当前位置:首页>文档>专题21有机化学基础-2019年高考化学易错题汇总(原卷版)_05高考化学_新高考复习资料_2022年新高考资料_2022年一轮复习各版本_1.高考化学2022年一轮复习通用版_原卷版

专题21有机化学基础-2019年高考化学易错题汇总(原卷版)_05高考化学_新高考复习资料_2022年新高考资料_2022年一轮复习各版本_1.高考化学2022年一轮复习通用版_原卷版

  • 2026-04-01 15:07:13 2026-03-27 17:35:01

文档预览

专题21有机化学基础-2019年高考化学易错题汇总(原卷版)_05高考化学_新高考复习资料_2022年新高考资料_2022年一轮复习各版本_1.高考化学2022年一轮复习通用版_原卷版
专题21有机化学基础-2019年高考化学易错题汇总(原卷版)_05高考化学_新高考复习资料_2022年新高考资料_2022年一轮复习各版本_1.高考化学2022年一轮复习通用版_原卷版
专题21有机化学基础-2019年高考化学易错题汇总(原卷版)_05高考化学_新高考复习资料_2022年新高考资料_2022年一轮复习各版本_1.高考化学2022年一轮复习通用版_原卷版
专题21有机化学基础-2019年高考化学易错题汇总(原卷版)_05高考化学_新高考复习资料_2022年新高考资料_2022年一轮复习各版本_1.高考化学2022年一轮复习通用版_原卷版
专题21有机化学基础-2019年高考化学易错题汇总(原卷版)_05高考化学_新高考复习资料_2022年新高考资料_2022年一轮复习各版本_1.高考化学2022年一轮复习通用版_原卷版
专题21有机化学基础-2019年高考化学易错题汇总(原卷版)_05高考化学_新高考复习资料_2022年新高考资料_2022年一轮复习各版本_1.高考化学2022年一轮复习通用版_原卷版
专题21有机化学基础-2019年高考化学易错题汇总(原卷版)_05高考化学_新高考复习资料_2022年新高考资料_2022年一轮复习各版本_1.高考化学2022年一轮复习通用版_原卷版
专题21有机化学基础-2019年高考化学易错题汇总(原卷版)_05高考化学_新高考复习资料_2022年新高考资料_2022年一轮复习各版本_1.高考化学2022年一轮复习通用版_原卷版
专题21有机化学基础-2019年高考化学易错题汇总(原卷版)_05高考化学_新高考复习资料_2022年新高考资料_2022年一轮复习各版本_1.高考化学2022年一轮复习通用版_原卷版
专题21有机化学基础-2019年高考化学易错题汇总(原卷版)_05高考化学_新高考复习资料_2022年新高考资料_2022年一轮复习各版本_1.高考化学2022年一轮复习通用版_原卷版
专题21有机化学基础-2019年高考化学易错题汇总(原卷版)_05高考化学_新高考复习资料_2022年新高考资料_2022年一轮复习各版本_1.高考化学2022年一轮复习通用版_原卷版
专题21有机化学基础-2019年高考化学易错题汇总(原卷版)_05高考化学_新高考复习资料_2022年新高考资料_2022年一轮复习各版本_1.高考化学2022年一轮复习通用版_原卷版
专题21有机化学基础-2019年高考化学易错题汇总(原卷版)_05高考化学_新高考复习资料_2022年新高考资料_2022年一轮复习各版本_1.高考化学2022年一轮复习通用版_原卷版
专题21有机化学基础-2019年高考化学易错题汇总(原卷版)_05高考化学_新高考复习资料_2022年新高考资料_2022年一轮复习各版本_1.高考化学2022年一轮复习通用版_原卷版
专题21有机化学基础-2019年高考化学易错题汇总(原卷版)_05高考化学_新高考复习资料_2022年新高考资料_2022年一轮复习各版本_1.高考化学2022年一轮复习通用版_原卷版
专题21有机化学基础-2019年高考化学易错题汇总(原卷版)_05高考化学_新高考复习资料_2022年新高考资料_2022年一轮复习各版本_1.高考化学2022年一轮复习通用版_原卷版
专题21有机化学基础-2019年高考化学易错题汇总(原卷版)_05高考化学_新高考复习资料_2022年新高考资料_2022年一轮复习各版本_1.高考化学2022年一轮复习通用版_原卷版
专题21有机化学基础-2019年高考化学易错题汇总(原卷版)_05高考化学_新高考复习资料_2022年新高考资料_2022年一轮复习各版本_1.高考化学2022年一轮复习通用版_原卷版
专题21有机化学基础-2019年高考化学易错题汇总(原卷版)_05高考化学_新高考复习资料_2022年新高考资料_2022年一轮复习各版本_1.高考化学2022年一轮复习通用版_原卷版
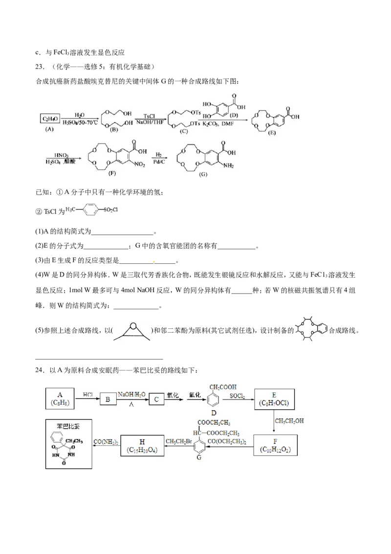
专题21有机化学基础-2019年高考化学易错题汇总(原卷版)_05高考化学_新高考复习资料_2022年新高考资料_2022年一轮复习各版本_1.高考化学2022年一轮复习通用版_原卷版
专题21有机化学基础-2019年高考化学易错题汇总(原卷版)_05高考化学_新高考复习资料_2022年新高考资料_2022年一轮复习各版本_1.高考化学2022年一轮复习通用版_原卷版
专题21有机化学基础-2019年高考化学易错题汇总(原卷版)_05高考化学_新高考复习资料_2022年新高考资料_2022年一轮复习各版本_1.高考化学2022年一轮复习通用版_原卷版
专题21有机化学基础-2019年高考化学易错题汇总(原卷版)_05高考化学_新高考复习资料_2022年新高考资料_2022年一轮复习各版本_1.高考化学2022年一轮复习通用版_原卷版
专题21有机化学基础-2019年高考化学易错题汇总(原卷版)_05高考化学_新高考复习资料_2022年新高考资料_2022年一轮复习各版本_1.高考化学2022年一轮复习通用版_原卷版

文档信息

文档格式
doc
文档大小
1.811 MB
文档页数
20 页
上传时间
2026-03-27 17:35:01

文档内容

易错题 21 有机化学基础 1.H是药物合成中的一种重要中间体,下面是H的一种合成路线: 回答下列问题: (1)X的结构简式为_______,其中所含官能团的名称为______;Y生成Z的反应类型为_______。 (2)R的化学名称是________。 (3)由Z和E合成F的化学方程式为__________________。 (4)同时满足苯环上有4个取代基,且既能发生银镜反应,又能发生水解反应的Y的同分异构体有________种, 其中核磁共振氢谱上有4组峰,峰面积之比为1∶2∶2∶3的同分异构体的结构简式为________(一种即可)。 (5)参照上述合成路线,以乙醛和 为原料(其他试剂任选),设计制备肉桂醛( )的合成路线_______________。 2.苯噁洛芬是一种消炎镇痛药,可用于治疗风湿性关节炎、类风湿性关节炎及其它炎性疾病。某研究小组按 下列路线合成药物苯噁洛芬:已知: a.R-CN R-COOH b.R-NO R-NH 2 2 C.CHCHNH CHCHOH 3 2 2 3 2 请回答: (1)化合物H的结构简式为:______。 (2)化合物F中所含的官能团有氨基、______和______等。 (3)下列说法正确的是______。 A.化合物A能发生取代反应、加成反应 B.化合物F遇到 FeCl 显紫色,可以发生缩聚反应 3 C.1mol 化合物G最多可以与 3mol NaOH 反应 D.苯噁洛芬的分子式是C H ONCl 16 11 3 (4)写出D→E的化学方程式______。 (5)写出B的任意一种满足下列条件的同分异构体的结构简式:______。 ①核磁共振氢谱表明分子中有4种氢原子; ②红外光谱显示有苯环且其含有邻位二取代的五元环,并有 N-H 键。 (6)若苯与乙烯在催化剂条件下发生反应生成乙苯,且,请设计由 苯和乙烯为原料制备化合物A的合成路 线(用流程图表示,无机试剂任选):___________。 3.某酯W是一种疗效明显的血管扩张剂,一种合成流程如下:回答下列问题 (1)E中含碳官能团的名称是_______;C的名称是_____。 (2)A→B反应条件和试剂是___________;C→D的反应类型是___________。 (3)写出W的结构简式:___________。能测定H分子中所含化学键和官能团种类的仪器名称是 ____________。 (4)写出F→G的化学方程式:__________。 (5)R是E的同分异构体R同时具备下列条件的结构有______种 ①遇氯化铁溶液发生显色反应; ②能发生水解反应和银镜反应,其中,在核磁共振氢谱上有5组峰且峰的 面积比为1:1:2:2:2的结构简式为___________。 (6)以乙醛为原料合成环酯 ,设计合成路线(其他试剂自选):______________。 4.沙罗特美是一种长效平喘药,其合成的部分路线如下: (1)F中的含氧官能团名称为____________。 [来源:学§科§网Z§X§X§K] (2)A的名称为____________。 (3)D→E的反应类型为____________,沙罗特美的分子式为____________。 (4)B的分子式为C HO,与(CH)C(OCH ) 发生取代反应得到物质C和CHOH,写出B的结构简式: 8 8 3 3 2 3 2 3 ____________________。(5)判断同时满足下列条件的C的同分异构体的数目:_______。(不考虑立体异构) ①分子中含有 结构且只有一个环状结构,与FeCl 发生显色反应; 3 ②能与NaHCO 发生反应放出CO。 3 2 ③苯环上有且只有三个取代基 (6)请写出以 、(CH)C(OCH )、CHNO 为原料制备 的合成路线流程图(无机试剂任 3 2 3 2 3 2 用,合成路线流程图示例见本题题干)。_____________。 5. 有机物Y是一种治疗心血管和高血压的药物,某研究小组以甲苯、乙烯等物质为主要原料, 通过以下路线合成: 已知:RX+NaCN RCN RCOOH 请回答: (1)Y的化学式为______________ (2)写出化合物H的结构简式_______________。 (3)下列说法不正确的是______________。 A.B的一氯代物有三种 B.反应①②③④均属于取代反应C.化合物G→Y的转化过程中,涉及的反应类型有取代反应、加成反应 D.反应①的试剂与条件为Cl/光照 2 E. 化合物E能发生银镜反应 (4)写出反应④的化学方程式________________。 (5)芳香族化合物M是B的同分异构体,M含有二个六元环(且两个二元环共用两个相邻的碳原子),则M可 能的结构有_______________。(任写两种) (6)已知一个碳原子上连有两个羟基是不稳定的,会脱水转化为羰基。: .写出以 为原 料制备合成 的线路图。___________ 6.奈必洛尔是一种用于血管扩张的降血压药物,一种合成奈必洛尔中间体G的部分流程如下: [来源:学科网ZXXK] 已知:乙酸酐的结构简式为 。 请回答下列问题: (1)A的名称是______;B中所含官能团的名称是______。 (2)反应⑤的化学方程式为______,该反应的反应类型是______。 (3)G的分子式为______。 (4)写出满足下列条件的E的同分异构体的结构简式:______、______。 Ⅰ.苯环上只有三个取代基 Ⅱ核磁共振氢谱图中只有4组吸收峰 Ⅲ.1mol该物质与足量NaHCO 溶液反应生成2molCO 3 2(5)根据已有知识并结合相关信息,写出以 为原料制备 的合成路 线流程图(无机试剂任选)______,合成路线流程图示例如下:CHCHBr CHCHOH 3 2 3 2 CHCOOCH CH 3 2 3 7.化合物M是二苯乙炔类液晶材料的一种,最简单的二苯乙炔类化合物是: 。以互为同系 物的单取代芳香烃A、G为原料合成M的一种路线(部分反应条件略去)如下: (1)A的结构简式为___________________。 (2)D中含有的官能团名称是__________,F的化学名称是_______________________。 (3)反应①的反应类型是________,反应③的反应类型是__________。 (4)反应⑤的化学方程式为___________________。 (5)能同时满足下列条件的B的同分异构体有_______种(不考虑立体异构),其中核磁共振氢谱为5组峰, 且峰面积之比为6:2:2:l:l的是____________(写结构简式)。①苯环上有两个取代基②能发生银镜反应 (6)参照上述合成路线,设计一条由苯乙烯和甲苯为起始原料制备 的合成路线 _________。 8.具有抗菌作用的白头翁素衍生物H的合成路线如下图所示:已知:i.RCH Br R﹣HC═CH﹣R′ 2 ii.R﹣HC═CH﹣R′ iii.R﹣HC═CH﹣R′ (以上R、R'、R''代表氢、烷基或芳基等) (1)A属于芳香烃,其名称是_______________________。 (2)D的结构简式是_______________________________。 (3)由F生成G的反应类型是________________________________________。 (4)由E与I 在一定条件下反应生成F的化学方程式是_____________________;此反应同时生成另外一个有 2 机副产物且与F互为同分异构体,此有机副产物的结构简式是_______________________________。 (5)下列说法正确的是___________(选填字母序号)。 A.G存在顺反异构体 B.由G生成H的反应是加成反应 C.1 mol G最多可以与1 mol H 发生加成反应 2 D.1 mol F或1 mol H与足量NaOH溶液反应,均消耗2 molNaOH (6)以乙烯为起始原料,结合已知信息选用必要的无机试剂合成 写出合成路线(用结构简式表示 有机物,用箭头表示转化关系,箭头上注明试剂和反应条件)。___________________ 9.有机物H为某合成药物的中间体,其合成路线如下:已知: ① R-CH=CH-CH R-CH=CH-CH-Br 3 2 ② RCH=CH+HBr RCH CHBr 2 2 2 回答下列问题: (1)A的结构简式为_______。H中含有的含氧官能团名称是__________。 (2)F→G的反应类型为__________,设计C→D的目的为___________。 (3)D→E反应的化学方程式为_____________________________。 (4)M和N与G互为同分异构体。M含有苯环,苯环上有2个支链,且苯环上一氯代物只有2种,遇FeCl 溶液 3 显紫色,能与新制Cu(OH) 悬浊液反应生成砖红色沉淀,则M有_____种(不考虑顺反异构)。N为芳香族化合 2 物,0.5molN与足量银氨溶液反应生成2molAg,核磁共振氢谱显示其峰面积比为1:2:2,则N的结构简式为 ________。 (5)参考上述合成路线,以丙烯为原料(无机试剂任选)设计制备 的合成路线____________________。 10.有机物F是一种香料,其合成路线如图所示: 已知:iii (1)D的名称为__________,试剂X的结构简式为___________,步骤Ⅵ的反应类型为_________。 (2)步骤Ⅱ反应的化学方程式为__________________________________。 (3)满足括号中条件(①苯环上只有两个取代基,②能与FeCl 溶液发生显色反应,③能发生水解反应和银镜反 3 应)的E的同分异构体有_______种,其中核磁共振氢谱峰面积比为6︰2︰2︰1︰1的分子的结构简式为 ___________________________。 (4)依据题中信息,完成以 为原料制取 的合成路线图_________。(无机试剂一 定要选银氨溶液,其它无机试剂任选)合成路线图示例如下: 11.A(C H)是基本的有机化工原料。用A和常见的有机物可合成一种醚类香料和一种缩醛类香料。具体合成 2 4 路线如图所示 ( 部分反应条件略去 ): 已知:① ②D为单取代芳香族化合物且能与金属钠反应;每个D分子中只含有1个氧原子,D中氧元素的质量分数约 为13.1%. 回答下列问题: (1)A的名称是 ___ ,图中缩醛的分子式是 ___. (2)B的结构简式为 ___. (3)⑤的化学方程式为 ___.(4)⑥的反应类型是 ___. (5)请写出核磁共振氢谱有 4 组峰 , 峰面积之比为 3:2:2:1, 并含有苯环和 结构的苯乙醛的所有同分异 构体的结构简式: ___. (6)参照 的合成路线,设计一条由2−氯丙烷和必要的无机试剂制备 的合成路线(注明必 要的反应条件 )___。 [来源:Z,xx,k.Com] 12.PC是一种可降解的聚碳酸酯类高分子材料,其结构简式为 。 一种生产PC的合成路线如下: 其中,A可使Br 的CCl 溶液褪色,B中有5种不同化学环境的氢,D可与FeCl 溶液发生显色反应,E可与H 2 4 3 2 发生加成反应,其核磁共振氢谱为单峰。 已知: 请回答下列问题: (1)D中官能团的名称为_____________,B的结构简式是____________。 (2)第③步反应的化学方程式是__________________________。 (3)碳酸二甲酯的一种同分异构体名叫乳酸,该物质能发生的化学反应有_________(填字母)。 A.取代反应 B.加成反应 C.消去反应 D.加聚反应 (4)碳酸二甲酯有多种同分异构体,写出其中能与NaC0 溶液反应的任意一种同分异构体(乳酸除外)的结 2 3 构简式___________________________。 13.化合物H是一种有机光电材料中间体。实验室由芳香化合物A制备H的一种合成路线如下:已知:① ② 回答下列问题: (1)A的化学名称是______________________。 (2)由C生成D和E生成F的反应类型分别是_____________________、____________________。 (3)E的结构简式为______________________________。 (4)G为甲苯的同分异构体,由F生成H的化学方程式为______________________________。 (5)芳香化合物X是F的同分异构体,X能与饱和碳酸氢钠溶液反应放出CO,其核磁共振氢谱显示有4种不 2 同化学环境的氢,峰面积比为6:2:1:1,写出2种符合要求的X的结构简式:_______________。 (6)写出用环戊烷和2-丁炔为原料制备化合物的合成路线(其他试剂任选) _______________。 14.有机物P是某抗病毒药物的中间体,它的一种合成路线如下 已知:X的分子式为C HOBr 4 7 2(1)有机物P的分子式为 ________________,N→X的反应类型是 ________________ (2)M无支链,M系统命名的名称为____________,E中含有的官能团的名称是_______________ (3)X与NaOH溶液反应的化学方程式为____________________________ (4)某物质K是E的同系物,且相对分子质量比E多14,则同时满足下列条件K的同分异构体共有_______种。 a.含有苯环 b.既能发生银镜反应又能发生水解反应 写出分子中含有5种不同化学环境氢的结构简式____________________ (5)以乙烯为起始原料,选用必要的无机试剂合成M,写出合成路线(用结构简式表示有机物,用箭头表示转化 关系,箭头上注明试剂和反应条件)________________________________。 15.氯吡格雷是一种用于预防和治疗因血小板高聚集引起的心、脑及其他动脉循环障碍疾 病的药物。以2氯 苯甲醛为原料合成该药物的路线如下: (1)A中官能团名称为_____,A发生银镜反应的化学方程式为_____。 (2)C生成D的反应类型为_____。 (3)X(C HBrS)的结构简式为_____。 6 7 (4)写出C聚合成高分子化合物的化学反应方程式:_____。 (5)物质G是物质A的同系物,比A多一个碳原子,符合以下条件的G的同分异构体共有______种。 ①除苯环之外无其他环状结构;②能发生银镜反应。 其中核磁共振氢谱中有5个吸收峰,且峰值比为 2∶2∶1∶1∶1的结构简式为_____。 (6)已知: ,写出以乙烯、甲醇为有机原料制备化 合物 的合成路 线(无机试剂任选)__________16.羟甲香豆素是一种治疗胆结石的药物,合成路线如下图所示: 已知: (1)A属于芳香烃,其结构简式是______。B中所含的官能团是______。 (2)C→D的反应类型是______。 (3)E属于酯类。仅以乙醇为有机原料,选用必要的无机试剂合成E,写出有关化学方程式:______。 (4)已知: 。F所含官能团有 和______。 (5)以D和F为原料合成羟甲香豆素分为三步反应,写出有关化合物的结构简式: __________________,__________________,__________________,__________________。 17.有机化合物甲有镇咳、镇静的功效,其合成路线如下: 已知: (R、R'、R"代表烃基或氢) (1)有机物甲的分子式为___________,有机物A中含有的官能团的名称为_______________。 (2)有机物B的名称是__________,由B→D 所需的反应试剂和反应条件为________________。 (3)在上述①~⑤反应中,属于取代反应的有____________(填序号)。(4)写出E→F的化学方程式________________。 (5)满足“属于芳香族化合物”的甲的同分异构体有________种。其中核磁共振氢谱上只有2组峰的结构简 式是______________ (6)根据题给信息,写出以CH 为原料制备CHCHO的合成路线(其他试剂任选)__________________。 4 3 18.(题文)(题文)PHB塑料是一种在微生物作用下可降解成无机物的环保型塑料,工业上可用异戊二烯 合成: 已知: (—R 、—R 、—R 、—R均为烃基) 1 2 3 请回答下列问题: (1)A用系统命名法命名为_____,D中官能团的名称是_______。 (2)反应①的反应类型为_______________。 (3)B与H 反应后的产物的结构简式为 ,则B的结构简式为_____。 2 (4)写出反应④的化学方程式:_________________________________。 (5)C的同分异构体X满足下列条件: ①能发生水解反应和银镜反应;②1个分子中含有2个碳氧双键。则符合条件的X共有______种。 另一种同分异构体Y能与碳酸钠溶液反应放出气体,能发生银镜反应,核磁共振氢谱共有四组峰且峰面积之 比为1∶1∶2∶2,则Y的结构简式为_________。 (6)参照PHB的上述合成路线,设计一条由D为起始原料制备 的合成路线(其他试剂任 选)______________。19.白黎芦醇(结构简式: )属二苯乙烯类多酚化合物,具有抗氧化、抗癌和预防心血管 疾病的作用。某课题组提出了如下合成路线: 已知: 根据以上信息回答下列问题: (1)白黎芦醇的分子式是___________。 (2)C→D的反应类型是_______;E→F的反应类型是_________。 (3)化合物A不与FeCl 溶液发生显色反应,能与NaHCO 反应放出CO,推测其1H核磁共振谱(H-NMR)中 3 3 2 显示不同化学环境的氢原子个数比为________。 (4)写出A→B反应的化学方程式:___________________________________。 (5)写出结构简式:D______________、E_______________。 (6)化合物 符合下列条件的所有同分异构体共_________种, ①能发生银镜反应;②含苯环且苯环上只有两种不同化学环境的氢原子。 写出其中不与碱反应的同分异构体的结构简式:_____________________。 20.具有抗菌、消炎作用的黄酮醋酸类化合物L的合成路线如下图所示:已知部分有机化合物转化的反应式如下: (1)A的分子式是C H,其结构简式是______;A→B所属的反应类型为______。 7 8 (2)试剂a是__________________________。 (3)C→D的化学方程式是__________________________________________。 (4)F的结构简式是__________;试剂b是___________。 (5)H与I 反应生成J和HI的化学方程式是__________________________。 2 (6)以A和乙烯为起始原料,结合题中信息,选用必要的无机试剂合成苯乙酸乙酯( ), 参照下列模板写出相应的合成路线______________________。 21.以葡萄糖为原料制得的山梨醇(A)和异山梨醇(B)都是重要的生物质转化平台化合物。E是一种治疗心 绞痛的药物,由葡萄糖为原料合成E的过程如下:回答下列问题: (1)葡萄糖的实验式为_________________________________。 (2)E中含有的官能团为羟基、醚键和__________________________。 (3)由B到C的反应类型为_____________________。 (4)C的结构简式为_____________________。 (5)由D到E的反应方程式为____________________________________。 (6)F是B的同分异构体,7.30g的F与足量饱碳酸氢钠反应可释放出2.24L二氧化碳(标准状况),F的可能 结构共有__________种(不考虑立体异构),其中核磁共振氢谱为三组峰,峰面积比为3:1:1的结构简式为 _____________________。 22.近年来,蜂胶已成为保健品的宠儿,其主要成分CAPE(咖啡酸苯乙酯)因具有极强的抗炎和抗氧化活性得 以在食品、医学以及其他领域广泛应用。通过下列途径可合成咖啡酸苯乙酯。 [来源:学科网] 已知:A的核磁共振氢谱(1HNMR)显示,分子中有4种不同化学环境的氢原子,A能与FeCl 溶液发生显色反 3 应。 (1)丙二酸的结构简式为________________。 (2)咖啡酸苯乙酯含有的含氧官能团名称为_________________________。 (3)咖啡酸苯乙酯的分子式为________________,D的结构简式为____________________。 (4)反应类型:B―→C______________。 (5)A―→B的化学方程式为_______________________________________________________。 (6)写出同时满足下列条件的C的所有同分异构体的结构简式(不考虑立体异构):________________。 a.属于酯类 b.能发生银镜反应c.与FeCl 溶液发生显色反应 3 23.(化学——选修5:有机化学基础) 合成抗癌新药盐酸埃克替尼的关键中间体G的一种合成路线如下图: 已知:①A分子中只有一种化学环境的氢; ②TsCl为 (1)A的结构简式为__________________。 (2)E的分子式为_____________;G中的含氧官能团的名称有___________。 (3)由E生成F的反应类型是________________。 (4)W是D的同分异构体.W是三取代芳香族化合物,既能发生银镜反应和水解反应,又能与FeC1 溶液发生 3 显色反应;1mol W最多可与4mol NaOH反应,W的同分异构体有______种;若W的核磁共振氢谱只有4组 峰.则W的结构简式为:_____________。 (5)参照上述合成路线,以( )和邻二苯酚为原料(其它试剂任选),设计制备的 合成路线。 _____________________________________ 24.以A为原料合成安眠药——苯巴比妥的路线如下:已知:ⅰ.CH COOH+SOCl +SO+HCl 3 2 2 ⅱ. +CO(NH ) +2CH OH(R、R´为H原子或羟基) 2 2 3 (1)A中官能团的名称是_____。 (2)B→C的化学方程式是_______________________________________。 (3)F为酯,其结构简式是______________________________________。 (4)F→G的反应类型是_________________________________________。 (5)H的结构简式是____________________________________________。 (6)G与CO(NH) 在一定条件下合成的高分子结构简式是________________。 2 2 (7)D的同分异构体有多种,苯环上只有两个取代基且能发生银镜反应的有_____种,写出核磁共振氢谱中氢 原子种类数最少的任一种同分异构体的结构简式_____________。 25.有机化合物G是抗肿瘤药物中一种关键的中间体,由烃A(C H)合成G的路线如下(部分反应条件及副产 7 8 物已略去): 已知以下信息 ①B比A的相对分子质量大79; ②D的分子式为C HO,可发生银镜反应,且具有酸性。 2 2 3 回答下列问题: (1)测定有机物的组成和结构的现代分析方法中,测定相对分子质量时使用的仪器名称是 ______________________。 [来源:Z。xx。k.Com](2)A的名称是___________。由A生成B的化学方程式是______________________。 (3)D中所含官能团的名称是______________________。 (4)反应③、④的反应类型分别是___________、___________。 (5)下列说法不正确的是___________(填选项序号)。 A.可用FeCl 溶液鉴别C和E 3 B.有机物E中含有手性碳原子 C.B转化为C的第一步反应中的试剂甲为NaOH溶液 D.有机物E能发生加成反应,不能发生缩聚反应 (6)G的同分异构体中,符合下列要求的有___________种(不考虑立体异构)。 ①属于芳香族化合物: ②既能发生银镜反应,又能发生水解反应 (7)设计由丙酮酸( )为起始原料制备乙酸乙酯的合成路线___________(无机试剂任选)。合成 反应流程图示例如下: 。