当前位置:首页>文档>第4课时一次函数的应用(原卷版)_北师大初中数学_8上-北师大版初中数学_旧版_05习题试卷_1课时练习_同步练习(第1套)

第4课时一次函数的应用(原卷版)_北师大初中数学_8上-北师大版初中数学_旧版_05习题试卷_1课时练习_同步练习(第1套)

  • 2026-04-14 16:16:15 2026-04-14 16:16:15

文档预览

第4课时一次函数的应用(原卷版)_北师大初中数学_8上-北师大版初中数学_旧版_05习题试卷_1课时练习_同步练习(第1套)
第4课时一次函数的应用(原卷版)_北师大初中数学_8上-北师大版初中数学_旧版_05习题试卷_1课时练习_同步练习(第1套)
第4课时一次函数的应用(原卷版)_北师大初中数学_8上-北师大版初中数学_旧版_05习题试卷_1课时练习_同步练习(第1套)
第4课时一次函数的应用(原卷版)_北师大初中数学_8上-北师大版初中数学_旧版_05习题试卷_1课时练习_同步练习(第1套)
第4课时一次函数的应用(原卷版)_北师大初中数学_8上-北师大版初中数学_旧版_05习题试卷_1课时练习_同步练习(第1套)
第4课时一次函数的应用(原卷版)_北师大初中数学_8上-北师大版初中数学_旧版_05习题试卷_1课时练习_同步练习(第1套)
第4课时一次函数的应用(原卷版)_北师大初中数学_8上-北师大版初中数学_旧版_05习题试卷_1课时练习_同步练习(第1套)
第4课时一次函数的应用(原卷版)_北师大初中数学_8上-北师大版初中数学_旧版_05习题试卷_1课时练习_同步练习(第1套)
第4课时一次函数的应用(原卷版)_北师大初中数学_8上-北师大版初中数学_旧版_05习题试卷_1课时练习_同步练习(第1套)
第4课时一次函数的应用(原卷版)_北师大初中数学_8上-北师大版初中数学_旧版_05习题试卷_1课时练习_同步练习(第1套)
第4课时一次函数的应用(原卷版)_北师大初中数学_8上-北师大版初中数学_旧版_05习题试卷_1课时练习_同步练习(第1套)
第4课时一次函数的应用(原卷版)_北师大初中数学_8上-北师大版初中数学_旧版_05习题试卷_1课时练习_同步练习(第1套)
第4课时一次函数的应用(原卷版)_北师大初中数学_8上-北师大版初中数学_旧版_05习题试卷_1课时练习_同步练习(第1套)
第4课时一次函数的应用(原卷版)_北师大初中数学_8上-北师大版初中数学_旧版_05习题试卷_1课时练习_同步练习(第1套)

文档信息

文档格式
docx
文档大小
0.260 MB
文档页数
10 页
上传时间
2026-04-14 16:16:15

文档内容

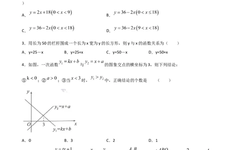
第 4 课时一次函数的应用 基础篇 1.直线kx-3y=8,2x+5y=-4交点的纵坐标为0,则k的值为( ) A.4 B.﹣4 C.2 D.-2 2.已知某等腰三角形的周长为36,腰长为 ,底边长为 ,那么 与 之间的函数关系式及定义域是( ) A. B. C. D. 3.用长为50的栏杆围成一个长为x宽为y的长方形,则y与x的函数关系为( ) A.y=25-x B.y=25+x C.y=50-x D.y=50+x 4.如图,一次函数 与 的图象交点的横坐标为3,则下列结论: ① ;② ;③当 时, 中,正确结论的个数是 ( ) A.0 B.3 C.2 D.1 5.已知一次函数 的图像与 轴、 轴分别交于 两点,当 的面积为 时,那么 的值 是( ) A. B. C. D. 6.如图,一天早上8点,小明和爸爸一起开车去看望距他家60千米的爷爷、奶奶.他们离开家的距离S (千米)与汽车行驶的时间t(分)之间的关系如图所示.已知汽车在途中停车加了一次油.根据图象中提供的信息,下列描述不正确的是( ) A.加油用了10分钟 B.他们在8点55分到达爷爷家 C.若OA//BC,则加油后汽车的速度是80千米/时 D.若加油后的速度是90千米/时,则a的值是25 7.一根蜡烛长30cm,点燃后每小时燃烧5cm,燃烧时蜡烛剩余的长度h(cm)和燃烧时间t(小时)之间 的函数关系用图像可以表示为中的( ) A. B. C. D. 8.如图所示,购买一种苹果,所付款金额 (单元:元)与购买量 (单位:千克)之间的函数图像由 线段 和射线 组成,则一次购买 千克这种苹果,比分五次购买,每次购买 千克这种苹果可节省( ) A. 元 B. 元 C. 元 D. 元9.五一假期小明一家自驾去距家360km的某地游玩,全程的前一部分为高速公路,后一部分为乡村公 路.若小汽车在高速公路和乡村公路上分别以某一速度匀速行驶,行驶的路程y(单位:km)与时间x (单位:h)之间的关系如图所示,则下列结论正确的是( ) A.小汽车在乡村公路上的行驶速度为60km/h B.小汽车在高速公路上的行驶速度为120km/h C.乡村公路总长为90km D.小明家在出发后5.5h到达目的地 10.如图是邻居张大爷去公园锻炼及原路返回时离家的距离y(千米)与时间t(分钟)之间的函数图象, 根据图象信息,下列说法不正确的是( ) A.张大爷去时所用的时间多于回家的时间. B.张大爷在公园锻炼了40分钟 C.张大爷去是走上坡路,回家时走下坡路 D.张大爷去时的速度比回家时的速度慢 11.在全民健身越野赛中,甲乙两选手的行程y(千米)随时间(时)变化的图象(全程)如图所示.有 下列说法:①前半小时甲选手的速度为8千米/时;②第1小时两人都跑了10千米;③甲比乙先到达终 点;④甲选手的速度一直比乙慢.其中正确的说法有( )A.1个 B.2个 C.3个 D.4个 12.某弹簧的长度 与所挂物体的质量 (kg)之间的关系为一次函数,其函数图象如图所示,则不挂物 体时弹簧的长度为( ) A. B. C. D. 13.在A、 两地之间有汽车站 ( 在直线 上),甲车由 地驶往 站,乙车由 地驶往A地,两 车同时出发,匀速行驶;甲、乙两车离 站的距离 , (千米)与行驶时间 (小时)之间的函数图 象如图所示,则下列结论:①A、 两地相距360千米;②甲车速度比乙车速度快15千米/时;③乙车行 驶11小时后到达A地;④两车行驶4.4小时后相遇;其中正确的结论有( ) A.1 B.2个 C.3个 D.4个 14.一列动车从甲地开往乙地,一列普通列车从乙地开往甲地,两车均匀速行驶并同时出发,设普通列车 行驶的时间为x(小时),两车之间的距离为y(千米),若如图中的折线表示y与x之间的函数关系,则 下列结论错误的是( )A.甲、乙两地相距1000千米 B.点B的实际意义是两车出发后3小时相遇 C.普通列车从乙地到达甲地时间是9小时 D.动车的速度是250千米/小时 15.2020年12月22日8时38分,G8311次动车组列车从合肥南站始发,驶向沿江千年古城、“黄梅戏” 故乡安庆.这标志着京港高铁合肥至安庆段正式开通运营.运行期间,一列动车匀速从合肥开往安庆,一 列普通列车匀速从安庆开往合肥,两车同时出发,设普通列车行驶的时间为x(h),两车之间的距离y (km),图中的折线表示y与x之间的函数关系,下列说法正确的有( ) ①合肥、安庆两地相距176km,两车出发后0.5h相遇; ②普通列车到达终点站共需2h; ③普通列车的平均速度为88km/h; ④动车的平均速度为250km/h. A.1个 B.2个 C.3个 D.4个 16.某游泳馆新推出了甲、乙两种消费卡,设游泳次数为 时两种消费卡所需费用分别为 , 元, , 与 的函数图象如图所示,当游泳次数为30次时选择哪种消费卡更合算( )A.甲种更合算 B.乙种更合算 C.两种一样合算 D.无法确定 17.1号探测气球从海拔5m处出发,与此同时2号探测气球从海拔15m处出发,两个气球所在位置的海 拔y(单位:m)关于上升时间x(单位:min)的函数关系如图所示,当上升________min时,两球之间的 距离是5m. 提升篇 18.为全面落实乡村振兴总要求,充分发扬“为民服务孺子牛”“创新发展拓荒牛”“艰苦奋斗老黄牛” 精神,某镇政府计划在该镇试种植苹果树和桔子树共100棵.已知平均每棵果树的投入成本和产量如表所 示,且苹果的售价为10元/kg,桔子的售价为6元/kg. 成本(元/棵) 产量(kg/棵) 苹果树 120 30 桔子树 80 25 设种植苹果树x棵. (1)若种植苹果树和桔子树共获利y元,求y与x之间的函数关系式; (2)若种植苹果树45棵,求种植苹果树和桔子树共获利多少元?19.如图,在平面直角坐标系 中,点A、B分别是直线 与x、y轴的交点. (1)已知点C在第一象限,如果四边形 是平行四边形,求点C的坐标; (2)在(1)的条件下,点D在x轴上,如果四边形 是等腰梯形,求直线 的表达式. 19.某一品牌的乒乓球在甲、乙两个商场的标价都是每个4元,在销售时都有一定的优惠.甲商场的优惠 条件是购买不超过10个按原价销售,超过10个,超出部分按8折优惠;乙商场的优惠条件是无论买多少 个都按8.5折优惠.(1)分别写出在甲、乙两个商场购买这种乒乓球应付金额y元与购买个数x(x>10)个之间的函数关系 式; (2)若要购买30个乒乓球,到哪家商场购买合算?请说明理由. 20.如图,直线y=2x+3与x轴相交于点A,与y轴相交于点B. (1)求△AOB的面积; (2)过B点作直线BP与x轴相交于P,△ABP的面积是 ,求点P的坐标. 21.某地自米水公司为限制单位用水,每月只给某单位计划内用水3000吨,计划内用水每吨收费0.5元, 超计划部分每吨按0.8元收费. (1)某月该单位用水3200吨,水费是 元;若用水2800吨,水费是 元; (2)写出该单位水费y(元)与每月用水量x(吨)之间的函数关系式; (3)若某月该单位缴纳水费1540元,则该单位这个月的用水量为多少吨?22.暑假期间,两名家长计划带领若干名学生去旅游,他们联系了报价均为500元的两家旅行社.经协 商,甲旅行社的优惠条件是:两名家长全额收费,学生都按七折收费;乙旅行社的优惠条件是:家长学生 都按八折收费.假设这两位家长带领 名学生去旅游. (1)分别写出甲、乙旅行社的收费 (元)、 (元)关于 的函数关系式; (2)他们应该选择哪家旅行社更合算?