当前位置:首页>文档>考点31平面向量基本定理及坐标表示(3种核心题型+基础保分练+综合提升练+拓展冲刺练)解析版_2.2025数学总复习_2025年新高考资料_一轮复习

考点31平面向量基本定理及坐标表示(3种核心题型+基础保分练+综合提升练+拓展冲刺练)解析版_2.2025数学总复习_2025年新高考资料_一轮复习

  • 2026-03-29 11:52:17 2026-03-27 12:17:14

文档预览

考点31平面向量基本定理及坐标表示(3种核心题型+基础保分练+综合提升练+拓展冲刺练)解析版_2.2025数学总复习_2025年新高考资料_一轮复习
考点31平面向量基本定理及坐标表示(3种核心题型+基础保分练+综合提升练+拓展冲刺练)解析版_2.2025数学总复习_2025年新高考资料_一轮复习
考点31平面向量基本定理及坐标表示(3种核心题型+基础保分练+综合提升练+拓展冲刺练)解析版_2.2025数学总复习_2025年新高考资料_一轮复习
考点31平面向量基本定理及坐标表示(3种核心题型+基础保分练+综合提升练+拓展冲刺练)解析版_2.2025数学总复习_2025年新高考资料_一轮复习
考点31平面向量基本定理及坐标表示(3种核心题型+基础保分练+综合提升练+拓展冲刺练)解析版_2.2025数学总复习_2025年新高考资料_一轮复习
考点31平面向量基本定理及坐标表示(3种核心题型+基础保分练+综合提升练+拓展冲刺练)解析版_2.2025数学总复习_2025年新高考资料_一轮复习
考点31平面向量基本定理及坐标表示(3种核心题型+基础保分练+综合提升练+拓展冲刺练)解析版_2.2025数学总复习_2025年新高考资料_一轮复习
考点31平面向量基本定理及坐标表示(3种核心题型+基础保分练+综合提升练+拓展冲刺练)解析版_2.2025数学总复习_2025年新高考资料_一轮复习
考点31平面向量基本定理及坐标表示(3种核心题型+基础保分练+综合提升练+拓展冲刺练)解析版_2.2025数学总复习_2025年新高考资料_一轮复习
考点31平面向量基本定理及坐标表示(3种核心题型+基础保分练+综合提升练+拓展冲刺练)解析版_2.2025数学总复习_2025年新高考资料_一轮复习
考点31平面向量基本定理及坐标表示(3种核心题型+基础保分练+综合提升练+拓展冲刺练)解析版_2.2025数学总复习_2025年新高考资料_一轮复习
考点31平面向量基本定理及坐标表示(3种核心题型+基础保分练+综合提升练+拓展冲刺练)解析版_2.2025数学总复习_2025年新高考资料_一轮复习
考点31平面向量基本定理及坐标表示(3种核心题型+基础保分练+综合提升练+拓展冲刺练)解析版_2.2025数学总复习_2025年新高考资料_一轮复习
考点31平面向量基本定理及坐标表示(3种核心题型+基础保分练+综合提升练+拓展冲刺练)解析版_2.2025数学总复习_2025年新高考资料_一轮复习
考点31平面向量基本定理及坐标表示(3种核心题型+基础保分练+综合提升练+拓展冲刺练)解析版_2.2025数学总复习_2025年新高考资料_一轮复习
考点31平面向量基本定理及坐标表示(3种核心题型+基础保分练+综合提升练+拓展冲刺练)解析版_2.2025数学总复习_2025年新高考资料_一轮复习
考点31平面向量基本定理及坐标表示(3种核心题型+基础保分练+综合提升练+拓展冲刺练)解析版_2.2025数学总复习_2025年新高考资料_一轮复习
考点31平面向量基本定理及坐标表示(3种核心题型+基础保分练+综合提升练+拓展冲刺练)解析版_2.2025数学总复习_2025年新高考资料_一轮复习
考点31平面向量基本定理及坐标表示(3种核心题型+基础保分练+综合提升练+拓展冲刺练)解析版_2.2025数学总复习_2025年新高考资料_一轮复习
考点31平面向量基本定理及坐标表示(3种核心题型+基础保分练+综合提升练+拓展冲刺练)解析版_2.2025数学总复习_2025年新高考资料_一轮复习
考点31平面向量基本定理及坐标表示(3种核心题型+基础保分练+综合提升练+拓展冲刺练)解析版_2.2025数学总复习_2025年新高考资料_一轮复习
考点31平面向量基本定理及坐标表示(3种核心题型+基础保分练+综合提升练+拓展冲刺练)解析版_2.2025数学总复习_2025年新高考资料_一轮复习
考点31平面向量基本定理及坐标表示(3种核心题型+基础保分练+综合提升练+拓展冲刺练)解析版_2.2025数学总复习_2025年新高考资料_一轮复习
考点31平面向量基本定理及坐标表示(3种核心题型+基础保分练+综合提升练+拓展冲刺练)解析版_2.2025数学总复习_2025年新高考资料_一轮复习
考点31平面向量基本定理及坐标表示(3种核心题型+基础保分练+综合提升练+拓展冲刺练)解析版_2.2025数学总复习_2025年新高考资料_一轮复习
考点31平面向量基本定理及坐标表示(3种核心题型+基础保分练+综合提升练+拓展冲刺练)解析版_2.2025数学总复习_2025年新高考资料_一轮复习
考点31平面向量基本定理及坐标表示(3种核心题型+基础保分练+综合提升练+拓展冲刺练)解析版_2.2025数学总复习_2025年新高考资料_一轮复习
考点31平面向量基本定理及坐标表示(3种核心题型+基础保分练+综合提升练+拓展冲刺练)解析版_2.2025数学总复习_2025年新高考资料_一轮复习
考点31平面向量基本定理及坐标表示(3种核心题型+基础保分练+综合提升练+拓展冲刺练)解析版_2.2025数学总复习_2025年新高考资料_一轮复习
考点31平面向量基本定理及坐标表示(3种核心题型+基础保分练+综合提升练+拓展冲刺练)解析版_2.2025数学总复习_2025年新高考资料_一轮复习
考点31平面向量基本定理及坐标表示(3种核心题型+基础保分练+综合提升练+拓展冲刺练)解析版_2.2025数学总复习_2025年新高考资料_一轮复习
考点31平面向量基本定理及坐标表示(3种核心题型+基础保分练+综合提升练+拓展冲刺练)解析版_2.2025数学总复习_2025年新高考资料_一轮复习
考点31平面向量基本定理及坐标表示(3种核心题型+基础保分练+综合提升练+拓展冲刺练)解析版_2.2025数学总复习_2025年新高考资料_一轮复习
考点31平面向量基本定理及坐标表示(3种核心题型+基础保分练+综合提升练+拓展冲刺练)解析版_2.2025数学总复习_2025年新高考资料_一轮复习
考点31平面向量基本定理及坐标表示(3种核心题型+基础保分练+综合提升练+拓展冲刺练)解析版_2.2025数学总复习_2025年新高考资料_一轮复习
考点31平面向量基本定理及坐标表示(3种核心题型+基础保分练+综合提升练+拓展冲刺练)解析版_2.2025数学总复习_2025年新高考资料_一轮复习
考点31平面向量基本定理及坐标表示(3种核心题型+基础保分练+综合提升练+拓展冲刺练)解析版_2.2025数学总复习_2025年新高考资料_一轮复习
考点31平面向量基本定理及坐标表示(3种核心题型+基础保分练+综合提升练+拓展冲刺练)解析版_2.2025数学总复习_2025年新高考资料_一轮复习
考点31平面向量基本定理及坐标表示(3种核心题型+基础保分练+综合提升练+拓展冲刺练)解析版_2.2025数学总复习_2025年新高考资料_一轮复习
考点31平面向量基本定理及坐标表示(3种核心题型+基础保分练+综合提升练+拓展冲刺练)解析版_2.2025数学总复习_2025年新高考资料_一轮复习
考点31平面向量基本定理及坐标表示(3种核心题型+基础保分练+综合提升练+拓展冲刺练)解析版_2.2025数学总复习_2025年新高考资料_一轮复习
考点31平面向量基本定理及坐标表示(3种核心题型+基础保分练+综合提升练+拓展冲刺练)解析版_2.2025数学总复习_2025年新高考资料_一轮复习
考点31平面向量基本定理及坐标表示(3种核心题型+基础保分练+综合提升练+拓展冲刺练)解析版_2.2025数学总复习_2025年新高考资料_一轮复习
考点31平面向量基本定理及坐标表示(3种核心题型+基础保分练+综合提升练+拓展冲刺练)解析版_2.2025数学总复习_2025年新高考资料_一轮复习
考点31平面向量基本定理及坐标表示(3种核心题型+基础保分练+综合提升练+拓展冲刺练)解析版_2.2025数学总复习_2025年新高考资料_一轮复习
考点31平面向量基本定理及坐标表示(3种核心题型+基础保分练+综合提升练+拓展冲刺练)解析版_2.2025数学总复习_2025年新高考资料_一轮复习
考点31平面向量基本定理及坐标表示(3种核心题型+基础保分练+综合提升练+拓展冲刺练)解析版_2.2025数学总复习_2025年新高考资料_一轮复习
考点31平面向量基本定理及坐标表示(3种核心题型+基础保分练+综合提升练+拓展冲刺练)解析版_2.2025数学总复习_2025年新高考资料_一轮复习
考点31平面向量基本定理及坐标表示(3种核心题型+基础保分练+综合提升练+拓展冲刺练)解析版_2.2025数学总复习_2025年新高考资料_一轮复习
考点31平面向量基本定理及坐标表示(3种核心题型+基础保分练+综合提升练+拓展冲刺练)解析版_2.2025数学总复习_2025年新高考资料_一轮复习
考点31平面向量基本定理及坐标表示(3种核心题型+基础保分练+综合提升练+拓展冲刺练)解析版_2.2025数学总复习_2025年新高考资料_一轮复习
考点31平面向量基本定理及坐标表示(3种核心题型+基础保分练+综合提升练+拓展冲刺练)解析版_2.2025数学总复习_2025年新高考资料_一轮复习

文档信息

文档格式
docx
文档大小
2.316 MB
文档页数
48 页
上传时间
2026-03-27 12:17:14

文档内容

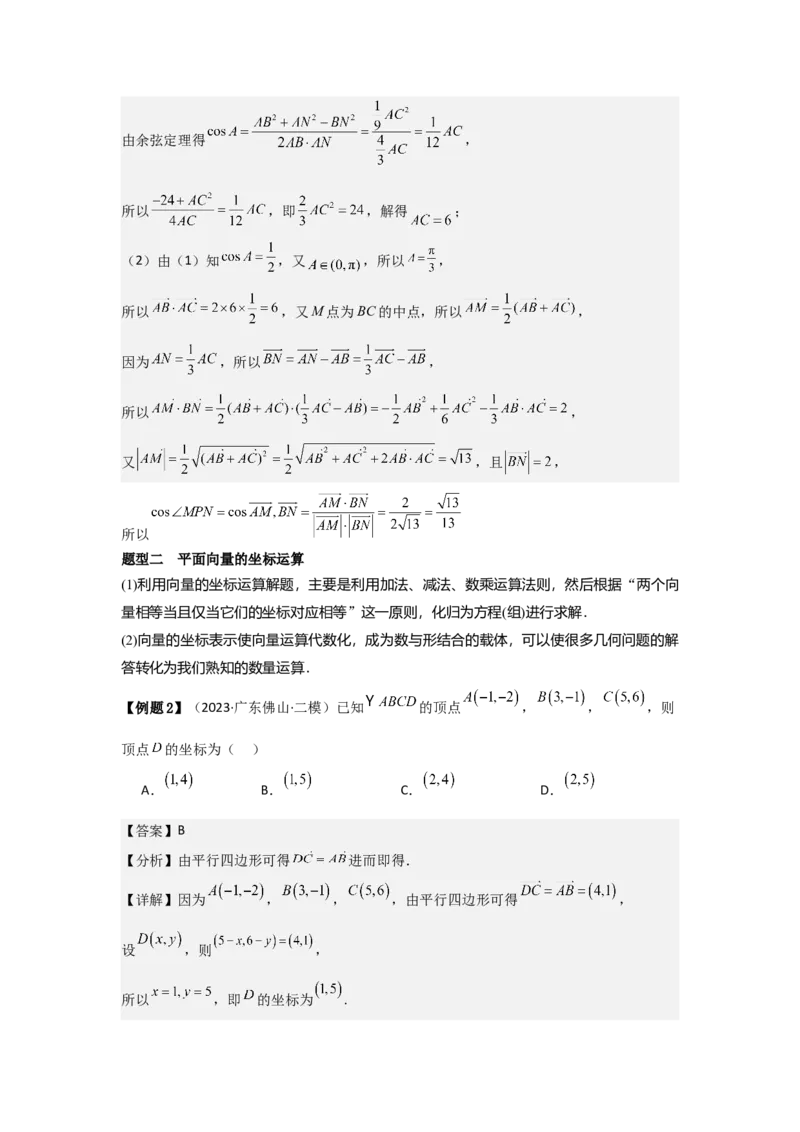
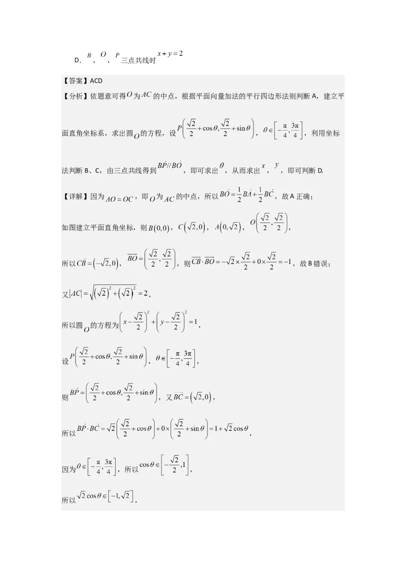
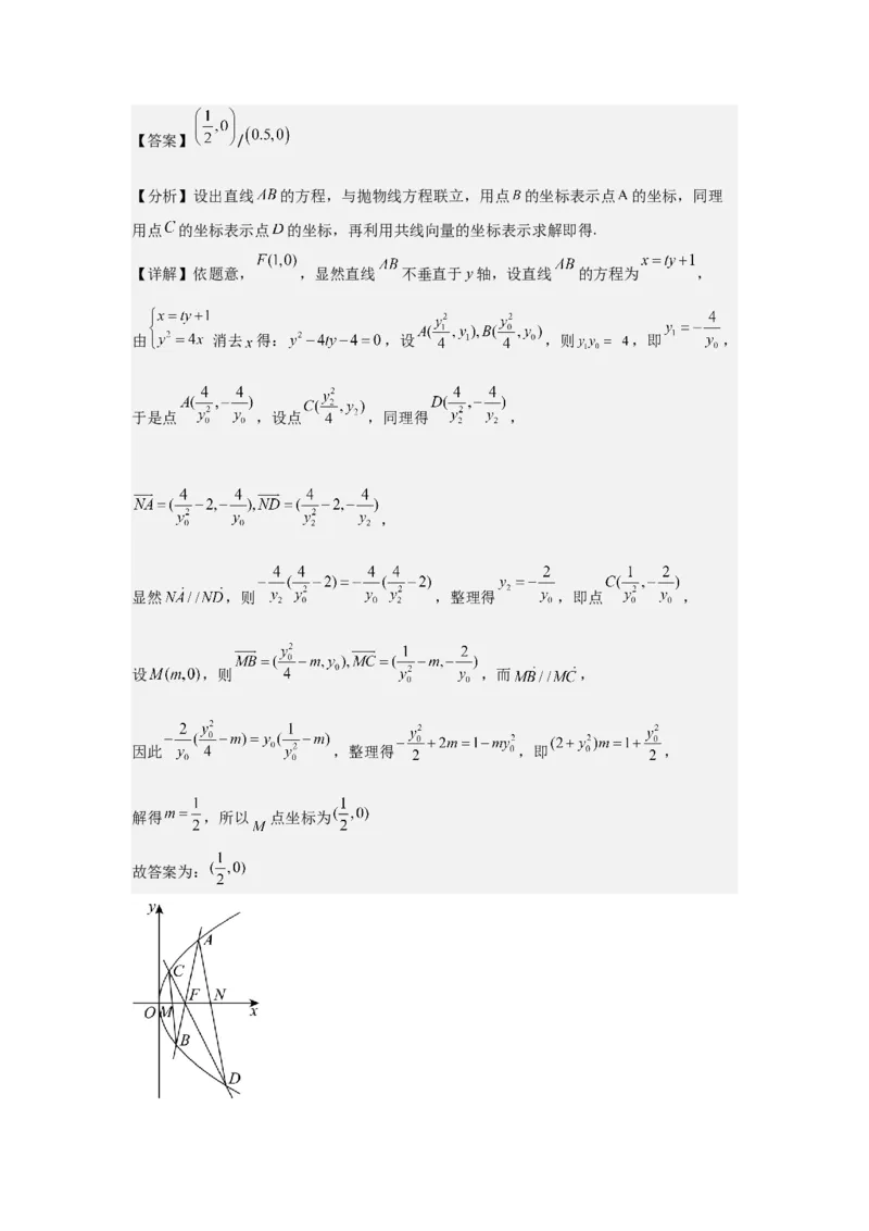
考点 31 平面向量基本定理及坐标表示(3 种核心题型+基础 保分练+综合提升练+拓展冲刺练) 【考试提醒】 1.了解平面向量基本定理及其意义. 2.掌握平面向量的正交分解及其坐标表示. 3.会用坐标表示平面向量的加法、减法与数乘运算 4.理解用坐标表示的平面向量共线的条件. 【知识点】 1.平面向量基本定理 如果e,e 是同一平面内的两个不共线向量,那么对于这一平面内的任一向量a,有且只有 1 2 一对实数λ,λ,使a=λe + λe. 1 2 1 1 2 2 若e,e 不共线,我们把{e,e}叫做表示这一平面内所有向量的一个基底. 1 2 1 2 2.平面向量的正交分解 把一个向量分解为两个互相垂直的向量,叫做把向量作正交分解. 3.平面向量的坐标运算 (1)向量加法、减法、数乘运算及向量的模 设a=(x,y),b=(x,y),则 1 1 2 2 a+b= ( x + x , y + y),a-b= ( x - x , y - y),λa= ( λx , λ y ),|a|=. 1 2 1 2 1 2 1 2 1 1 (2)向量坐标的求法 ①若向量的起点是坐标原点,则终点坐标即为向量的坐标. ②设A(x,y),B(x,y),则AB= ( x - x , y - y),|AB|=. 1 1 2 2 2 1 2 1 4.平面向量共线的坐标表示 设a=(x,y),b=(x,y),其中b≠0,则a∥b⇔xy - xy = 0 1 1 2 2 1 2 2 1 常用结论 已知P为线段AB的中点,若A(x ,y),B(x ,y),则点P的坐标为;已知△ABC的顶点 1 1 2 2 A(x,y),B(x,y),C(x,y),则△ABC的重心G的坐标为. 1 1 2 2 3 3 【核心题型】 . 题型一 平面向量基本定理的应用 (1)应用平面向量基本定理表示向量的实质是利用平行四边形法则或三角形法则进行向量的 加、减或数乘运算. (2)用平面向量基本定理解决问题的一般思路是:先选择一个基底,并运用该基底将条件和结论表示成向量的形式,再通过向量的运算来解决. 【例题1】(2024·湖南衡阳·三模)在三角形 中,点 在平面 内,且满足 ,条件 ,条件 ,则 是 的 ( ) A.充分不必要条件 B.必要不充分条件 C.充要条件 D.既不充分又不必要条件 【答案】A 【分析】由向量的线性运算法则可得 ,从而可判断充分性成立;令 得 ,可判断必要性不成立. 【详解】若 ,由向量的线性运算法则, 可得 , 因为 ,所以 , ,所以 ,所以 是 的充分条件; 若 ,令 得 ,代入 ,得 , 由三点共线充要条件可知点 ,此时 不成立,所以 不是 的必要条件. 故选:A 【变式1】(2024·河北·模拟预测)在边长为1的正三角形 中, , , 与 交于点 ,则 ( ) A.1 B.0 C. D. 【答案】B 【分析】设 ,根据平面向量的基本定理求出 ,再根据平 面向量的数量积运算即可求解.【详解】设 , 因为 , 所以 , . 因为 三点共线, 三点共线, 所以 ,解得 ,所以 . 所以 . 故选:B. 【变式2】(2023·陕西咸阳·模拟预测)在 中,点 是 的中点,点 在 上, 且 , ,则 . 【答案】 【分析】根据平面向量共线定理的推论求出 ,再根据平面向量基本定理求出 、 ,即 可得解.【详解】依题意 ,又点 在 上,且 , 所以 ,所以 ,解得 , 即 , 所以 , 又 ,所以 , , 所以 . 故答案为: 【变式3】(2023·广东佛山·模拟预测)在 中, , ,M点为BC的中 点,N点在线段AC上且 , . (1)求AC; (2)若点P为AM与BN的交点,求 的余弦值. 【答案】(1) (2) 【分析】(1)利用两次余弦定理建立方程求解即可; (2)把 的余弦值转化为求 ,向量分解表示 ,利用数量积夹角 公式求解即可. 【详解】(1)在 中, , , 由余弦定理得 , 在 中, , , ,由余弦定理得 , 所以 ,即 ,解得 ; (2)由(1)知 ,又 ,所以 , 所以 ,又M点为BC的中点,所以 , 因为 ,所以 , 所以 , 又 ,且 , 所以 题型二 平面向量的坐标运算 (1)利用向量的坐标运算解题,主要是利用加法、减法、数乘运算法则,然后根据“两个向 量相等当且仅当它们的坐标对应相等”这一原则,化归为方程(组)进行求解. (2)向量的坐标表示使向量运算代数化,成为数与形结合的载体,可以使很多几何问题的解 答转化为我们熟知的数量运算. 【例题2】(2023·广东佛山·二模)已知 的顶点 , , ,则 顶点 的坐标为( ) A. B. C. D. 【答案】B 【分析】由平行四边形可得 进而即得. 【详解】因为 , , ,由平行四边形可得 , 设 ,则 , 所以 ,即 的坐标为 .故选:B. 【变式1】(2024·全国·模拟预测)在平面直角坐标系 内,已知点 , 则 ( ) A. B. C. D. 【答案】B 【分析】根据题意,结合向量的坐标表示与运算,即可求解. 【详解】因为点 ,则 , 可得 . 故选:B. 【变式2】(多选)(2022·海南·模拟预测)用下列 , 能表示向量 的是( ) A. , B. , C. , D. , 【答案】AB 【分析】根据题意,设 ,利用向量的坐标运算,得到关于 的方程组,结合 方程组的解,即可求解. 【详解】对于A中,设 ,可得 , 则 ,方程组有无数组解,例如 时, ,所以A成立; 对于B中,设 ,可得 , 则 ,解得 时, ,所以B成立; 对于C中,设 ,可得 ,则 ,此时方程组无解,所以 不能表示 ,所以C不成立; 对于D中,设 ,可得 , 则 ,此时方程组无解,所以 不能表示 ,所以D不成立. 故选:AB. 【变式3】(2023·全国·模拟预测)在平行四边形 中,点 , , . 若 与 的交点为 ,则 的中点 的坐标为 , 【答案】 【分析】利用平行四边形法则表示出向量 ,利用坐标运算计算出向量 的坐标,由 为坐标原点,所以即可得 的坐标 【详解】在平行四边形 中, 因为 与 的交点为 ,且 为 的中点, 所以 , 由 为坐标原点,所以向量 的坐标即为 的坐标, 故点 的坐标为 . 故答案为: . 题型三 向量共线的坐标表示 平面向量共线的坐标表示问题的解题策略 (1)若a=(x,y),b=(x,y),其中b≠0,则a∥b的充要条件是xy=xy. 1 1 2 2 1 2 2 1 (2)在求与一个已知向量a共线的向量时,可设所求向量为λa(λ∈R).命题点1 利用向量共线求参数 【例题3】(2024·陕西渭南·三模)已知向量 , ,若 与 共线且反 向,则实数 的值为( ) A.4 B.2 C. D. 或4 【答案】A 【分析】利用向量共线的坐标表示求出 ,再结合反向共线即可得解. 【详解】由向量 , 共线,得 ,解得 或 , 当 时, , , 与 同向,不符合题意, 当 时, , , 与 反向,符合题意, 所以实数 的值为4. 故选:A 【变式1】(2024·浙江·模拟预测)已知向量 , ,若 ,则 ( ) A.4或2 B. C.2 D.2或 【答案】C 【分析】根据向量平行的坐标表示,即可求解. 【详解】由 ,则 ,得 . 故选:C 【变式2】(2024·四川绵阳·模拟预测)已知向量 , ,且 ,则实 数 . 【答案】 【分析】由向量线性运算的坐标表示和向量共线的坐标运算,求 的值. 【详解】 ,由 得 ,解得 . 故答案为: .【变式3】(2023·四川成都·一模)已知向量 , ,函数 . (1)若 ,求 的值; (2) , , 为 的内角 , , 的对边, ,且 ,求 面积的最 大值. 【答案】(1) (2) 【分析】(1)根据向量共线定理可得 ,再利用二倍角的余弦公式,结合齐次 式的应用可得解; (2)根据向量数量积公式可得 ,进而可得 ,再利用余弦定理和基本不等式求 的 最大值,最后用三角形面积公式即可得解. 【详解】(1) , ,则 ; . 故 . (2) ,即 . 又 ,所以 ,得 ,又 ,即 ,因为 ,且由余弦定理 可知, ,所以 , 由基本不等式可得 , 所以 ,(当且仅当 时取等), 故 ,即 面积最大值为 命题点2 利用向量共线求向量或点的坐标 【例题4】(2024·全国·模拟预测)已知 , ,且 ,则点 的坐标为( ) A. B. C. D. 【答案】B 【分析】由 的坐标得出 ,设点 ,得出 ,根据 列出方 程组求解即可. 【详解】因为 , , 所以 , 设 ,则 , 又 , 所以 ,解得 , 所以点 的坐标为 . 故选:B. 【变式1】(2024·江苏南京·二模)已知向量 , .若 ,则 ( ) A. B. C.3 D.6【答案】C 【分析】利用向量平行的判定方法得到 ,再解方程即可. 【详解】由 ,知 ,解得 . 故选:C 【变式2】(2023·山东青岛·一模)已知 , , ,若向量 ,且 与 的夹角为钝角,写出一个满足条件的 的坐标为 . 【答案】 【分析】根据向量的共线和向量乘法的坐标计算公式即可求解. 【详解】根据题意可得: , , 设 , 因为向量 ,且 与 的夹角为钝角, 所以 所以 , 不妨令 所以 , 故答案为: 【变式3】(2024·河南信阳·模拟预测)抛物线 : 的焦点为 ,直线 , 过 分别交抛物线 于点 , , , ,且直线 , 交 轴于 , ,其中 , 则 点坐标为 .【答案】 / 【分析】设出直线 的方程,与抛物线方程联立,用点 的坐标表示点 的坐标,同理 用点 的坐标表示点 的坐标,再利用共线向量的坐标表示求解即得. 【详解】依题意, ,显然直线 不垂直于y轴,设直线 的方程为 , 由 消去 得: ,设 ,则 ,即 , 于是点 ,设点 ,同理得 , , 显然 ,则 ,整理得 ,即点 , 设 ,则 ,而 , 因此 ,整理得 ,即 , 解得 ,所以 点坐标为 故答案为:【课后强化】 【基础保分练】 一、单选题 1.(2024·全国·模拟预测)如图所示,在边长为2的等边 中,点 为中线BD的三等 分点(靠近点B),点F为BC的中点,则 ( ) A. B. C. D. 【答案】D 【分析】由平面向量数量积公式以及平面向量基本定理求解结果. 【详解】由已知有 , , , 所以 . 已知 是AC的中点,则 , , 所以 , 则 . 故选:D. 2.(2024·河北承德·二模)在 中, 为 中点,连接 ,设 为 中点,且 ,则 ( ) A. B.C. D. 【答案】D 【分析】利用平面向量基本定理将 用 表示出来,再用向量的线性运算把 用 表示即可. 【详解】由于 ,所以 , 故选:D 3.(2024·河北秦皇岛·二模)已知向量 , ,则“ ”是“ 与 共线”的( ) A.充分不必要条件 B.必要不充分条件 C.充要条件 D.既不充分又不必要条件 【答案】A 【分析】根据向量共线的坐标关系运算求出 的值,判断得解. 【详解】向量 , , 若 与 共线,则 .解得 或 , 所以“ ”是“ 与 共线”的充分不必要条件, 故选:A. 4.(2024·四川·模拟预测)已知向量 , ,若 ,则 ( ) A.4 B.2 C.1 D. 【答案】A 【分析】利用共线向量的坐标表示计算得解. 【详解】向量 , ,由 ,得 ,所以 . 故选:A二、多选题 5.(2024·全国·模拟预测)已知向量 ,则( ) A.若 ,则 B.若 ,则 C.若 ,则向量 与向量 的夹角的余弦值为 D.若 ,则向量 在向量 上的投影向量为 【答案】AC 【分析】利用向量共线的充要条件的坐标表示判断A;利用向量垂直的充要条件的坐标表 示判断B;利用向量夹角的坐标表示判断C; 利用向量投影的坐标表示判断D 【详解】若 ,则 ,解得 ,故A正确. 若 ,则 ,解得 ,故B错误. 若 ,则 ,又 ,所以向量 与向量 的夹角的余弦值为 ,故C正确. 若 ,则 ,又 ,所以向量 在向量 上的投影向量为 ,故D错误. 故选:AC. 6.(23-24高三上·山东枣庄·期末)设 , ,则( )A. B. C.若 ,则 D. 在 上的投影向量为 【答案】BCD 【分析】根据向量的坐标运算计算验证各选项是否正确. 【详解】因为: ,所以 ,故A错 误; 因为: ,所以 ,故B正确; 因为 ,故C正确; 因为: , ,故D正确. 故选:BCD 三、填空题 7.(2023·河南郑州·模拟预测)已知点O为坐标原点, , ,点P在 线段AB上,且 ,则点P的坐标为 . 【答案】 【分析】解设 点坐标,根据已知得出 ,利用直线 方程,解设 点坐 标,再根据 ,得出答案即可. 【详解】由题知, ,设 , , , , ,, , , ,则直线 方程为 , 设 点坐标为 , , , , 求解可得, , ,即 点坐标为 . 故答案为: 8.(2024·陕西安康·模拟预测)已知平面向量 .若向量 与 共 线,则实数 的值为 . 【答案】 【分析】借助向量的坐标运算与共线性质计算即可得. 【详解】由题意,知 , 由向量 与 共线,得 ,解得 . 故答案为: . 9.(2023·河南开封·模拟预测)已知两点 , ,若向量 与 垂直,则 . 【答案】 【分析】求出 ,根据 即可求解. 【详解】因为 , ,所以 . 因为向量 与 垂直,所以 ,解答 . 故答案为: . 四、解答题 10.(2024·湖北·二模)如图, 为坐标原点, 为抛物线 的焦点,过 的直线交 抛物线于 两点,直线 交抛物线的准线于点 ,设抛物线在 点处的切线为 . (1)若直线 与 轴的交点为 ,求证: ; (2)过点 作 的垂线与直线 交于点 ,求证: . 【答案】(1)证明见解析 (2)证明见解析 【分析】(1)根据抛物线方程可得焦点坐标和准线方程,设直线 的方程为 联立直线和抛物线方程求得 , ,即可得 ,得证; (2)写出过点 的 的垂线方程,解得交点 的纵坐标为 ,再由相似比即 可得 ,即证得 . 【详解】(1)易知抛物线焦点 ,准线方程为 ; 设直线 的方程为联立 得 , 可得 ,所以 ; 不妨设 在第一象限, 在第四象限,对于 ; 可得 的斜率为 所以 的方程为 ,即为 令 得 直线 的方程为 , 令 得 . 又 ,所以 即 得证. (2)方法1: 由(1)中 的斜率为 可得过点 的 的垂线斜率为 , 所以过点 的 的垂线的方程为 ,即 , 如下图所示:联立 ,解得 的纵坐标为 要证明 ,因为 四点共线, 只需证明 (*). , . 所以(*)成立, 得证. 方法2: 由 知 与 轴平行, ① 又 的斜率为 的斜率也为 ,所以 与 平行, ②,由①②得 ,即 得证. 【点睛】关键点点睛:本题第二问的关键是采用设点法,从而得到 , 解出点 的坐标,从而转化为证明 即可. 11.(2022·北京·三模)如图四棱锥 中, 是以 为斜边的等腰直角三角 形, , , , , 为 的中点. (1)求证:直线 平面 (2)求直线 与平面 所成角的正弦值. (3)设 是 的中点,判断点 是否在平面 内,并证明结论. 【答案】(1)证明见解析 (2) (3)在平面PAC内,证明见解析 【分析】(1)通过做辅助线证明四边形GECB为平行四边形,再通过直线与平面平行的判 定公理证明 (2)通过建立空间直角坐标系,利用平面法向量与直线向量求得直线与平面所成角的正弦 值 (3)建立空间直角坐标系,根据平面向量基本定理求证结果 【详解】(1)取AP中点G,连接GE,GB,EC 因为 是以 为斜边的等腰直角三角形,AD=2 所以GE=1 因为 , 所以 ,又因为 所以四边形GECB是平行四边形,所以 又因为 平面PAB 平面PAB 所以 平面 (2) 取AD中点O,连接PO,CO,由已知 PAD是以AD为斜边的等腰直角三角形 △ 所以 又AD=2,所以 。PO=OD=1 而 ,AB=1, 所以四边形ABCO为正方形,即 ,PO=1,OC=1,所以 所以 因为 ,所以 平面ABCD 所以以OC为x轴,OD为y轴,OP为z轴,建立如图所示空间直角坐标系 所以 P(0,0,1),A(0,-1,0),C(1,0,0),B(1,-1,0) 设平面PAC的一个法向量为由 得 可取 设直线PB与平面PAC所成角为 则 (3)证:E为PD的中点,由(2)可知 ,又F是BE的中点,所以 设 ,即 解得 故有唯一一组实数对 使得 因此符合向量基本定理,故CF与CA,CP共面,即F在平面PAC内 【综合提升练】 一、单选题 1.(2024·安徽合肥·模拟预测)已知向量 , ,若当 时, , 当 时, ,则( ) A. , B. ,C. , D. , 【答案】C 【分析】根据向量同向及数量积为0分别建立方程求解. 【详解】当 时,由 可知 与 方向相同,得 ,解得 ; 当 时, ,即 ,解得 . 故选:C 2.(2024·山西·模拟预测)已知向量 , ,若 ,则 ( ) A. B. C.3 D. 【答案】D 【分析】根据向量平行,建立坐标关系,求出x.再利用模长公式求出模长. 【详解】因为 ,所以 ,即 . 因为 ,所以 . 故选:D. 3.(2024·重庆·三模)已知向量 ,若 ,则 ( ) A.3 B. C. D. 【答案】D 【分析】利用平面向量共线的坐标表示计算即可. 【详解】由题意可知 . 故选:D 4.(2024·浙江温州·三模)平面向量 ,若 ,则 ( ) A. B.1 C. D.2 【答案】A 【分析】根据向量平行满足的坐标关系即可求解.【详解】 ,由于 ,所以 ,解得 , 故选:A 5.(2024·辽宁·二模)已知平行四边形ABCD,点P在 的内部(不含边界),则下 列选项中, 可能的关系式为( ) A. B. C. D. 【答案】C 【分析】根据题意,设 ,结合平面向量的基本定理,逐项判定,即可求解. 【详解】设 ,由平面向量的基本定理,可得: 当 时,此时点P在直线BD上; 当 时,此时点P在点A和直线BD之间; 当 时,此时点P在点C和直线BD之间; 当 时,此时点P在过点C且与直线BD平行的直线上, 对于A中,由向量 ,满足 ,所以点 在 内部,所以A错 误; 对于B中,由 ,满足 ,所以点 在 上,所以B错误; 对于C中,由 ,满足 ,所以点 可能在 内部,所以C 正确; 对于D中,由 ,满足 ,此时点P在过点C且与直线BD平行的 直线上,所以D错误. 故选:C.6.(2024·全国·模拟预测)在 中,点 满足 .若 , , ,则 ( ) A.4 B. C. D. 【答案】C 【分析】首先根据已知取基 ,然后用基底表示 ,然后利用 求 出即可 【详解】如图,在 中,记 ,则 . , . 在 中, ,又 , , . 故选:C. 7.(2023·全国·模拟预测)在 中,点D是线段AB上靠近B的四等分点,点E是线 段CD上靠近D的三等分点,则 ( ) A. B. C. D. 【答案】C 【分析】方法一:利用平面向量基本定理得到答案; 方法二:设 是等腰直角三角形,且 ,建立空间直角坐标系,写出点的坐 标,设 ,从而得到方程组,求出答案.【详解】方法一:如图,由题意得 , , 故 ; 方法二:不妨设 是等腰直角三角形,且 , 以C为坐标原点建立平面直角坐标系,如图所示, 则 , 则 , 设 , 故 , 所以 ,解得 , 故 . 故选:C. 8.(2024·山东泰安·模拟预测)已知向量 , ,且 ,则 ( )A.2 B.-2 C. D. 【答案】D 【分析】由向量平行的充要条件列方程即可求解. 【详解】因为向量 , ,且 ,所以 ,解得 . 故选:D. 二、多选题 9.(2024·江西景德镇·三模)等边 边长为2, , , 与 交于 点 ,则( ) A. B. C. D. 在 方向上的投影向量为 【答案】BD 【分析】利用平面向量的线性运算可判断A选项的正误;以 为坐标原点, 、 分别 为 轴、 轴正方向建立平面直角坐标系,求出点 的坐标,可判断B选项的正误;利用 平面向量数量积的坐标运算和投影向量的定义可判断CD选项的正误. 【详解】对于A,由平面向量线性运算可得, ,A错误; 对于B,以 为坐标原点, 、 分别为 轴、 轴正方向建立平面直角坐标系,如图 所示, 则设 , ,所以 , 因为 ,所以 ,解得 ,所以 ,B正确; 对于C,由B可知, , 所以 ,C错误; 对于D, ,所以 , 所以 在 方向上的投影向量为 ,D正确; 故选:BD. 10.(2024·山东济南·二模)如图,在直角三角形 中, , ,点 是以 为直径的半圆弧上的动点,若 ,则( ) A. B. C. 最大值为D. , , 三点共线时 【答案】ACD 【分析】依题意可得 为 的中点,根据平面向量加法的平行四边形法则判断A,建立平 面直角坐标系,求出圆 的方程,设 , ,利用坐标 法判断B、C,由三点共线得到 ,即可求出 ,从而求出 , ,即可判断D. 【详解】因为 ,即 为 的中点,所以 ,故A正确; 如图建立平面直角坐标,则 , , , , 所以 , ,则 ,故B错误; 又 , 所以圆 的方程为 , 设 , , 则 ,又 , 所以 , 因为 ,所以 , 所以 ,所以 ,故 最大值为 ,故C正确; 因为 , , 三点共线,所以 , 又 , , 所以 ,即 , 所以 , 所以 ,又 , , 且 ,即 , 所以 ,所以 ,所以 ,故D正确. 故选:ACD 11.(2024·湖北武汉·模拟预测)已知向量 ,则下列命题为真命 题的是( ) A.若 ,则 B.若 ,则 C. 的最大值为6D.若 ,则 【答案】ACD 【详解】利用向量平行的坐标表示判断A;利用向量垂直的坐标表示判断B选项;根据向 量减法的三角形法则,结合 反向检验等号成立的条件,从而判断C;利用向量数量积 运算法则得到 ,进而求得 ,从而判断D. 【分析】对于A,因为 , , 则 ,解得 ,故A正确; 对于B,因为 ,则 ,解得 , 所以 ,解得 ,故B错误; 对于C,因为 , 而 ,当且仅当 反向时,等号成立, 此时 ,解得 或 , 当 , 同向,舍去; 当 ,满足 反向;故C正确; 对于D,若 ,则 , 即 ,所以 , 则,故D正确. 故选:ACD 三、填空题 12.(2022·黑龙江·一模)已知向量 , ,点 的坐标为 ,则点 的坐标为 . 【答案】 【分析】利用平面向量的坐标运算可求得点 的坐标. 【详解】设点 ,因为 ,则 ,解得 , . 故点 . 故答案为: . 13.(2020高三上·全国·专题练习)已知向量 , ,且 ,则 【答案】 【解析】根据向量共线的公式求解得 ,再根据模长公式求解即可. 【详解】由 得, ,即 ,所以 . 故答案为: 【点睛】本题主要考查了向量的平行公式与模长公式,属于基础题型. 14.(2023·上海徐汇·三模)函数 沿着向量 平移后得到函数 , 则向量 的坐标是 . 【答案】 【分析】根据函数的平移和表达式变换即可求解. 【详解】 向右平移1个单位后得 ,所以 向右平移1个单位,向上平移两个单位可以得到 , 所以 , 故答案为: . 四、解答题 15.(2023·吉林·一模)已知向量 , . (1)若 且 ,求 ; (2)若函数 ,求 的单调递增区间. 【答案】(1) 或 (2) 【分析】(1)根据向量平行列方程,从而求得 . (2)化简 的解析式,然后利用整体代入法求得 的单调递增区间. 【详解】(1) , , 即 , 或 , , 或 . 方法二: , , , ,, , 或 , 或 . (2) , 令 , , 的单调递增区间是 . 16.(2023·安徽滁州·模拟预测)已知 的内角 的对边分别为 ,向量 ,且 . (1)求角 (2)若 的面积为 ,求 的周长. 【答案】(1) (2) 【分析】(1)由 结合正弦定理可得 ,后由余弦定理可得答案; (2)由(1)结合 可得 ,后由 可得 ,即可得周长. 【详解】(1)由 可知 , 由正弦定理,得 ,即 . 所以 ,又 ,所以 ; (2)由(1)知 ,所以 .又 , 所以 ,所以 ,即 ,所以 的周长为 . 17.(2020·山东济宁·模拟预测)已知向量 , , . (1)若 ,求m的值; (2)若 ,求m的值; (3)若 与 夹角为锐角,求m的取值范围. 【答案】(1) (2) (3) 【分析】(1)由向量平行坐标表示即可; (2)由向量垂直坐标表示即可; (3)由向量夹角为锐角可知 且 不同向,由此可构造不等式组求得 的范围 【详解】(1)因为向量 , , , 所以 ,解得 ;(2)因为向量 , , , 所以 ,解得 ; (3) 夹角为锐角, 且 不同向, , 解得: 且 , 的取值范围为 . 18.(2023·全国·模拟预测)记 的内角 的对边分别为 ,已知 . (1)求 ; (2)若 是 上的一点,且 ,求 的最小值. 【答案】(1) (2) 【分析】(1)根据正弦定理化简可得 ,再根据角度关系分析即可; (2)根据平面向量基本定理可得 ,再两边平方可得 ,结 合余弦定理可得 ,再令 ,结合函数单调性与最值求解即可. 【详解】(1) ,又 ,则 或 , 若 ,则 ; 若 ,则 ,又 ,不符合题意,舍去, 综上所述 . (2) ①,又 ②, ①÷②得: 令 ,又 , , 令 令 , 令 , 当 时 ,当 时 , 由对勾函数性质可得当 时, 为减函数,故 , 同理当 时 , 所以当三角形 为等边三角形时 最小,最小值为 19.(2023·福建福州·三模) ABC的内角A,B,C的对边分别为a,b,c.已知 △, . (1)求B; (2)D为AC的中点, ,求 的面积. 【答案】(1) (2) 或, 【分析】(1)由诱导公式化简,再应用正弦定理,最后由余弦即可求出 . (2)由D为AC的中点,求出 关系, 可得 ,最后求出面积即可. 【详解】(1) (2)D为AC的中点, , , , , , 或 , 当 时, , 时, 所以 的面积为 或 【拓展冲刺练】一、单选题 1.(2024·河南·模拟预测)已知向量 , ,点 ,则点B的坐 标为( ) A. B. C. D. 【答案】A 【分析】由向量坐标的线性运算求解即可. 【详解】由题意得, , 设点B的坐标为 ,则 ,所以点B的坐标为 . 故选:A. 2.(2024·山东济南·一模)已知 , ,若 ,则 ( ) A.1 B. C. D. 【答案】A 【分析】根据平面向量共线的充要条件即可得解. 【详解】因为 , , , 所以 ,解得 . 故选:A. 3.(2024·陕西榆林·二模)若向量 ,则 ( ) A. B.2 C.1 D.0 【答案】D 【分析】利用向量平行的坐标表示直接求解. 【详解】依题意得 ,即 . 故选:D. 4.(2024·全国·模拟预测)已知 为平面直角坐标系的原点,向量,设 是直线 上的动点,当 取得最小值时, ( ) A. B. C. D. 【答案】A 【分析】设 在 上求得 ,计算当 取得最小值时,求得 即可. 【详解】 是直线 上的动点,则可设 , 则 , 所以当 时, 取得最小值,此时 , 故选:A 二、多选题 5.(2023·全国·模拟预测)已知向量 .若 ,则 ( ) A. B.0 C.1 D.2 【答案】AC 【分析】利用向量线性运算的坐标表示,结合向量共线的坐标表示列式计算即得. 【详解】向量 ,则 , , 由 ,得 ,即 ,解得 , 所以 或 . 故选:AC 6.(2024·辽宁葫芦岛·二模)已知向量 , , 为非零向量,下列说法正确的有( )A.若 , ,则 B.已知向量 , ,则 C.若 ,则 和 在 上的投影向量相等 D.已知 , , ,则点A,B,D一定共线 【答案】CD 【分析】根据向量的线性运算、投影向量的意义和向量共线定理即可判断出正确答案. 【详解】对于A,若 , ,则 与 可能平行,故A错误; 对于B,设 ,则 ,解得 ,所以 , 故B错误; 对于C,若 ,则 ,所以 ,所以 和 在 上的投影向量相等,故C正确; 对于D,因为 , ,所以 ,所以点A,B,D一定 共线,故D正确. 故选:CD. 三、填空题 7.(2024·山东潍坊·三模)已知向量 ,若 ,则实 数 【答案】 【分析】根据向量线性运算和数量积公式得到方程,求出答案. 【详解】 , , 解得 . 故答案为:8.(23-24高三下·陕西西安·阶段练习)已知向量 , ,则 【答案】1 【分析】根据平面向量减法运算的坐标运算以及平面向量的数量积运算求解即可. 【详解】因为 , ,故 , 所以 , 故答案为:1. 9.(2023·上海普陀·二模)设x、 ,若向量 , , 满足 , , ,且向量 与 互相平行,则 的最小值为 . 【答案】 【分析】由向量平行的坐标表示可得 ,在坐标系中 , ,将 按向量 平移至 ,根据 轨迹为直线 ,将问题 化为 最小,数形结合法求原点到直线距离即可得结果. 【详解】由 ,又向量 与 互相平行, 所以 ,故 , 令 , ,则 , 所以 ,将 按向量 平移至 , 所以 是直线 上的动点,如下图示,所以 ,故 , 由图知:要使 最小,只需 三点共线且 到直线 距离最短, 故 最小值为原点到直线 的距离,最小值为 ,此时 题设中的x=2,y=1. 故答案为: 【点睛】关键点点睛:找到 的 ,并将其平移至 使 ,即有 ,问题化为求点到直线距离. 四、解答题 10.(2023·河南洛阳·一模)已知函数 ,在 中, 内角A,B,C的对边分别为a,b,c,且 . (1)求角A; (2)若b=3,c=2,点D为BC边上靠近点C的三等分点,求AD的长度. 【答案】(1) . (2) .【分析】(1)运用三角恒等变换化简函数,再运用特殊角的三角函数值解方程即可. (2)方法一:在△ABC中运用余弦定理求得BC及 ,再在 中运用余弦定理可 求得AD的值. 方法二:运用平面向量基本定理可得 ,两边同时平方运用数量积求解即 可. 【详解】(1)因为 , 所以 ,所以 . 所以 ,即 . 又 ,所以 . (2)如图所示, 方法一:在△ABC中,由余弦定理可得 , 则 .又点D为BC边上靠近点C的三等分点,所以 . 又在△ABC中, , 在 中,由余弦定理可得, 所以 . 方法二:因为点D为BC边上靠近点C的三等分点,所以 . 等式两边同时平方可得 . 所以 ,即 . 11.(2023·江苏·三模)已知椭圆E: ,椭圆上有四个动点A,B,C,D, ,AD与BC相交于P点.如图所示. (1)当A,B恰好分别为椭圆的上顶点和右顶点时,试探究:直线AD与BC的斜率之积是否 为定值?若为定值,请求出该定值;否则,请说明理由; (2)若点P的坐标为 ,求直线AB的斜率. 【答案】(1)是定值,定值为 (2) 【分析】(1) 由题意求出直线 的斜率,再求 可设直线CD的方程为 ,设 , ,将直线方程代入椭圆方程化简,利用根与系数 的关系,然后求解 即可;(2)设 , , ,记 ,表示出点 的坐标,将A,D两点 的坐标代入椭圆方程,化简得 ,再由 可得 ,从 而可得 ,进而可得直线 的方程,则可求出其斜率. 【详解】(1)由题意知, , ,所以 , ,所以 , 设直线CD的方程为 ,设 , , 联立直线CD与椭圆的方程 ,整理得 , 由 ,解得 ,且 , 则 , , 所以 , 故直线AD与BC的斜率之积是定值,且定值为 . (2)设 , , ,记 ( ),得 .所以 . 又A,D均在椭圆上,所以 , 化简得 , 因为 ,所以 , 同理可得 , 即直线AB: , 所以AB的斜率为 . 【点睛】关键点睛:此题考查直线与椭圆的位置关系,考查椭圆中的定值问题,解题的关 键是设出直线CD的方程,代入椭圆方程中消元化简,再利用根与系数的关系,再利用直 线的斜率公式表示出 ,结合前面的式子化简计算可得结果,考查计算能力和数形结 合的思想,属于较难题.