正弦定理边化角,切化弦后整理可得; (2)根据余弦定理,联立已知条件解方程组可得 ,然后由面积公式可得. 【详解】(1)由正弦定理边化角得 ,所以 , 即 , 整理得 , 因为 ,所以 , 又 ,所以 . (2)由正弦定理得 , 又 ,所以 ,即 ,所以 , 所以 ,所以 , 所以 的面积 . 11.(2021·贵州毕节·模拟预测)在△ABC中,内角A,B,C所对的边分别为a,b,c.已 知 . (1)求角B的大小; (2)求 的取值范围. 【答案】(1) ;(2) . 【分析】(1)由已知结合正弦定理及余弦定理进行化简可求 ,进而求得B. (2)结合(1),利用两角和差角公式及辅助角公式进行化简,再利用正弦函数的性质即 可求解. 【详解】(1)由已知 利用正弦定理得: ,即 由余弦定理得: 又 , (2)由(1)知 ,故由 ,知 , 利用正弦函数性质知 故原式的取值范围为 【点睛】方法点睛:在解三角形题目中,若已知条件同时含有边和角,但不能直接使用正 弦定理或余弦定理得到答案,要选择“边化角”或“角化边”,变换原则常用: (1)若式子含有 的齐次式,优先考虑正弦定理,“角化边”; (2)若式子含有 的齐次式,优先考虑正弦定理,“边化角”; (3)代数变形或者三角恒等变换前置; (4)同时出现两个自由角(或三个自由角)时,要用到 . 【综合提升练】 一、单选题 1.(23-24高三下·山东·开学考试)若 ,则 ( ) A. B. C. D. 【答案】C 【分析】根据同角的三角函数关系式,结合两角差的正弦公式、二倍角的余弦公式进行求 解即可. 【详解】由 , 由 , . 故选:C 2.(2024·重庆·模拟预测)若 , 且 , ,则 ( )A. B. C. D. 【答案】D 【分析】根据两角和与差求解的余弦公式求解 ,进而求出 ,求出 ,利用二倍角求出 【详解】由 ,则 , 由 , 所以 ,则 , 则 , 故 . 故选:D 3.(2023·江西赣州·模拟预测) ( ) A. B. C. D. 【答案】C 【分析】利用诱导公式和余弦两角和公式求解即可. 【详解】 . 故选:C. 4.(2024·江苏南通·三模)已知 ,则 ( )A. B. C. D. 【答案】B 【分析】展开同平方并结合二倍角的正弦公式即可得到关于 的方程,解出即可. 【详解】展开得 , 两边同平方有 , 即 ,解得 , 故选:B. 5.(2024·全国·模拟预测)已知 , , 满足 ,且 , ,则 的值为( ) A.-2 B. C. D.2 【答案】B 【分析】根据题意切化弦结合三角恒等变换可得 ,结合 运算求解即可. 【详解】由 ,即 ,可得 , 则 , 可得 , 因为 ,即 , 可得 , 又因为 ,即 ,所以 . 故选:B.6.(23-24高三下·江西·阶段练习)已知 , , ,则 ( ) A. B. C. D. 【答案】A 【分析】由题意得 ,进一步 ,根据余弦函数单调性得 , 由此即可得解. 【详解】因为 ,所以 , 因为 ,所以 , 从而 , 注意到 ,而 在 上单调递减, 从而 ,即 , 所以 . 故选:A. 7.(2024·河北沧州·一模)已知角 的顶点与坐标原点重合,始边与 轴的非负半轴重合, 且终边上一点的坐标为 ,则 ( )A. B. C. D. 【答案】B 【分析】根据三角函数的定义求出 , ,再由二倍角公式及两角和的正弦公式求 出 , , ,最后由诱导公式计算可得. 【详解】因为角 终边上一点的坐标为 , 所以 , , 所以 , , 所以 , 所以 . 故选:B 8.(2023·全国·模拟预测)已知 ,则 ( ) A. B. C. D. 【答案】D【分析】应用诱导公式及已知有 ,再由 及差角余弦公式得 ,最后由和角正 弦公式有 ,即可求结果. 【详解】因为 ,结合题设, 所以 ,而 , 所以 , 即 ,所以 , 所以 . 故选:D 二、多选题 9.(2023·全国·模拟预测)若 ,且 ,则( ) A. B. C. D.【答案】AD 【分析】根据条件求出 ,由两角和余弦公式判断A,由两角差的余弦公式及同 角三角函数基本关系判断B,再根据角的变换及两角和的余弦公式求出 判断C,由 及余弦函数的单调性判断D. 【详解】因为 , , 所以 , 所以 ,故A正确; 所以 , 又因为 ,所以 , 所以 ,故B错误; 因为 ,所以 , 所以 , ,故C错误; 因为 ,所以 ,而 , 所以 ,即 ,由 在 单调递减知, ,故D 正确.故选:AD 10.(2023·河南·模拟预测)已知 ,且 , , ,则( ) A. 的取值范围为 B.存在 , ,使得 C.当 时, D.t的取值范围为 【答案】AD 【分析】由 可得 范围,从而判断A,由正 弦、余弦函数性质求得 判断B,利用 消去 后可求得 判断C,由 上面推导得出 随 的增大而增大,从而可得 的范围,判断D. 【详解】因为 ,所以 ,即 ,若 ,则 ,又 ,所以 不能同时成立,所以 ,故A正确; 由A可知 ,所以 ,又 ,所 以 ,所以 ,故B错误;当 时, 整理,得 所以 ,又 ,对上式 整理得 ,所以 ,解得 (舍去负根),故C错误; 因为 ,且 ,所以 随着 的增大而增大, 所以 随着 的增大而增大,又 ,所以 , ,即D正确. 故选:AD. 11.(2023·全国·模拟预测)已知 , , ,则下列说法正确的是( ) A. B. C. D. 【答案】ABC 【分析】由两角和差的三角函数公式、平方关系结合已知运算即可. 【详解】由已知,得 , ,两式分别平方相加,得 , , 整理得 ,∴ ,∴A正确; 同理由 , ,两式分别平方相加,易得 ,∴B正确; 由 , ,两式分别平方相加,易得 . ∵ ,∴ ,∴ , ∴ ,∴C正确,D错误. 故选:ABC. 三、填空题 12.(2024·江西鹰潭·二模)已知 ,且 ,则 . 【答案】 / 【分析】根据题意,由同角三角函数的平方关系可得 ,即可得到 ,由正弦函数的和差角公式代入计算,即可得到结果. 【详解】因为 ,所以 ,又 , 所以 ,所以 . 故答案为: 13.(2023·贵州六盘水·模拟预测)已知 , ,且 , ,则 . 【答案】 【分析】根据 ,结合同角三角关系和两角和差公式运算求解. 【详解】因为 , ,且 , , 则 , , 可得 , 即 . 故答案为: . 14.(2024·内蒙古呼伦贝尔·二模)已知 , 是方程 的两个根,则. 【答案】 【分析】利用韦达定理可得 , ,再利用两角和差公式和三角 函数的商数关系求解即可. 【详解】因为 , 是方程 的两个根, 所以 , ,则 , 所以 . 故答案为: 四、解答题 15.(2023·全国·模拟预测)已知 ,且 . (1)求 和 的值; (2)若 ,且 ,求 的值. 【答案】(1) (2) 【分析】(1)根据 及 得到 ,根据半角公式求出 ,结 合同角三角函数关系得到 ; (2)先求出 ,从而求出 ,利用凑角法求出 的 值,得到答案.【详解】(1)因为 ,所以 . 又 ,所以 ,故 . 因为 , 所以 , 则 . (2)由已知条件,得 . 又 ,所以 . 由 ,得 . 所以 . 因为 , ,所以 ,所以 . 16.(2024·云南昆明·模拟预测)已知 的内角A,B,C所对边分别为a,b,c,且 , . (1)求 ; (2)若 ,求 的值. 【答案】(1) (2)【分析】(1)直接用条件 将等式 齐次化,再比较余弦定理即可得出结 果; (2)使用正弦定理得到 ,再进一步确定 ,然后用余弦和公式即可. 【详解】(1)由已知条件 和 有 . 所以由余弦定理可得 ,因为 , 从而 . (2)若 ,则结合正弦定理得 . 所以 ,从而 ,这得到 或 . 而 ,故 . 所以 . 17.(2024·天津·二模)在 中,角 , , 的对边分别为 , , .已知 , , . (1)求 的值; (2)求 的值; (3)求 的值. 【答案】(1)(2) (3) 【分析】(1)由余弦定理求解即可; (2)由正弦定理求解即可; (3)在 中,先由 求出 ,进而求出 , ,然后用两角差的正弦 公式求解即可. 【详解】(1)由余弦定理得 , 所以 . (2)由正弦定理得 ,即 , 解得 (3)在 中, ,所以 因为 ,所以 为锐角, 所以, 18.(2024·天津南开·一模)已知 的内角A,B,C的对边分别为a,b,c,且 . (1)求a的值: (2)求证: ;(3) 的值 【答案】(1) (2)证明见解析 (3) 【分析】(1)根据条件结合余弦定理求解; (2)由 可得 ,利用正弦定理结合 ,得证; (3)由(1)可求得 ,根据二倍角公式求得 ,再利用两角差的余 弦公式求得结果;或由余弦定理求得 ,结合 ,利用两角差的余弦公式运 算得解. 【详解】(1)由 及余弦定理,得 , 因为 ,所以 . (2)由 及 ,得 , 由正弦定理得 , 因为 ,所以 或 . 若 ,则 ,与题设矛盾,因此 . (3)由(Ⅰ)得 ,因为 , 所以 , 所以 , 所以. 另解:因为 , 所以 . 19.(2022·浙江·模拟预测)已知函数 的部分 图象如图所示,且 的面积等于 . (1)求函数 的单调递减区间; (2)若 ,且 ,求 的值. 【答案】(1) ,(2) 【分析】(1)根据图像求出 的解析式,进而求出函数 的单调递减区间; (2)令 ,由 求出 , ,由此可 求 的值. 【详解】(1)由题意可得 , , 所以 ,即 . 所以 ,图像过点 , 则 , 又因为 ,所以 , 所以 , 由 可得: 所以函数 的单调减区间为 , . (2)由 可得 , 所以 , 令 ,则 , , , . 【拓展冲刺练】 一、单选题 1.(2024·河南·二模)已知 ,则 ( ) A. B. C. D. 【答案】B 【分析】由两角和与差的正弦和半角公式,二倍角余弦公式,结合拆角计算即可. 【详解】由 ,可得 , 即 ,可得 , 所以 . 故选:B. 2.(2023·全国·模拟预测)已知 ,则 ( ) A. B. C. D. 【答案】B 【分析】将所求角通过拆角、变角,利用两角和的余弦公式求解即可. 【详解】 ,所以 , , 因为 ,所以 , 因为 ,所以 , ,故选:B. 3.(2024·全国·模拟预测)已知 ,则 ( ) A. B. C. D. 【答案】C 【分析】对条件进行展开化简可得 ,继而 , 再利用二倍角公式计算即可;也可把条件化简可得 ,继而 ,再利用二倍角公式计算即可. 【详解】解法一 由题意得: 所以 ; 解法二 由题意得: ,所以 , 则 故选:C. 4.(2024·贵州毕节·模拟预测)已知 , ,则 ( ) A. B. C. D. 【答案】A 【分析】先根据平方关系求出 ,再根据 结合两 角和的余弦公式即可得解. 【详解】因为 ,所以 , 因为 ,所以 , 所以 , 则 . 故选:A. 二、多选题 5.(23-24高三上·山西吕梁·阶段练习)计算下列各式的值,其结果为2的有( ) A. B.C. D. 【答案】ABC 【分析】利用和角公式可求值验证A项,运用辅助角公式和诱导公式可得B项,运用两角 和的正切公式可以验证C项,利用倍角公式和诱导公式可以判定D项. 【详解】对于选项A, , 故A项正确; 对于选项B, ,故B项 正确; 对于选项C, ,故C项正确; 对于选项D, ,故D项错误. 故选:ABC. 6.(2024·全国·模拟预测)已知角 的终边过点 ,则( ) A. B. C. D. 【答案】BD【分析】先根据三角函数的定义求出 的三角函数值,再结合二倍角的余弦公式和两角和 的正切公式逐一计算即可. 【详解】因为角 的终边过点 ,所以 , 所以 , , , 对于A, ,故A错误; 对于B, ,故B正确; 对于C, ,故C错误; 对于D, ,故D正确. 故选:BD. 三、填空题 7.(2024·河北承德·二模)已知 ,则 . 【答案】 / 【分析】利用三角恒等变换化简算式得 ,已知 ,由正切的倍角公式求出 即可求得结果. 【详解】 , , 所以 ,而 , 因此原式 . 故答案为: . 8.(2023·湖南岳阳·一模)已知 , , , 均为锐角,则 . 【答案】 【分析】根据同角三角函数的基本关系、诱导公式、两角和的余弦公式求解. 【详解】因为 , ,且 , 均为锐角, 所以 , , 所以 . 故答案为: 四、解答题 9.(2024·全国·模拟预测)在 中,内角 所对的边分别为 ,已知 . (1)求 的值; (2)若 的面积为 为边 的中点,求 的长. 【答案】(1) (2)【分析】(1)由两角和的余弦公式、二倍角余弦及诱导公式化简可得结果, (2)根据三角形面积公式、余弦定理及平面向量的模进行计算可得结果. 【详解】(1)因为 ,所以 , 所以 ,所以 , 所以 或 (舍去).因为 ,所以 . (2)因为 的面积为 ,所以 ,所以 . 因为 ,所以 ,即 , 所以 .因为 是 的中点,所以 , 所以 ,所以 , 故 的长为 . 10.(2024高三上·全国·竞赛)设 为坐标原点, 为抛物线 上异于 的一点, , . (1)求 的最小值; (2)求 的取值范围; (3)证明: . 【答案】(1) (2) (3)证明见解析 【分析】(1)根据抛物线方程设点 ,计算 得到关于 的函数,通过求导得到该函数的最小值即得 的最小值; (2)结合图形表示出 与 ,分两类情况分别将 表示成 的函数形式,根据 的范围分别求出 的范围即得; (3)根据(2)的结论,可得 ,而 ,易得: ,又 ,即得 . 【详解】(1)设 , ,则 . 设 , . 因为 ,所以令 得 ,当 时, ,当 时, , 则 在 单调递减,在 单调递增,故 的最小值为 , 的 最小值为 . (2) 如图,分别过点 作 轴的垂线 ,垂足分别是 ,因为 , ,由 题可知, ,. ①当 时, ,则 . 该式是关于 的减函数,所以 ; ②当 时, ,则 . 该式是关于 的增函数,所以 ; 综上, 的取值范围是 . (3)由(2)知, ,且 ,所以 . 【点睛】关键点点睛:本题重点考查了直线与抛物线相交有关的距离最值、角的范围等问 题,属于较难题.解决距离、角的范围问题时的关键是将几何问题代数化处理,即通过解析 式设点坐标计算距离表达式,再求解函数的最值得到,将所求角的三角函数式用关于某自 变量的解析式表示,再根据自变量范围求出解析式函数的值域即得. 11.(2024·河南开封·二模)在密码学领域,欧拉函数是非常重要的,其中最著名的应用就 是在RSA加密算法中的应用.设p,q是两个正整数,若p,q的最大公约数是1,则称p, q互素.对于任意正整数n,欧拉函数是不超过n且与n互素的正整数的个数,记为 . (1)试求 , , , 的值; (2)设n是一个正整数,p,q是两个不同的素数.试求 , 与φ(p)和φ(q)的 关系; (3)RSA算法是一种非对称加密算法,它使用了两个不同的密钥:公钥和私钥.具体而言: ①准备两个不同的、足够大的素数p,q; ②计算 ,欧拉函数 ;③求正整数k,使得kq除以 的余数是1; ④其中 称为公钥, 称为私钥. 已知计算机工程师在某RSA加密算法中公布的公钥是 .若满足题意的正整数k从小 到大排列得到一列数记为数列 ,数列 满足 ,求数列 的 前n项和 . 【答案】(1) ; (2) , ; (3) . 【分析】(1)利用欧拉函数的定义直接求值. (2)利用欧拉函数的定义求出 ,进而分析计算 . (3)根据给定信息求出 ,再利用差角的正切公式,借助裂项求和法求解即得. 【详解】(1)由欧拉函数的定义知,不越过3且与3互素的正整数有1,2,则 , 不越过9且与9互素的正整数有1,2,4,5,7,8,则 , 不越过7且与7互素的正整数有1,2,3,4,5,6,则 , 不越过21且与21互素的正整数有1,2,4,5,8,10,11,13,16,17,19,20,则 , 所以 . (2)在不大于 的正整数中,只有3的倍数不与 互素,而3的倍数有 个,因此 . 由 , 是两个不同的素数,得 , 在不超过 的正整数中, 的倍数有 个, 的倍数有 个, 于是 , 所以 . (3)计算机工程师在某RSA加密算法中公布的公钥是 ,则 ,从而 由(2)得, , 即正整数 满足的条件为: , ,令 ,则 , 令 ,则 , 取 ,则 ,于是 , 因此 ,即 , , . 【点睛】关键点睛:数列 求和,利用差角的正切变式 进行裂项是求解的关键.