当前位置:首页>文档>大单元四 第十二章 第58讲 沉淀溶解平衡图像的分析_05高考化学_2025年新高考资料_一轮复习_2025大一轮复习讲义+课件(完结)_2025大一轮复习讲义化学教师用书Word版文档全书

大单元四 第十二章 第58讲 沉淀溶解平衡图像的分析_05高考化学_2025年新高考资料_一轮复习_2025大一轮复习讲义+课件(完结)_2025大一轮复习讲义化学教师用书Word版文档全书

  • 2026-04-01 12:28:24 2026-03-28 09:21:16

文档预览

大单元四 第十二章 第58讲 沉淀溶解平衡图像的分析_05高考化学_2025年新高考资料_一轮复习_2025大一轮复习讲义+课件(完结)_2025大一轮复习讲义化学教师用书Word版文档全书
大单元四 第十二章 第58讲 沉淀溶解平衡图像的分析_05高考化学_2025年新高考资料_一轮复习_2025大一轮复习讲义+课件(完结)_2025大一轮复习讲义化学教师用书Word版文档全书
大单元四 第十二章 第58讲 沉淀溶解平衡图像的分析_05高考化学_2025年新高考资料_一轮复习_2025大一轮复习讲义+课件(完结)_2025大一轮复习讲义化学教师用书Word版文档全书
大单元四 第十二章 第58讲 沉淀溶解平衡图像的分析_05高考化学_2025年新高考资料_一轮复习_2025大一轮复习讲义+课件(完结)_2025大一轮复习讲义化学教师用书Word版文档全书
大单元四 第十二章 第58讲 沉淀溶解平衡图像的分析_05高考化学_2025年新高考资料_一轮复习_2025大一轮复习讲义+课件(完结)_2025大一轮复习讲义化学教师用书Word版文档全书
大单元四 第十二章 第58讲 沉淀溶解平衡图像的分析_05高考化学_2025年新高考资料_一轮复习_2025大一轮复习讲义+课件(完结)_2025大一轮复习讲义化学教师用书Word版文档全书
大单元四 第十二章 第58讲 沉淀溶解平衡图像的分析_05高考化学_2025年新高考资料_一轮复习_2025大一轮复习讲义+课件(完结)_2025大一轮复习讲义化学教师用书Word版文档全书
大单元四 第十二章 第58讲 沉淀溶解平衡图像的分析_05高考化学_2025年新高考资料_一轮复习_2025大一轮复习讲义+课件(完结)_2025大一轮复习讲义化学教师用书Word版文档全书
大单元四 第十二章 第58讲 沉淀溶解平衡图像的分析_05高考化学_2025年新高考资料_一轮复习_2025大一轮复习讲义+课件(完结)_2025大一轮复习讲义化学教师用书Word版文档全书
大单元四 第十二章 第58讲 沉淀溶解平衡图像的分析_05高考化学_2025年新高考资料_一轮复习_2025大一轮复习讲义+课件(完结)_2025大一轮复习讲义化学教师用书Word版文档全书
大单元四 第十二章 第58讲 沉淀溶解平衡图像的分析_05高考化学_2025年新高考资料_一轮复习_2025大一轮复习讲义+课件(完结)_2025大一轮复习讲义化学教师用书Word版文档全书
大单元四 第十二章 第58讲 沉淀溶解平衡图像的分析_05高考化学_2025年新高考资料_一轮复习_2025大一轮复习讲义+课件(完结)_2025大一轮复习讲义化学教师用书Word版文档全书
大单元四 第十二章 第58讲 沉淀溶解平衡图像的分析_05高考化学_2025年新高考资料_一轮复习_2025大一轮复习讲义+课件(完结)_2025大一轮复习讲义化学教师用书Word版文档全书
大单元四 第十二章 第58讲 沉淀溶解平衡图像的分析_05高考化学_2025年新高考资料_一轮复习_2025大一轮复习讲义+课件(完结)_2025大一轮复习讲义化学教师用书Word版文档全书
大单元四 第十二章 第58讲 沉淀溶解平衡图像的分析_05高考化学_2025年新高考资料_一轮复习_2025大一轮复习讲义+课件(完结)_2025大一轮复习讲义化学教师用书Word版文档全书
大单元四 第十二章 第58讲 沉淀溶解平衡图像的分析_05高考化学_2025年新高考资料_一轮复习_2025大一轮复习讲义+课件(完结)_2025大一轮复习讲义化学教师用书Word版文档全书
大单元四 第十二章 第58讲 沉淀溶解平衡图像的分析_05高考化学_2025年新高考资料_一轮复习_2025大一轮复习讲义+课件(完结)_2025大一轮复习讲义化学教师用书Word版文档全书
大单元四 第十二章 第58讲 沉淀溶解平衡图像的分析_05高考化学_2025年新高考资料_一轮复习_2025大一轮复习讲义+课件(完结)_2025大一轮复习讲义化学教师用书Word版文档全书
大单元四 第十二章 第58讲 沉淀溶解平衡图像的分析_05高考化学_2025年新高考资料_一轮复习_2025大一轮复习讲义+课件(完结)_2025大一轮复习讲义化学教师用书Word版文档全书
大单元四 第十二章 第58讲 沉淀溶解平衡图像的分析_05高考化学_2025年新高考资料_一轮复习_2025大一轮复习讲义+课件(完结)_2025大一轮复习讲义化学教师用书Word版文档全书
大单元四 第十二章 第58讲 沉淀溶解平衡图像的分析_05高考化学_2025年新高考资料_一轮复习_2025大一轮复习讲义+课件(完结)_2025大一轮复习讲义化学教师用书Word版文档全书

文档信息

文档格式
docx
文档大小
1.229 MB
文档页数
17 页
上传时间
2026-03-28 09:21:16

文档内容

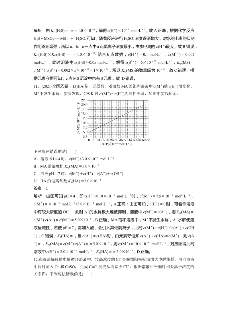
第 58 讲 沉淀溶解平衡图像的分析 [复习目标] 1.熟知常考沉淀溶解平衡图像的类型,能用沉淀溶解平衡原理解释曲线变化的 原因。2.会选取特殊点利用数据进行有关K 的计算。 sp 分析沉淀溶解平衡曲线图像的一般思路 1.明确图像中横、纵坐标的含义。 2.分析曲线上或曲线外的点对应的溶液是否为饱和溶液时,要明确点所对应的溶液中,若 Q>K ,能形成沉淀,则该点所对应的溶液为过饱和溶液;若Q<K ,不能形成沉淀,则该 sp sp 点所对应的溶液为不饱和溶液。 3.分析曲线上指定点的离子浓度时,需根据 K 计算或抓住K 的特点,结合选项分析判断。 sp sp 溶液在蒸发时,离子浓度的变化分两种情况:原溶液不饱和时,离子浓度都增大;原溶液饱 和时,离子浓度都不变。溶度积常数只是温度的函数,与溶液中的离子浓度无关,在同一曲 线上的点,溶度积常数都相同。 类型一 溶解度曲线 1.图像举例 如图为A、B、C三种物质的溶解度随温度变化曲线。 2.信息解读 (1)曲线上各点的意义:曲线上任一点都表示饱和溶液,曲线上方的任一点均表示过饱和溶 液,此时有沉淀析出,曲线下方的任一点均表示不饱和溶液。 (2)曲线的变化趋势:A曲线表示溶解度随温度升高而增大;B曲线表示溶解度随温度升高而 减小;C曲线表示溶解度随温度升高变化不大。 (3)分离提纯:A(C):蒸发浓缩、冷却结晶、过滤、洗涤、干燥;C(A):蒸发结晶、趁热过 滤。 (4)计算K :对于难溶电解质来说,若知道溶解度的值S g,可求出难溶电解质饱和溶液时 sp 的浓度c= mol·L-1,进而求出K 。 sp 1.(2014·全国卷Ⅰ,11)溴酸银(AgBrO )溶解度随温度变化曲线如图所示,下列说法错误的 3 是( )A.溴酸银的溶解是放热过程 B.温度升高时溴酸银溶解速度加快 C.60 ℃时溴酸银的K 约等于6×10-4 sp D.若硝酸钾中含有少量溴酸银,可用重结晶方法提纯 答案 A 解析 温度升高,该物质的溶解度增大,则AgBrO 的溶解是吸热过程,A错误;60 ℃溴酸 3 银的溶解度大约是 0.6 g,则 c(AgBrO )=≈0.025 mol·L-1,K =c(Ag+)·c(BrO)= 3 sp 0.025×0.025≈6×10-4,C正确;由于硝酸钾溶解度比较大,而溴酸银溶解度较小,所以若 硝酸钾中含有少量溴酸银,可用重结晶方法提纯,D正确。 2.已知4种盐的溶解度曲线如图所示,下列说法不正确的是( ) A.将NaCl溶液蒸干可得NaCl固体 B.将MgCl 溶液蒸干可得MgCl 固体 2 2 C.可用MgCl 和NaClO 制备Mg(ClO) 2 3 3 2 D.Mg(ClO) 中混有少量NaCl杂质,可用重结晶法提纯 3 2 答案 B 解析 氯化钠受热不分解,将氯化钠溶液蒸干后,得到的固体是氯化钠,A正确;将MgCl 2 溶液蒸干,因为镁离子会发生水解生成氢氧化镁和HCl,HCl挥发,促进镁离子的水解正向 移动,所以不会得到氯化镁固体,B错误;由图可知,氯化钠的溶解度较小,所以MgCl 溶 2 液和NaClO 溶液可发生复分解反应生成Mg(ClO) 和氯化钠沉淀,C正确;氯化钠的溶解度 3 3 2 随温度变化不大,而Mg(ClO) 的溶解度随温度的变化较大,所以Mg(ClO) 中混有少量氯 3 2 3 2 化钠杂质,可用重结晶法提纯,D正确。 类型二 离子积曲线1.图像举例 BaSO 在不同条件下沉淀溶解平衡: 4 2.信息解读 a→c 曲线上变化,增大c(SO) b→c 加入1×10-5 mol·L-1 Na SO 溶液(加水不行) 2 4 d→c 加入BaCl 固体(忽略溶液的体积变化) 2 c→a 曲线上变化,增大c(Ba2+) 曲线上方的点表示有沉淀生成;曲线下方的点表示不饱和溶液 1.在T ℃时,Ag CrO 在水中的沉淀溶解平衡曲线如图所示。下列说法正确的是( ) 2 4 A.T ℃时,Ag CrO 的K 数量级是10-9 2 4 sp B.T ℃时,Ag CrO(s)+2Cl-(aq)2AgCl(s)+CrO(aq)的平衡常数 K=2.5×107[T ℃时 2 4 K (AgCl)=2×10-10] sp C.T ℃时,用 0.01 mol·L-1 AgNO 溶液滴定 20 mL 0.01 mol·L-1 KCl 和 0.01 mol·L-1 3 KCrO 的混合液,CrO先沉淀 2 4 D.在饱和Ag CrO 溶液中加入KCrO 固体可使溶液由Y点到X点 2 4 2 4 答案 B 解析 K (Ag CrO)=c2(Ag+)·c(CrO)=(10-3)2×10-6=10-12,A 错误;在 T ℃时, sp 2 4 Ag CrO(s)+2Cl-(aq)2AgCl(s)+CrO(aq)的平衡常数K=====2.5×107,B正确;开 2 4 始生成AgCl沉淀时所需c(Ag+)== mol·L-1=2×10-8 mol·L-1,开始生成Ag CrO 沉淀时 2 4 所需c(Ag+)==mol·L-1=10-5 mol·L-1,故先析出氯化银沉淀,C错误;在Ag CrO 饱和溶 2 4 液中加入KCrO 固体,可使沉淀溶解平衡逆向移动,则溶液中 c(CrO)增大,c(Ag+)减小, 2 4 不可能由Y点到X点,D错误。2.FeAsO 在不同温度下的沉淀溶解平衡曲线如图所示(T>T)。下列说法不正确的是( ) 4 2 1 A.温度为T 时,K (FeAsO)=10-2a 2 sp 4 B.c(FeAsO):Z>W=X 4 C.FeAsO 的溶解过程吸收能量 4 D.将Z溶液升温一定可以得到Y溶液 答案 D 解析 温度为T 时,K (FeAsO)=c(Fe3+)·c(AsO)=10-a×10-a=10-2a,A正确;由于X点 2 sp 4 的c(Fe3+)和W点的c(AsO)均为10-a mol·L-1,故其对FeAsO 的沉淀溶解平衡起抑制作用, 4 且作用程度相同,而Z点Fe3+和AsO的浓度相等,无同离子的抑制作用,故c(FeAsO): 4 Z>W=X,B正确;由图可知,K (T)<K (T),升高温度,K 增大,故FeAsO 的溶解过程 sp 1 sp 2 sp 4 吸收能量,C正确;将Z溶液升温不一定得到Y溶液,若Z点溶液为刚刚饱和溶液,则升 高温度变为不饱和溶液,溶液中的Fe3+和AsO的浓度不变,故无法达到Y点溶液,若Z点 溶液为过饱和溶液则升高温度,溶液中的Fe3+和AsO的浓度增大,故可以达到Y点溶液, D错误。 类型三 沉淀滴定曲线 1.图像举例 沉淀滴定曲线是沉淀滴定过程中构成难溶电解质的离子浓度与滴定剂加入量之间的关系曲线。 用0.100 mol·L-1 AgNO 溶液滴定50.0 mL 0.050 0 mol·L-1含Cl-溶液的滴定曲线如图所示: 3 2.信息解读 (1)根据曲线数据计算可知K (AgCl)的数量级为________。 sp (2)滴定终点c点为饱和AgCl溶液,c(Ag+)________(填“>”“<”或“=”)c(Cl-)。 (3)相同实验条件下,若改为0.040 0 mol·L-1 Cl-,反应终点c向______(填“a”或“b”, 下同)方向移动。(4)相同实验条件下,若改为0.050 0 mol·L-1Br-,反应终点c向____方向移动。 答案 (1)10-10 (2)= (3)a (4)b 解析 (1)由题图可知,当AgNO 溶液的体积为40.0 mL时,溶液中的c(Cl-)=10-8 mol·L- 3 1,此时混合溶液中c(Ag+)=≈1.7×10-2 mol·L-1,故K (AgCl)=c(Ag+)·c(Cl-)=1.7×10- sp 2×10-8=1.7×10-10。 (3)根据 Ag++Cl-===AgCl↓可知,达到滴定终点时,消耗 AgNO 溶液的体积为=20.0 3 mL,反应终点c向a方向移动。 (4)相同实验条件下,沉淀相同量的 Cl-和 Br-消耗的 AgNO 的量相同,由于 3 K (AgBr)c(Br-)>c(I-)>c(Ag+) 答案 C 解析 根据三种沉淀的溶度积常数,三种离子沉淀的先后顺序为I-、Br-、Cl-,根据滴定 图示,当滴入4.50 mL硝酸银溶液时,Cl-恰好沉淀完全,此时共消耗硝酸银的物质的量为 4.50×10-3 L×0.100 mol·L-1=4.5×10-4 mol,所以Cl-、Br-和I-均为1.5×10-4 mol。I- 先沉淀,所以a点有黄色沉淀AgI生成,原溶液中I-的浓度为=0.010 mol·L-1,故A、B错 误;当Br-沉淀完全时(Br-浓度为1.0×10-5 mol·L-1),溶液中的c(Ag+)== mol·L-1= 5.4×10-8 mol·L-1,则此时溶液中的c(Cl-)== mol·L-1≈3.3×10-3 mol·L-1,原溶液中的 c(Cl-)=c(I-)=0.010 mol·L-1,则已经有部分Cl-沉淀,故C正确;b点加入了过量的硝酸银 溶液,Ag+浓度最大,故D错误。 类型四 对数曲线 1.对数[lg c(M+)—lg c(R-)]曲线:横、纵坐标分别为阳离子或阴离子的对数。 (1)图像举例 (2)信息解读 ①曲线上各点的意义:每条曲线上任一点都表示饱和溶液;曲线上方的任一点均表示过饱和 溶液(Q>K );曲线下方的任一点均表示不饱和溶液(QK (CuS),为过饱和溶液。 sp sp ②比较K 大小:K (ZnS)>K (CuS)。 sp sp sp 2.负对数[pc(M+)—pc(R-)]曲线:横、纵坐标分别为阳离子或阴离子的负对数。 (1)图像举例(2)信息解读 ①MgCO 、CaCO 、MnCO 的K 依次________(填“增大”或“减小”)。 3 3 3 sp ②a 点可表示 MnCO 的________(填“饱和”或“不饱和”,下同)溶液,c(Mn2 3 +)________(填“大于”“等于”或“小于”,下同)c(CO)。 ③b点可表示CaCO 的________溶液,且c(Ca2+)________c(CO)。 3 ④c点可表示MgCO 的________溶液,且c(Mg2+)________c(CO)。 3 答案 ①减小 ②饱和 等于 ③饱和 大于 ④不饱和 小于 1.(2023·全国甲卷,13)下图为Fe(OH) 、Al(OH) 和Cu(OH) 在水中达沉淀溶解平衡时的 3 3 2 pM-pH关系图(pM=-lg[c(M)/(mol·L-1)];c(M)≤10-5mol·L-1可认为M离子沉淀完全)。 下列叙述正确的是( ) A.由a点可求得K [Fe(OH) ]=10-8.5 sp 3 B.pH=4时Al(OH) 的溶解度为mol·L-1 3 C.浓度均为0.01 mol·L-1的Al3+和Fe3+可通过分步沉淀进行分离 D.Al3+、Cu2+混合溶液中c(Cu2+)=0.2 mol·L-1时二者不会同时沉淀 答案 C 解析 由点a(2,2.5)可知,此时pH=2,pOH=12,则K [Fe(OH) ]=c(Fe3+)·c3(OH-)=10- sp 3 2.5×(10-12)3=10-38.5,故A错误;pH=4时Al3+对应的pM=3,即c(Al3+)=10-3 mol·L-1, 故B错误;当铁离子完全沉淀时,铝离子尚未开始沉淀,可通过调节溶液 pH的方法分步沉 淀Fe3+和Al3+,故C正确;Cu2+刚要开始沉淀,此时c(Cu2+)=0.1 mol·L-1,若c(Cu2+)=0.2 mol·L-1,则对应的pM<1,由图像知,此时c(Al3+)>10-5 mol·L-1,则Al3+、Cu2+会同时沉 淀,故D错误。 2.(2023·全国乙卷,13)一定温度下,AgCl和Ag CrO 的沉淀溶解平衡曲线如图所示。 2 4下列说法正确的是( ) A.a点条件下能生成Ag CrO 沉淀,也能生成AgCl沉淀 2 4 B.b点时,c(Cl-)=c(CrO),K (AgCl)=K (Ag CrO) sp sp 2 4 C.Ag CrO+2Cl-2AgCl+CrO的平衡常数K=107.9 2 4 D.向NaCl、NaCrO 均为0.1 mol·L-1的混合溶液中滴加AgNO 溶液,先产生Ag CrO 沉淀 2 4 3 2 4 答案 C 解 析 a 点 在 两 曲 线 右 上 方 , 对 应 的 c(Ag + )·c(Cl - )K (CaCO),二者为同类型沉淀, sp 4 sp 3 硫酸钙的溶解度大于碳酸钙的溶解度,所以NaCO 溶液可将CaSO 转化为CaCO ,故D正 2 3 4 3 确。 3.常温下,取一定量的PbI 固体配成饱和溶液,t时刻改变某一条件,离子浓度变化如图所 2 示。下列有关说法正确的是( ) A.常温下,PbI 的K 为2×10-6 2 sp B.温度不变,向PbI 饱和溶液中加入少量硝酸铅浓溶液,平衡向左移动,Pb2+的浓度减小 2 C.温度不变,t时刻改变的条件可能是向溶液中加入了KI固体,PbI 的K 增大 2 sp D.常温下,K (PbS)=8×10-28,向PbI 的悬浊液中加入 NaS溶液,反应 PbI (s)+S2- sp 2 2 2 (aq)PbS(s)+2I-(aq)的平衡常数为5×1018 答案 D 解析 根据图像知,常温下平衡时溶液中 c(Pb2+)、c(I-)分别是1×10-3mol·L-1、2×10- 3mol·L-1,因此K (PbI )=c(Pb2+)·c2(I-)=4×10-9,A错误;PbI 饱和溶液中存在平衡: sp 2 2 PbI (s)Pb2+(aq)+2I-(aq),温度不变,向PbI 饱和溶液中加入少量硝酸铅浓溶液,Pb2+浓 2 2 度增大,平衡逆向移动,最终平衡时Pb2+浓度仍然比原平衡时大,B错误;根据图像知,t时刻改变的条件是增大I-的浓度,温度不变,PbI 的K 不变,C错误;反应PbI (s)+S2- 2 sp 2 (aq) PbS(s)+2I-(aq)的平衡常数K===5×1018,D正确。 4.T ℃时,向5 mL a mol·L-1 BaCl 溶液中逐滴加入0.1 mol·L-1 Na CO 溶液,滴加过程 2 2 3 中溶液的-lg c(Ba2+)与NaCO 溶液体积(V)的关系如图所示,下列说法正确的是[已知:lg 5 2 3 =0.7,K (BaSO)=1.0×10-10]( ) sp 4 A.A、B两点溶液中c(Ba2+)之比为2 000∶3 B.a=10-4.3 C.T ℃时,C点对应的含BaCO 的分散系很稳定 3 D.若用相同浓度的NaSO 溶液代替NaCO 溶液,则图像在A点后的变化曲线如虚线部分 2 4 2 3 答案 A 解析 由图可知,当未加入碳酸钠溶液时,V=0、-lg c(Ba2+)=1,则a=0.1,故B项错误; A点氯化钡溶液与碳酸钠溶液恰好完全反应,溶液中 c(Ba2+)=c(CO)=10-4.3 mol·L-1,则 K (BaCO)=c(Ba2+)·c(CO)=10-4.3×10-4.3=10-8.6,B点碳酸钠溶液过量,溶液中c(CO)== sp 3 mol·L-1,溶液中c(Ba2+)== mol·L-1=3×10-7.6 mol·L-1,则A、B两点溶液中c(Ba2+)之 比为,由lg 5=0.7可知,103.3=2 000,则=,故A项正确;由图可知,T ℃时,C点溶液 中离子积Q大于溶度积K ,能析出沉淀,分散系是不稳定的悬浊液,故C项错误;碳酸钡 sp 的溶度积K (BaCO)=1.0×10-8.6>K (BaSO)=10-10,则图中横坐标为5~10的曲线应该在 sp 3 sp 4 实线的上面,故D项错误。 5.硫化镉(CdS)是一种难溶于水的黄色颜料,在水溶液中存在沉淀溶解平衡:CdS(s)Cd2 +(aq)+S2-(aq) ΔH>0,其沉淀溶解平衡曲线如图所示。下列说法错误的是( ) A.图中温度TfC.室温下,溶解度:S(AgA)1 mol·L-1,溶液pH>14,由图可知体系 中元素M主要以M(OH)存在,D错误。 10.常温下,向20 mL 0.1 mol·L-1 HS溶液中缓慢加入少量MSO 粉末(已知MS难溶,忽 2 4 略溶液体积变化),溶液中 c(H+)与c(M2+)变化如图所示(坐标未按比例画出),已知: K (H S)=1.0×10-9,K (H S)=1.0×10-13。下列有关说法正确的是( ) a1 2 a2 2 A.a点溶液中c(H+)约为10-5 mol·L-1 B.a、b、c三点中由水电离的c(H+)最大的是c点 C.K (MS)的数量级为10-20 sp D.c点溶液中c(H S)+c(HS-)+c(S2-)=0.1 mol·L-1 2 答案 A解析 由K (H S)= ≈=1.0×10-9,解得c(H+)=10-5 mol·L-1,故A正确;根据化学反应 a1 2 HS+MSO ===MS↓+ HSO 可知,随着反应进行HSO 浓度逐渐增大,对水的电离的抑制 2 4 2 4 2 4 作用逐渐增强,所以a、b、c三点中a点氢离子浓度最小,由水电离的c(H+)最大,故B错误; K (H S)×K (H S)= =1.0×10-22, 结合 b 点数据,c(H+)=0.1 mol·L-1,c(M2+)=0.002 a1 2 a2 2 mol·L-1,此时溶液中c(H S)≈0.05 mol·L-1,解得c(S2-)=5×10-22 mol·L-1,K (MS)= 2 sp c(M2+)·c(S2-)=0.002×5×10-22=1×10-24,所以K (MS)的数量级为10-24,故C错误;根 sp 据元素守恒可知,c点MS沉淀中也有S元素,故 D错误。 11.(2021·全国乙卷,13)HA是一元弱酸,难溶盐MA的饱和溶液中c(M+)随c(H+)而变化, M+不发生水解。实验发现,298 K时c2(M+)~c(H+)为线性关系,如图中实线所示。 下列叙述错误的是( ) A.溶液pH=4时,c(M+)<3.0×10-4 mol·L-1 B.MA的溶度积K (MA)=5.0×10-8 sp C.溶液pH=7时,c(M+)+c(H+)=c(A-)+c(OH-) D.HA的电离常数K(HA)=2.0×10-4 a 答案 C 解析 由图可知pH=4,即c(H+)=10×10-5 mol·L-1时,c2(M+)=7.5×10-8 mol2·L-2, c(M+)=×10-4 mol·L-1<3.0×10-4 mol·L-1,A正确;由图可知,c(H+)=0时,可看作溶液 中有较大浓度的OH-,此时A-的水解极大地被抑制,溶液中c(M+)=c(A-),则K (MA)= sp c(M+)·c(A-)=c2(M+)=5.0×10-8,B正确;MA饱和溶液中,M+不发生水解,A-水解使溶 液呈碱性,若使pH=7,需加入酸,会引入其他阴离子,此时c(M+)+c(H+)≠c(A-)+c(OH -),C错误;K(HA)=,当c(A-)=c(HA)时,由元素守恒知c(A-)+c(HA)=c(M+),则c(A a -)=,K (MA)=c(M+)·c(A-)==5.0×10-8,则c2(M+)=10×10-8 mol2·L-2,对应图得此时 sp 溶液中c(H+)=2.0×10-4 mol·L-1,K(HA)==2.0×10-4,D正确。 a 12.在湿法炼锌的电解循环溶液中,较高浓度的Cl-会腐蚀阳极板而增大电解能耗。可向溶液 中同时加入Cu和CuSO ,生成CuCl沉淀从而除去Cl-。根据溶液中平衡时相关离子浓度的 4 关系图,下列说法错误的是( )A.K (CuCl)的数量级为10-7 sp B.除Cl-的反应为Cu+Cu2++2Cl-===2CuCl C.加入Cu越多,Cu+浓度越高,除去Cl-的效果越好 D.2Cu+(aq) Cu2+(aq)+Cu(s)平衡常数很大,反应趋于完全 答案 C 解析 A项,根据CuCl(s)Cu+(aq)+Cl-(aq)可知K (CuCl)=c(Cu+)·c(Cl-),由图像可知, sp 选择一个坐标点(1.75,-5),则K (CuCl)的数量级为10-7,正确;B项,由题干中“可向溶 sp 液中同时加入Cu和CuSO ,生成CuCl沉淀从而除去Cl-”可知Cu、Cu2+与Cl― 可以发生 4 反应生成CuCl沉淀,正确;C项,Cu(s)+Cu2+(aq)2Cu+(aq),固体对平衡无影响,故增 加固体Cu的量,平衡不移动,错误;D项,2Cu+(aq)Cu(s)+Cu2+(aq),反应的平衡常数 K=,从图中两条曲线上任取横坐标相同的c(Cu2+)、c(Cu+)两点代入计算可得K≈106,反应 的平衡常数较大,反应趋于完全,正确。 13.天然溶洞的形成与水体中含碳物种的浓度有密切关系。已知常温下 K (CaCO)=10- sp 3 8.7,某溶洞水体中lg c(X)(X为HCO、CO或Ca2+)与pH变化的关系如图所示。下列说法错 误的是( ) A.曲线②代表CO B.K (H CO)的数量级为10-11 a2 2 3 C.a=-4.35,b=-2.75 D.pH=10.3时,c(Ca2+)=10-7.6 mol·L-1 答案 C 解析 根据图像可知:横坐标代表pH,随着pH增大,溶液碱性增强,c(HCO)、c(CO)增大, 先生成HCO,再生成CO,所以曲线①代表HCO,曲线②代表CO,因为碳酸钙是难溶物, 因此随着c(CO)增大,溶液中c(Ca2+ )减小,推出曲线③代表Ca2+,A正确;电离平衡常数 只受温度的影响,曲线①和②的交点代表c(HCO)=c(CO),即K ==10-10.3,故K (H CO) a2 a2 2 3 的数量级为10-11,B正确;曲线②和③的交点代表c(CO)=c(Ca2+),根据K (CaCO)= sp 3c(CO)·c(Ca2+)=10-8.7,则c(CO)== mol·L-1=10-4.35 mol·L-1,即a=-4.35;根据电离平 衡常数K =,c(HCO)== mol·L-1=10-2.65 mol·L-1,即b=-2.65,C错误;当pH=10.3 a2 时,c(CO)=10-1.1 mol·L-1,c(Ca2+)== mol·L-1=10-7.6 mol·L-1,D正确。 14.(2023·山西运城高三联考)工业中利用锂辉石(主要成分为 LiAlSi O ,还含有 FeO、 2 6 CaO、MgO等)制备钴酸锂(LiCoO )的流程如下: 2 已知:部分金属氢氧化物的pK (pK =-lg K )的柱状图如图所示。 sp sp sp 回答下列问题: (1)锂辉石的主要成分为LiAlSi O,其氧化物的形式为________。 2 6 (2)为提高“酸化焙烧”效率,常采取的措施是_______________________________。 (3)向浸出液中加入CaCO ,其目的是除去“酸化焙烧”中过量的硫酸,控制pH使Fe3+、 3 Al3+完全沉淀,则pH至少为________ (已知:完全沉淀后离子浓度低于1×10-5 mol·L-1)。 (4)“滤渣2”的主要化学成分为 ________。 (5)“沉锂”过程中加入的沉淀剂为饱和的 ____________(填化学式)溶液;该过程所获得的 “母液”中仍含有大量的Li+,可将其加入到“ ___________”步骤中。 (6)Li CO 与Co O 在敞口容器中高温下焙烧生成钴酸锂的化学方程式为_________ 2 3 3 4 ________________________________________________________________________。 答案 (1)Li O·Al O·4SiO (2) 将矿石粉碎(搅拌、升高温度等) (3)4.7 2 2 3 2 (4)Mg(OH) 、CaCO (5)Na CO(或其他合理答案) 净化 (6)6Li CO +4Co O + 2 3 2 3 2 3 3 4 O=====12LiCoO +6CO 2 2 2 解析 (3)根据柱状图分析可知,Al(OH) 的K 大于Fe(OH) 的,那么使Al3+完全沉淀的pH 3 sp 3 大于Fe3+的,Al(OH) 的K =1×10-33,c(OH-)= mol·L-1≈1×10-9.3 mol·L-1,c(H+)= 3 sp 1×10-4.7 mol·L-1,pH=4.7,即pH至少为4.7。(4)“净化”步骤是尽最大可能除去杂质离子,如Mg2+、Ca2+等,结合加入物质Ca(OH) 、NaCO,可以推出“滤渣2”的主要成分为 2 2 3 Mg(OH) 、CaCO 。(5)根据“沉锂”后形成LiCO 固体,以及大量生产的价格问题,该过程 2 3 2 3 中加入的沉淀剂最佳答案为饱和的NaCO 溶液。 2 3