当前位置:首页>文档>重难点4-1平面向量的最值与范围(4题型+满分技巧+限时检测)(解析版)_2.2025数学总复习_2024年新高考资料_3.2024专项复习_2024年高考数学热点·重点·难点专练(新高考专用)

重难点4-1平面向量的最值与范围(4题型+满分技巧+限时检测)(解析版)_2.2025数学总复习_2024年新高考资料_3.2024专项复习_2024年高考数学热点·重点·难点专练(新高考专用)

  • 2026-04-01 10:39:12 2026-03-28 14:49:31

文档预览

重难点4-1平面向量的最值与范围(4题型+满分技巧+限时检测)(解析版)_2.2025数学总复习_2024年新高考资料_3.2024专项复习_2024年高考数学热点·重点·难点专练(新高考专用)
重难点4-1平面向量的最值与范围(4题型+满分技巧+限时检测)(解析版)_2.2025数学总复习_2024年新高考资料_3.2024专项复习_2024年高考数学热点·重点·难点专练(新高考专用)
重难点4-1平面向量的最值与范围(4题型+满分技巧+限时检测)(解析版)_2.2025数学总复习_2024年新高考资料_3.2024专项复习_2024年高考数学热点·重点·难点专练(新高考专用)
重难点4-1平面向量的最值与范围(4题型+满分技巧+限时检测)(解析版)_2.2025数学总复习_2024年新高考资料_3.2024专项复习_2024年高考数学热点·重点·难点专练(新高考专用)
重难点4-1平面向量的最值与范围(4题型+满分技巧+限时检测)(解析版)_2.2025数学总复习_2024年新高考资料_3.2024专项复习_2024年高考数学热点·重点·难点专练(新高考专用)
重难点4-1平面向量的最值与范围(4题型+满分技巧+限时检测)(解析版)_2.2025数学总复习_2024年新高考资料_3.2024专项复习_2024年高考数学热点·重点·难点专练(新高考专用)
重难点4-1平面向量的最值与范围(4题型+满分技巧+限时检测)(解析版)_2.2025数学总复习_2024年新高考资料_3.2024专项复习_2024年高考数学热点·重点·难点专练(新高考专用)
重难点4-1平面向量的最值与范围(4题型+满分技巧+限时检测)(解析版)_2.2025数学总复习_2024年新高考资料_3.2024专项复习_2024年高考数学热点·重点·难点专练(新高考专用)
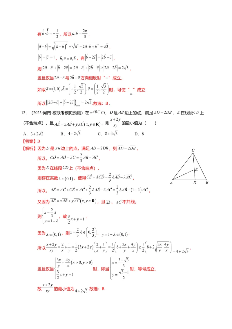
重难点4-1平面向量的最值与范围(4题型+满分技巧+限时检测)(解析版)_2.2025数学总复习_2024年新高考资料_3.2024专项复习_2024年高考数学热点·重点·难点专练(新高考专用)
重难点4-1平面向量的最值与范围(4题型+满分技巧+限时检测)(解析版)_2.2025数学总复习_2024年新高考资料_3.2024专项复习_2024年高考数学热点·重点·难点专练(新高考专用)
重难点4-1平面向量的最值与范围(4题型+满分技巧+限时检测)(解析版)_2.2025数学总复习_2024年新高考资料_3.2024专项复习_2024年高考数学热点·重点·难点专练(新高考专用)
重难点4-1平面向量的最值与范围(4题型+满分技巧+限时检测)(解析版)_2.2025数学总复习_2024年新高考资料_3.2024专项复习_2024年高考数学热点·重点·难点专练(新高考专用)
重难点4-1平面向量的最值与范围(4题型+满分技巧+限时检测)(解析版)_2.2025数学总复习_2024年新高考资料_3.2024专项复习_2024年高考数学热点·重点·难点专练(新高考专用)
重难点4-1平面向量的最值与范围(4题型+满分技巧+限时检测)(解析版)_2.2025数学总复习_2024年新高考资料_3.2024专项复习_2024年高考数学热点·重点·难点专练(新高考专用)
重难点4-1平面向量的最值与范围(4题型+满分技巧+限时检测)(解析版)_2.2025数学总复习_2024年新高考资料_3.2024专项复习_2024年高考数学热点·重点·难点专练(新高考专用)
重难点4-1平面向量的最值与范围(4题型+满分技巧+限时检测)(解析版)_2.2025数学总复习_2024年新高考资料_3.2024专项复习_2024年高考数学热点·重点·难点专练(新高考专用)
重难点4-1平面向量的最值与范围(4题型+满分技巧+限时检测)(解析版)_2.2025数学总复习_2024年新高考资料_3.2024专项复习_2024年高考数学热点·重点·难点专练(新高考专用)
重难点4-1平面向量的最值与范围(4题型+满分技巧+限时检测)(解析版)_2.2025数学总复习_2024年新高考资料_3.2024专项复习_2024年高考数学热点·重点·难点专练(新高考专用)
重难点4-1平面向量的最值与范围(4题型+满分技巧+限时检测)(解析版)_2.2025数学总复习_2024年新高考资料_3.2024专项复习_2024年高考数学热点·重点·难点专练(新高考专用)
重难点4-1平面向量的最值与范围(4题型+满分技巧+限时检测)(解析版)_2.2025数学总复习_2024年新高考资料_3.2024专项复习_2024年高考数学热点·重点·难点专练(新高考专用)
重难点4-1平面向量的最值与范围(4题型+满分技巧+限时检测)(解析版)_2.2025数学总复习_2024年新高考资料_3.2024专项复习_2024年高考数学热点·重点·难点专练(新高考专用)
重难点4-1平面向量的最值与范围(4题型+满分技巧+限时检测)(解析版)_2.2025数学总复习_2024年新高考资料_3.2024专项复习_2024年高考数学热点·重点·难点专练(新高考专用)
重难点4-1平面向量的最值与范围(4题型+满分技巧+限时检测)(解析版)_2.2025数学总复习_2024年新高考资料_3.2024专项复习_2024年高考数学热点·重点·难点专练(新高考专用)
重难点4-1平面向量的最值与范围(4题型+满分技巧+限时检测)(解析版)_2.2025数学总复习_2024年新高考资料_3.2024专项复习_2024年高考数学热点·重点·难点专练(新高考专用)
重难点4-1平面向量的最值与范围(4题型+满分技巧+限时检测)(解析版)_2.2025数学总复习_2024年新高考资料_3.2024专项复习_2024年高考数学热点·重点·难点专练(新高考专用)
重难点4-1平面向量的最值与范围(4题型+满分技巧+限时检测)(解析版)_2.2025数学总复习_2024年新高考资料_3.2024专项复习_2024年高考数学热点·重点·难点专练(新高考专用)
重难点4-1平面向量的最值与范围(4题型+满分技巧+限时检测)(解析版)_2.2025数学总复习_2024年新高考资料_3.2024专项复习_2024年高考数学热点·重点·难点专练(新高考专用)
重难点4-1平面向量的最值与范围(4题型+满分技巧+限时检测)(解析版)_2.2025数学总复习_2024年新高考资料_3.2024专项复习_2024年高考数学热点·重点·难点专练(新高考专用)

文档信息

文档格式
docx
文档大小
1.883 MB
文档页数
24 页
上传时间
2026-03-28 14:49:31

文档内容

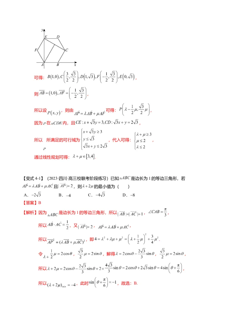
重难点 4-1 平面向量的最值与范围 平面向量中的最值范围问题是向量问题中的重难点,也是近几年新高考数学的热点问题。常以选择填空题 的形式出现,难度稍大,方法灵活。主要考查向量数量积的最值、系数的最值、模长和夹角的最值。在复 习过程中要注重对基本方法的训练,把握好类型题的一般解法。 【题型1 向量数量积的最值与范围】 满分技巧 数量积的最值范围处理方法: (1)运用平面向量基本定理,将数量积的两个向量用基底表示后,再运算; (2)建立坐标系,利用向量的坐标运算转化为函数来处理; (3)利用极化恒等式来处理。 【例1】(2023·江苏连云港·高三统考期中)设 , , 都是单位向量,且 与 的夹角为60°,则 的最大值为( ) A. B. C. D. 【答案】D 【解析】设 , , ,则 所以 ,故选:D. 【变式1-1】(2023·辽宁·高三校联考期中)已知正方形 的边长为 , 在边 上,则 的最大值为( ) A.1 B. C.2 D.【答案】C 【解析】由题意,建立如图所示坐标系, 则 , , , 设 , ,则 , , , 所以 , 所以 , 故当 时, 有最大值 .故选:C. 【变式1-2】(2024·陕西咸阳·校考模拟预测)如图,在等腰梯形 中, 是线段 上一点,且 ,动点 在以 为圆心,1为半径的圆上,则 的最大值为( ) A. B. C. D. 【答案】C 【解析】过点 作 ,垂足为 , 以 为坐标原点,建立如图所示的平面直角坐标系, 则 , 则 , 其中 , , 当 ,即 同向时, 取最大值 , 所以 的最大值为 .故选:C. 【变式1-3】(2023·山东·五莲县第一中学校联考模拟预测)已知 是半径为2的圆上的三个动点, 弦 所对的圆心角为 ,则 的最大值为( ) A.6 B.3 C. D. 【答案】A【解析】因为弦 所对的圆心角为 ,且圆的半径为2,所以 , 取 的中点 ,所以 , ,如图所示: 因为 , 因为 是 的中点,所以 , , 所以若 最大,所以只需 最大,所以 , 所以 .故选:A 【变式1-4】(2024·全国·高三专题练习)已知过点 且与圆 相切的两条直线的夹角为 ,再过点 作直线 与圆 交于 两点,则 的最大值为( ) A.0 B.8 C. D.16 【答案】B 【解析】如图,设过点 作圆 的两条切线的切点为 , 因为 ,所以 . 因为圆C的方程可化为 , 所以 , . 所以点P的轨迹是以 为圆心, 为半径的圆. 如图,设MN的中点为H,则 , 所以 . 因为 ,所以当 时, 的值最大,最大值为8.故选:B. 【题型2 向量模长的最值与范围】满分技巧 处理平面向量的模长范围问题,常用的方法有: (1)坐标法:即通过建立直角坐标系,通过向量坐标运算求得; (2)基向量表示法:即通过选设平面的基底,用基底表示相关向量,运算求得; (3)构造几何图形法:即根据模长定值构造圆形,由向量点乘等于零得到两向量垂直. 【例2】(2023·云南昆明·高三统考期中)向量 在向量 上的投影向量为 ,则 的最大值为 . 【答案】 【解析】依题意,根据投影向量的定义有: , 则 ,即 , 又 ,所以 , 所以当 取最大值时, 有最大值, 又 ,所以 . 【变式2-1】(2024·江西抚州·高三金溪一中校考阶段练习)已知非零向量 , 满足 , ,则 的最大值为 A. B. C. D.5 【答案】A 【解析】 ,由 ,则有 , 又 ,即 , 令 , 则 ,故选:A. 【变式2-2】(2024·北京朝阳·高三统考期末)在 中, ,当 时, 的最小值为 .若 , ,其中 ,则 的最大值为( ) A. B. C. D. 【答案】C 【解析】如下图所示: 在直线 上取一点 ,使得 ,所以 , 当 时, 取得最小值为 ,即 ; 又 ,所以可得 是以 为顶点的等腰直角三角形, 建立以 为坐标原点的平面直角坐标系,如下图所示: 又 可得 为 的中点, 由 以及 可得 在 上, 可得 , 所以 ,可得 , 则 , 令 ,由 可得 , 所以 , , 由二次函数 在 上单调递增可得, .故选:C 【变式2-3】(2023·重庆沙坪坝·高三重庆一中校考阶段练习)已知 , , ,, ,则 的最大值为( ) A. B.4 C. D. 【答案】A 【解析】如图所示: 不妨设 , 满足 , , , 又 ,即 , 由椭圆的定义可知点 在以 为焦点,长轴长为4的椭圆上运动, , 所以该椭圆方程为 , 而 ,即 ,即 , 这表明了点 在圆 上面运动,其中点 为圆心, 为半径, 又 ,等号成立当且仅当 三点共线, 故只需求 的最大值即可, 因为点 在椭圆上面运动,所以不妨设 , 所以 , 所以当 且 三点共线时, 有最大值 .故选:A. 【变式2-4】(2023·全国·高三专题练习)已知平面向量 , , 满足 , , ,且 ,则 的取值范围是( ) A. B. C. , D. , 【答案】A 【解析】设 , , ,设 , , , 所以 , 所以 , 设 , , , 则 ,其中 ,所以 , 所以 , ,故 , , 所以 , ,即 , .故选: 【题型3 向量夹角的的最值与范围】 满分技巧 求两个非零向量夹角的步骤 第一步:由坐标运算或定义计算出这两个向量的数量积; 第二步:分别求出这两个向量的模; 第三步:根据公式 求解出这两个向量夹角的余弦值; 第四步:根据两个向量夹角的范围是 及其夹角的余弦值,求出这两个向量的夹角。 【例3】(2023·高三课时练习)已知向量 、 满足 , ,且 ,则 与 的夹角的取值范 围是 . 【答案】 【解析】因为 , ,且 ,则有 , 因此 ,而 ,余弦函数 在 上单调递减,即有 , 所以 与 的夹角的取值范围是 . 【变式3-1】(2023·广东清远·高三校联考阶段练习)已知单位向量 ,若对任意实数x, 恒成立,则向量 的夹角的取值范围为( ) A. B. C. D. 【答案】A 【解析】设向量 的夹角为θ,因为 ,所以 , 则 ,即 恒成立. 所以 ,解得 , 故 的夹角的取值范围是 .故选:A. 【变式3-2】(2022·重庆沙坪坝·高三凤鸣山中学校考期中)若平面向量 , , 满足 , , , ,则 , 夹角的取值范围是( ) A. B. C. D. 【答案】C 【解析】设 , , ,以O为原点, 方向为x轴正方向建立平面直角坐标系, , , , , , 三者直接各自的夹角都为锐角, , , , , ,即 在 上的投影为1, 在 上的投影为3, , ,如图 , 即 ,且 则 ,由基本不等式得 , , 与 的夹角为锐角, , 由余弦函数可得: 与 夹角的取值范围是 ,故选:C. 【变式3-3】(2023·山东菏泽·高三菏泽一中校考阶段练习)已知向量 ,满足 ,若对任意 模为 的向量 ,均有 ,则向量 的夹角的取值范围为 . 【答案】 【解析】由 ,若对任意模为 的向量 ,均有 , 由三角不等式得, ,因为向量 为任意模为 的向量, 所以当向量 与向量 夹角为 时,上式也成立,设向量 的夹角为 . , , 平方得到 ,即 , 则 ,即 ,即 , 同时 ,所以 , 平方得到 ,即 , 解得 ,即 , , 综上 ,又因为 ,即 , 向量 的夹角的取值范围 . 【变式3-4】(2023·上海·高三大同中学校考期中)已知A,B是平面内两个定点,且 ,点集 .若M, ,则向量 、 夹角的余弦值的取值范围是 . 【答案】 【解析】因为 ,点集 , 当 时,过 作 于 ,延长 于 ,使得 , 则可知点 在线段 上运动.因为 ,根据数量积的几何含义可知, 在 上的投影为3,即 , 又因为M, ,则 为线段 上的两个点, 所以 、 夹角最小为 ,最大为 的二倍, 所以 、 夹角为 ,则 最大为1, 最小为 所以范围为 . 【题型4 向量系数的最值与范围】 满分技巧 此类问题一般要利用共线向量定理或平面向量基本定理寻找系数之间的关系,然后利用函数的性质或基 本不等式求解。 (1)平面向量共线定理:已知 ,若 三点共线,反之亦然; (2)等和线:平面内一组基底 , 及任一向量 , ,若点 在直 线 上或者在平行于 的直线上,则 (定值),反之也成立。我们把直线 以及与直线 平行的直线称为等和线。 ** 错误的表达式 **当等和线恰为直线 时, ; ** 错误的表达式 **当等和线在 点和直线 直线时, ; ** 错误的表达式 **当直线 在点 和等和线之间时, ; ** 错误的表达式 **当等和线过 点时, ; ** 错误的表达式 **若两等和线关于 点对称,则定值 互为相反数。 【例4】(2023·全国·高三专题练习)在正六边形 中,点 是 内(包括边界)的一个动点, 设 ,则 的取值范围是( ) A. B. C. D. 【答案】D 【解析】因为 为动点,所以不容易利用数量积来得到 的关系, 因为六边形为正六边形,所以建立坐标系各个点的坐标易于确定,可得: , 则 , 所以设 ,则由 可得: , 因为 在 内,且 , 所以 所满足的可行域为 ,代入可得: , 通过线性规划可得: . 【变式4-1】(2023·四川·高三校联考阶段练习)已知 是边长为1的等边三角形,若 且 ,则 的最小值为( ) A. B. C. D. 【答案】B 【解析】因为 是边长为1的等边三角形,所以 , , 所以 ,又 , , 所以 ,即 . 令 , ,解得 , , 所以 , 所以 ,此时 ,故选:B.【变式4-2】(2023·湖南长沙·高三湖南师大附中校考阶段练习) 中, 为 上一点且满足 ,若 为 上一点,且满足 为正实数,则下列结论正确的是( ) A. 的最小值为 B. 的最大值为1 C. 的最小值为4 D. 的最大值为16 【答案】C 【解析】 为正实数, , ,而 共线, , 当且仅当 时,结合 ,即 时取等号,A,B错误; , 当且仅当 ,即 ,即 时取等号,即 的最小值为4,C正确; 又 ,由于 为正实数, ,则 , 则 , 时 取最大值 , 当 趋近于0时, 可无限趋近于0, 故 ,故 无最大值,D错误,故选:C. 【变式4-3】(2023·湖北·高三随州市曾都区第一中学校联考期中)在 中, , 是线段 上的动点(与端点不重合),设 ,则 的最小值是( ) A.3 B.1 C.2 D.4 【答案】D【解析】因为 ,所以 , 因为 ,所以 , 因为 三点共线,所以 , , 所以 , 当且仅当 ,即 、 时取等号, 所以 的最小值是 .故选:D 【变式4-4】(2023·山东·高三省实验中学校考阶段练习)已知 , , 均为单位向量,满足 , , , ,则 的最小值为( ) A. B. C. D.-1 【答案】B 【解析】 ,所以 , 根据 , ,则 , , 如图,建立平面直角坐标系,设 , , , , 由 ,可知, , 得 , , ,其中 ,所以 , 则 , 所以当 时,所以 的最小值是 .故选:B (建议用时:60分钟) 1.(2023·陕西榆林·高三榆林市第一中学校联考阶段练习)已知非零向量 , 满足 ,且 , 则 的最小值为( ) A.2 B. C. D.1 【答案】B 【解析】因为 , 所以 ,当且仅当 时,等号成立.故选:B 2.(2023·江西·高三校联考阶段练习)已知向量 , 满足 , ,则 的最大值为 ( ) A. B.2 C. D.4 【答案】D 【解析】因为 ,所以 , 即 ,整理得 , 又 ,所以 ,即 , 所以 ,即 ,又 , 所以当 与 反向时, 取得最大值,且最大值为 .故选:D. 3.(2023·宁夏石嘴山·高三平罗中学校考阶段练习)已知平面向量 , 均为单位向量,且 , ,则 的最大值是( ) A. B. C. D. 【答案】C 【解析】依题意平面向量 , 均为单位向量,且 ,建立如图所示平面直角坐标系,设 , 设 ,由 , 所以点 在以原点为圆心,半径为 的圆上, 表示以原点为圆心, 半径为 的圆上的点 与点 的距离, 所以,根据圆的几何性质可知: 的最大值是 , 其中 是点 与原点的距离.故选:C 4.(2023·江苏南通·高三统考期中)在四边形 中, , ,则 的最 大值为( ) A.3 B.4 C.5 D.6 【答案】C 【解析】设 ,则 , , 因为 ,所以 , 故 ,所以 , 即 的最大值为 .故选:C 5.(2023·江苏镇江·高三校考阶段练习)在平面直角坐标系中, 为坐标原点, , ,点 满足 ,则 的最大值为( ) A. B. C. D. 【答案】A 【解析】设点 , 由 ,得 ,解得 , 即点 轨迹为圆心为 ,半径为 的圆, 可设 , 为任意角,则 , , 所以 , 所以当 时, 最大,且为 .故选:A 6.(2023·福建莆田·高三莆田第十中学校考期中)如图,在等腰直角三角形 中,斜边 , 为线段 上的动点(包含端点), 为 的中点.将线段 绕着点 旋转得到线段 ,则 的最小值为( ) A. B. C. D. 【答案】C 【解析】连接 , 则 , , 当 时, 最小,可求得 , 结合 ,得 的最小值为 ,故选: 7.(2022·黑龙江哈尔滨·高三哈尔滨德强学校校考阶段练习)如图,在平面四边形ABCD, , , , .若点E为边 上的动点,则 的取值范围为( ) A. B. C. D. 【答案】A 【解析】∵ ,因为 , , ,所以 , 连接 ,因为 , 所以 ≌ ,所以 , 所以 ,则 , 设 ,则 , ∴ , , , , 所以 , 因为 ,所以 .故选:A. 8.(2023·天津东丽·高三天津市第一百中学校考阶段练习)如图, 是由三个全等的钝角三角形和一 个小的正三角形拼成一个大的正三角形,若 , ,点M为线段 上的动点,则 的最大值为( ) A. B. C.6 D.10 【答案】D 【解析】根据题意可得, , 所以 , 又因为 , 所以 , , 设 ,则 , 所以 , , 所以 ,令 , 当 单调递增, 单调递减, 当 , 取最大值为 .故选:D 9.(2023·陕西宝鸡·校联考模拟预测)已知点A,B,C在圆 上运动,且 ,若点P的 坐标为 ,则 的最大值为( ) A.7 B.12 C.14 D.11 【答案】D 【解析】如图所示:因为 ,所以AC为圆的直径, 又 ,则 , 设 ,则 , 所以 , 所以 , 当 时,等号成立,故选:D 10.(2024·湖南娄底·高三统考期末)已知平面非零向量 的夹角为 ,且满足 ,则 的最小值为( ) A. B.12 C. D.24 【答案】D 【解析】由已知非零向量 的夹角为 ,所以 , 由 ,两边平方得 当且仅当 时等号成立,所以 , 所以 的最小值为24.故选:D. 11.(2024·全国·模拟预测)已知 为单位向量,且 ,则 的最小值为( ) A.2 B. C.4 D.6 【答案】B 【解析】 为单位向量,有 ,得 , 由 ,得 ,有 ,所以 , , , ,有 , 则 , 当且仅当 与 方向相反时“ ”成立, 如取 时,可使“ ”成立. 所以 .故选:B. 12.(2023·河南·校联考模拟预测)在 中, 是 边上的点,满足 , 在线段 上 (不含端点),且 ,则 的最小值为( ) A. B. C. D.8 【答案】B 【解析】因为 是 边上的点,满足 ,则 , 所以, , 因为 在线段 上(不含端点), 则存在实数 ,使得 , 所以, , 又因为 ,且 、 不共线, 则 ,故 , 因为 ,则 , , 所以 , 当且仅当 时,即当 时,等号成立, 故 的最小值为 .故选:B.13.(2023·福建宁德·统考模拟预测)在平面直角坐标系 中,点 为圆 上的任一点, .若 ,则 的最大值为( ) A. B.2 C. D. 【答案】C 【解析】由已知可设 ,则 , 又 ,因为 , 所以 ,即 , 所以 ,其中 , 当 时, 有最大值为 .故选:C. 14.(2022·江苏南通·高三开学考试)在 中, , ,过 的外心O的直线(不 经过点 )分别交线段 于 ,且 , ,则 的取值范围是( ) A. B. C. D. 【答案】B 【解析】因为 中, , 由余弦定理可得 , 即 ,且 , 设 ,则 , , 所以 , 同理可得 , , 解得 ,所以 , 又因为 , ,所以 , 因为 三点共线,可得 , 因为 ,所以 ,所以 , 同理可得 ,所以所以 , 设 ,可得 , 令 ,可得 ,令 ,解得 , 当 时, , 单调递减; 当 时, , 单调递增, 所以当 时, 取得最小值,最小值为 ; 又由 , ,可得 , 所以当 时, 取得最大值,最大值为 , 所以 的取值范围是 . 故选:B. 15.(2023·四川南充·阆中中学校考一模)圆O是边长为 的等边三角形ABC的内切圆,其与BC边相 切于点D,点M圆上任意一点, (x, ),则 的最大值为( ) A. B.2 C. D. 【答案】B 【解析】以D点为原点,BC所在直线为x轴,AD所在直线为y轴,建立坐标系, 因为圆O是边长为 的等边三角形ABC的内切圆, 所以 ,即内切圆的圆心为 ,半径为1, 可设 ,又 , ∴ , , ∴ , 故得到 ,∴ , ∴ , 当 时等号成立,即 的最大值为2.故选:B. 16.(2023·河北·统考模拟预测)设向量 满足 , ,若存在实数 , ,则向量 与 的夹角的取值范围为 . 【答案】 【解析】设向量 与 的夹角为 , 由 ,利用平面向量的数量积可得 , 即存在实数 ,使 成立, 于是 ,即 , 所以 , 所以向量 与 的夹角的取值范围 . 17.(2023·山东聊城·高三校考期中)已知 是边长为 的正三角形,点 为平面内一点,且 , 则 的取值范围是 . 【答案】 【解析】以 中点 为坐标原点, 正方向为 轴,可建立如图所示平面直角坐标系, 则 , , , , 点轨迹是以 为圆心, 为半径的圆, 点轨迹方程为: ,不妨设 , , , , ,, , 即 的取值范围为 . 18.(2023·上海黄浦·高三格致中学校考开学考试)如图,正六边形的边长为2,圆 的圆心为正六形的中 心,半径为1,若点 在正六边形的边上运动,动点 在圆 上运动且关于圆心 对称,则 的 取值范围是 . 【答案】 【解析】正六边形的边长为2,则其半径为2,边心距为 , 则正六边形边上的点 到其中心 的距离 , 因此 , 所以 的取值范围是 . 19.(2023·全国·高三专题练习)已知向量 满足 ,若 的最大值为1, 的取值范围为 . 【答案】 【解析】设向量 的夹角为θ,则 ;又 , 所以 ,所以 , 所以 , 又 ,所以 ,所以 的取值范围是 . 20.(2023·湖北荆州·高三沙市中学校考阶段练习)若正方形 边长为 ,点 为其内切圆上的动点, ,则 的取值范围是 . 【答案】【解析】以正方体的中心为原点,建立如图所示的平面直角坐标系, 因为正方体的棱长为 ,可得 , 又由正方形的内切圆的方程为 , 设点 的坐标为 , 则 , , 因为 ,可得 , 所以 ,可得 , 因为 ,所以 .