当前位置:首页>文档>2024年高考生物一轮复习(新人教版)第8单元 微专题七 植物激素调节的相关实验探究_2024年新高考资料_1.2024一轮复习_2024年高考生物一轮复习讲义(新人教版)

2024年高考生物一轮复习(新人教版)第8单元 微专题七 植物激素调节的相关实验探究_2024年新高考资料_1.2024一轮复习_2024年高考生物一轮复习讲义(新人教版)

  • 2026-04-27 14:46:19 2026-04-27 13:40:17

文档预览

2024年高考生物一轮复习(新人教版)第8单元 微专题七 植物激素调节的相关实验探究_2024年新高考资料_1.2024一轮复习_2024年高考生物一轮复习讲义(新人教版)
2024年高考生物一轮复习(新人教版)第8单元 微专题七 植物激素调节的相关实验探究_2024年新高考资料_1.2024一轮复习_2024年高考生物一轮复习讲义(新人教版)
2024年高考生物一轮复习(新人教版)第8单元 微专题七 植物激素调节的相关实验探究_2024年新高考资料_1.2024一轮复习_2024年高考生物一轮复习讲义(新人教版)
2024年高考生物一轮复习(新人教版)第8单元 微专题七 植物激素调节的相关实验探究_2024年新高考资料_1.2024一轮复习_2024年高考生物一轮复习讲义(新人教版)
2024年高考生物一轮复习(新人教版)第8单元 微专题七 植物激素调节的相关实验探究_2024年新高考资料_1.2024一轮复习_2024年高考生物一轮复习讲义(新人教版)
2024年高考生物一轮复习(新人教版)第8单元 微专题七 植物激素调节的相关实验探究_2024年新高考资料_1.2024一轮复习_2024年高考生物一轮复习讲义(新人教版)
2024年高考生物一轮复习(新人教版)第8单元 微专题七 植物激素调节的相关实验探究_2024年新高考资料_1.2024一轮复习_2024年高考生物一轮复习讲义(新人教版)
2024年高考生物一轮复习(新人教版)第8单元 微专题七 植物激素调节的相关实验探究_2024年新高考资料_1.2024一轮复习_2024年高考生物一轮复习讲义(新人教版)
2024年高考生物一轮复习(新人教版)第8单元 微专题七 植物激素调节的相关实验探究_2024年新高考资料_1.2024一轮复习_2024年高考生物一轮复习讲义(新人教版)
2024年高考生物一轮复习(新人教版)第8单元 微专题七 植物激素调节的相关实验探究_2024年新高考资料_1.2024一轮复习_2024年高考生物一轮复习讲义(新人教版)
2024年高考生物一轮复习(新人教版)第8单元 微专题七 植物激素调节的相关实验探究_2024年新高考资料_1.2024一轮复习_2024年高考生物一轮复习讲义(新人教版)
2024年高考生物一轮复习(新人教版)第8单元 微专题七 植物激素调节的相关实验探究_2024年新高考资料_1.2024一轮复习_2024年高考生物一轮复习讲义(新人教版)

文档信息

文档格式
docx
文档大小
1.436 MB
文档页数
8 页
上传时间
2026-04-27 13:40:17

文档内容

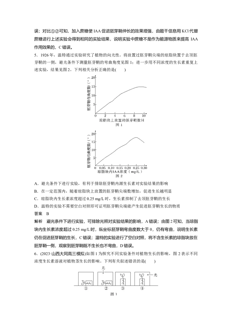
微专题七 植物激素调节的相关实验探究 1.不同处理条件下胚芽鞘生长弯曲状况分析 类别 图解 相关结果 ①直立生长; 遮盖法 ②向光生长 ①直立生长; 暗箱法 ②向光(小孔)生长 ①向右弯曲生长; ②直立生长; 插入法 ③向光弯曲生长; ④向光弯曲生长 ①直立生长; 移植法 ②向左侧生长; ③④中IAA的含量:a=b+c,b>c ①直立生长; ②向光生长; 旋转法 ③向小孔生长; ④茎向心生长,根离心生长 ①a=b、c=d,水平生长; 横置法 ②a