当前位置:首页>文档>黄金卷01-赢在高考·黄金8卷备战2024年高考数学模拟卷(北京专用)(参考答案)_2.2025数学总复习_2024年新高考资料_4.2024高考模拟预测试卷

黄金卷01-赢在高考·黄金8卷备战2024年高考数学模拟卷(北京专用)(参考答案)_2.2025数学总复习_2024年新高考资料_4.2024高考模拟预测试卷

  • 2026-04-01 01:14:29 2026-03-29 06:29:16

文档预览

黄金卷01-赢在高考·黄金8卷备战2024年高考数学模拟卷(北京专用)(参考答案)_2.2025数学总复习_2024年新高考资料_4.2024高考模拟预测试卷
黄金卷01-赢在高考·黄金8卷备战2024年高考数学模拟卷(北京专用)(参考答案)_2.2025数学总复习_2024年新高考资料_4.2024高考模拟预测试卷
黄金卷01-赢在高考·黄金8卷备战2024年高考数学模拟卷(北京专用)(参考答案)_2.2025数学总复习_2024年新高考资料_4.2024高考模拟预测试卷
黄金卷01-赢在高考·黄金8卷备战2024年高考数学模拟卷(北京专用)(参考答案)_2.2025数学总复习_2024年新高考资料_4.2024高考模拟预测试卷
黄金卷01-赢在高考·黄金8卷备战2024年高考数学模拟卷(北京专用)(参考答案)_2.2025数学总复习_2024年新高考资料_4.2024高考模拟预测试卷
黄金卷01-赢在高考·黄金8卷备战2024年高考数学模拟卷(北京专用)(参考答案)_2.2025数学总复习_2024年新高考资料_4.2024高考模拟预测试卷
黄金卷01-赢在高考·黄金8卷备战2024年高考数学模拟卷(北京专用)(参考答案)_2.2025数学总复习_2024年新高考资料_4.2024高考模拟预测试卷
黄金卷01-赢在高考·黄金8卷备战2024年高考数学模拟卷(北京专用)(参考答案)_2.2025数学总复习_2024年新高考资料_4.2024高考模拟预测试卷
黄金卷01-赢在高考·黄金8卷备战2024年高考数学模拟卷(北京专用)(参考答案)_2.2025数学总复习_2024年新高考资料_4.2024高考模拟预测试卷
黄金卷01-赢在高考·黄金8卷备战2024年高考数学模拟卷(北京专用)(参考答案)_2.2025数学总复习_2024年新高考资料_4.2024高考模拟预测试卷
黄金卷01-赢在高考·黄金8卷备战2024年高考数学模拟卷(北京专用)(参考答案)_2.2025数学总复习_2024年新高考资料_4.2024高考模拟预测试卷
黄金卷01-赢在高考·黄金8卷备战2024年高考数学模拟卷(北京专用)(参考答案)_2.2025数学总复习_2024年新高考资料_4.2024高考模拟预测试卷
黄金卷01-赢在高考·黄金8卷备战2024年高考数学模拟卷(北京专用)(参考答案)_2.2025数学总复习_2024年新高考资料_4.2024高考模拟预测试卷

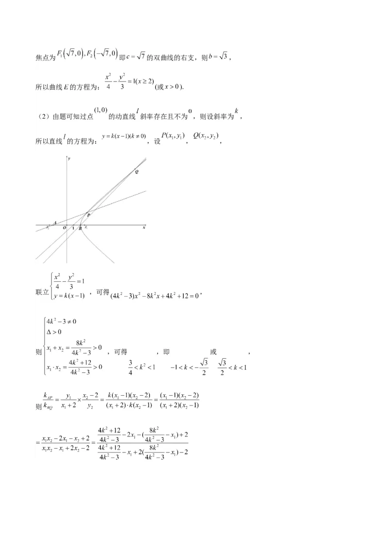
文档信息

文档格式
docx
文档大小
0.416 MB
文档页数
9 页
上传时间
2026-03-29 06:29:16

文档内容

【赢在高考·黄金8卷】备战2024年高考数学模拟卷(北京专用) 黄金卷01·参考答案 (考试时间:120分钟 试卷满分:150分) 第 I 卷(选择题) 一、单项选择题:本题共10小题,每小题4分,共40分,在每小题给出的四个选项中,只有一项是符合 要求的。 1 2 3 4 5 6 7 8 9 10 A B B C D B D B B D 第 II 卷(非选择题) 二、填空题:本题共5小题,每小题5分,共25分。 11.1 12. 13. 14. / 15.①③④ 三、解答题:本题共6小题,共85分,解答应写出必要的文字说明、证明过程及验算步骤。 16.(13分)【详解】(1)证明:因为四边形ABCD是菱形,所以 , 平面PAB, 平面PAB, 所以 平面PAB, 又平面 平面 ,所以 . 又 平面ABCD, 平面ABCD, 所以 平面ABCD. (2)解:设点D到平面PAB的距离为d, 因为 , 因为四边形ABCD为菱形,且 , 所以 , 又 ,所以 . 17.(13分)【详解】(1)由题可知 ,则 的轨迹是实轴长为 ,焦点为 即 的双曲线的右支,则 , 所以曲线 的方程为: (或 ). (2)由题可知过点 的动直线 斜率存在且不为 ,则设斜率为 , 所以直线 的方程为: ,设 , , 联立 ,可得 , 则 ,可得 ,即 或 , 则, 所以 为定值,定值为 . 18.(14分)【详解】(1)因为 , ,且 , 所以 , 又 的对称中心到对称轴的距离的最小值为 且 , 所以 ,即 ,解得 ,所以 , 令 , ,解得 , , 即 的单调递增区间为 , , 令 , ,解得 , , 即 的单调递减区间为 , . (2)因为 ,则 ,所以 ,所以 ,则 在 上的值域为 . 19.(15分)【详解】(1) , , 所以 在 处的切线方程为: ,即 . (2)因为 在 上有解,所以 在 上有解, 当 时, 在 上有解, 令 ,则 , 令 ,则 , 当 时, , 单调递增,故 , 则当 时, ,即 . 所以,当 时 ;当 时 , 所以 在 上单调递减,在 上单调递增, 所以当 时, ,所以 , 综上可知,实数 的取值范围是 . 20.(15分)【详解】(1)由题可知,第3回合由乙发球包含两种情况:第1回合甲赢,第2回合乙赢; 第1回合乙赢,第2回合乙赢, 所以第3回合由乙发球的概率为 . (2)前3个回合中甲赢的回合数不低于乙,则前3个回合中甲赢的回合数为2或3, 甲赢的回合数为3的概率为 , 甲赢的回合数为2的概率为 ,所以前3个回合中甲赢的回合数不低于乙的概率为 . 21.(15分)【详解】(1)因为 , 所以22是 好数; 因为 , 所以23是 好数; 因为 , 所以24是 好数. (2)由题意 是 好数当且仅当 , 是非负整数,分以下两种情形来 说明 是 好数, 情形一:若存在 ,不妨设为 ,此时 或 , 则当 时, ,或 , 因此 ,或 , 即此时 是 好数; 当 时, ,由题意 ,因此不妨取 ,即 , 因为 是偶数,所以 ,从而 是 好数; 情形二:若不存在 ,则任取 ,均有 ,当然也有 ,而此时 或 , 则当 时, ,或 , 由情形一可知,当 时, ,因此 ,或 , 即此时 是 好数; 当 时, ,由题意 ,因此不妨取 ,即 , 因为 ,从而 是 好数; 综上所述:若 是偶数且是 好数,则 是 好数. 若 是偶数且是 好数,接下来我们说明 是 好数, 即已知 是偶数, 是非负整数, 由以上分析可知 或 , 或 是偶数, 且 , , , 不妨设 , , , , 所以 , 因为 均是偶数, 所以 是偶数, 是偶数, 所以 ,, 综上所述,若 是偶数且是 好数,则 也是 好数. (3)记 ,设 : ①若 的二进制表示中只有至多有 个1,那么 显然是 好数; ②若 的二进制表示中有至少有 个1,那么 的二进制表示至多有 位。 此时, 的二进制表示中的那些0隔出了若干个1串。 如果一个1串的长度为1,它一定能表示为 , 如果一个1串的长度大于1,它一定能表示为 , 假设 是 坏数,长度为1的1串的数量为 ,长度大于1的1串的数量为 , 那么就意味着 , 记 , 如果我们标出每个1串最左边和最右边的1,那么这些1两两不相邻,且总数目为 , 但事实上,由于一共至多有 位,所以 ,产生矛盾, 这就意味着 一定是 好数. 这就说明,小于 的正整数都是 好数, 接下来我们用反证法来证明 是 坏数, 假设 是 好数, 由于 的二进制表示中,1的个数是大于 的, 所以 的那个表示里,肯定存在负号项, 也就是说 可以表示成两个正整数 之差,不妨设 , 且 的二进制中1的个数之和不超过 , 而且我们还可以同时去掉 的那些位数相同的1,全都变成0,所以 可以表示成两个正整数 的差, 的二进制中1的个数之和不超过 ,且没有相同位置的1, 那么就设 的二进制表示中,1的数量分别是 , 则 , 那么:(1) 的二进制表示中,最左最右两个1之间的0段的数目至多有 个; (2)每给 减掉一个 (且 的 位为0),最左最右两个1之间的0段的数目至多增加1个, 增加1个当且仅当减掉的这个位置左边最近的1的左边还是1,且这个位置的右边是0. (3) 的二进制表示中,最左最右两个1之间有 个0段. 由(1)(2)我们知道, 的二进制表示中,最左最右两个1之间的0段的数目至多有 个, 结合(3)就可以知道 必须等于 ,且(1),(2),(3)的每个不等关系都取等. 由于(1)的不等关系取等, 所以 的最后一位必须是0; 但 的最后一位是1, 所以 的最后一位是1, 但是由于(2)的不等关系取等, 所以最后在减掉 这步时,右边还有0, 而这不可能,因为已经是最后一位了, 所以假设不成立, 从而 是 坏数, 所以最小的 坏数是 , 因此最小的 坏数是 . 【点睛】关键点点睛:第一问比较常规,按新定义验证即可;第二问的关键主要是注意到表达式的结构, 分类讨论即可;而第三问的关键是主要要联想到二进制表示,并且要通过归纳分析,演绎推理证明猜想, 从而顺利求解.