当前位置:首页>文档>第8单元 课时练10 其他植物激素、植物生长调节剂及环境因素参与调节植物的生命活动_2024年新高考资料_1.2024一轮复习_2024年高考生物一轮复习讲义(新人教版)_学生版在此文件夹

第8单元 课时练10 其他植物激素、植物生长调节剂及环境因素参与调节植物的生命活动_2024年新高考资料_1.2024一轮复习_2024年高考生物一轮复习讲义(新人教版)_学生版在此文件夹

  • 2026-05-01 02:48:27 2026-05-01 02:44:30

文档预览

第8单元 课时练10 其他植物激素、植物生长调节剂及环境因素参与调节植物的生命活动_2024年新高考资料_1.2024一轮复习_2024年高考生物一轮复习讲义(新人教版)_学生版在此文件夹
第8单元 课时练10 其他植物激素、植物生长调节剂及环境因素参与调节植物的生命活动_2024年新高考资料_1.2024一轮复习_2024年高考生物一轮复习讲义(新人教版)_学生版在此文件夹
第8单元 课时练10 其他植物激素、植物生长调节剂及环境因素参与调节植物的生命活动_2024年新高考资料_1.2024一轮复习_2024年高考生物一轮复习讲义(新人教版)_学生版在此文件夹
第8单元 课时练10 其他植物激素、植物生长调节剂及环境因素参与调节植物的生命活动_2024年新高考资料_1.2024一轮复习_2024年高考生物一轮复习讲义(新人教版)_学生版在此文件夹
第8单元 课时练10 其他植物激素、植物生长调节剂及环境因素参与调节植物的生命活动_2024年新高考资料_1.2024一轮复习_2024年高考生物一轮复习讲义(新人教版)_学生版在此文件夹
第8单元 课时练10 其他植物激素、植物生长调节剂及环境因素参与调节植物的生命活动_2024年新高考资料_1.2024一轮复习_2024年高考生物一轮复习讲义(新人教版)_学生版在此文件夹
第8单元 课时练10 其他植物激素、植物生长调节剂及环境因素参与调节植物的生命活动_2024年新高考资料_1.2024一轮复习_2024年高考生物一轮复习讲义(新人教版)_学生版在此文件夹
第8单元 课时练10 其他植物激素、植物生长调节剂及环境因素参与调节植物的生命活动_2024年新高考资料_1.2024一轮复习_2024年高考生物一轮复习讲义(新人教版)_学生版在此文件夹
第8单元 课时练10 其他植物激素、植物生长调节剂及环境因素参与调节植物的生命活动_2024年新高考资料_1.2024一轮复习_2024年高考生物一轮复习讲义(新人教版)_学生版在此文件夹
第8单元 课时练10 其他植物激素、植物生长调节剂及环境因素参与调节植物的生命活动_2024年新高考资料_1.2024一轮复习_2024年高考生物一轮复习讲义(新人教版)_学生版在此文件夹

文档信息

文档格式
docx
文档大小
0.886 MB
文档页数
6 页
上传时间
2026-05-01 02:44:30

文档内容

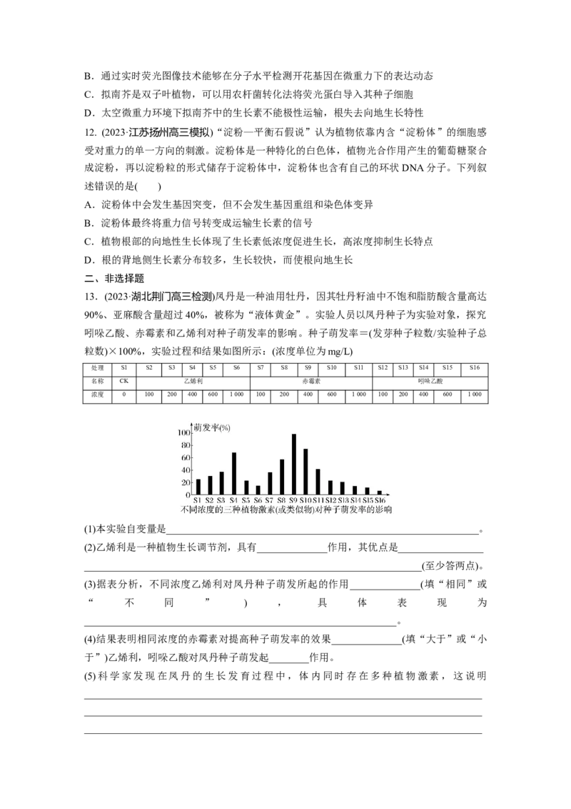
一、选择题 1.植物体中,赤霉素与生长素都能促进茎秆的伸长,两者关系如图所示。下列相关叙述错 误的是( ) A.生长素和赤霉素均可在幼芽和发育中的种子中合成 B.色氨酸在植物体内经过一系列反应可转变为吲哚乙酸 C.赤霉素能促进细胞伸长,图中X表示“抑制” D.促进植物生长的植物激素只有生长素和赤霉素 2.油菜素内酯是近年新发现的第六类植物激素,芸苔素是一种人工合成的油菜素内酯类似 物。某科研人员为了研究芸苔素对侧枝长度的影响,以拟南芥的野生型植株和突变体植株为 实验材料进行了相关实验,实验结果如图所示。下列说法错误的是( ) A.芸苔素可能通过参与细胞代谢过程进而影响植物的生长 B.芸苔素能促进野生型拟南芥侧枝的伸长,可用于解除生长素对侧枝的抑制作用 C.据图推测,拟南芥的突变体植株有可能缺乏识别芸苔素的特异性受体 D.农业生产中使用芸苔素时需要考虑施用时间、处理部位和施用方式等因素 3. (2023·江苏扬州高三模拟)某研究小组用一定浓度的赤霉素分别处理玉米矮生突变体 A和 矮生突变体B,结果发现矮生突变体A能生长到正常玉米的高度,但矮生突变体B不能长 高。下列有关叙述错误的是( ) A. 一定浓度的赤霉素处理休眠种子可促进其萌发 B.矮生突变体B矮生的原因与其合成赤霉素的能力较弱有关 C.赤霉素通过促进细胞伸长生长促进矮生突变体A的生长D.赤霉素与靶细胞受体结合并发挥作用后会立即被灭活 4.如图是草莓从开花至果实发育成熟过程中,生长素(IAA)和脱落酸(ABA)含量的变化情况。 下列分析错误的是( ) A.ABA的含量在开花后第28 d较高,加快了果实的衰老和脱落 B.在开花后的第7~14 d,IAA含量迅速增长可能与种子发育有关 C.在果实发育成熟过程中,两种激素的峰值有一定的时间顺序 D.草莓果实的发育成熟,只与该两种植物激素的相互作用有关 5.科研工作者以蜈蚣草为实验材料,测定不同植物激素处理对蜈蚣草株高和不同部位干重 的影响,实验结果如图所示。下列相关叙述错误的是( ) A.该实验的自变量是激素种类 B.三组植物激素处理方式都可以促进株高的增加,且促进作用与激素溶液浓度总是成正比 C.只使用细胞分裂素,会促进地上部分干重增加,抑制地下部分干重增加 D.生长素和细胞分裂素促进植株生长的原理不同 6.(2023·桂林高三模拟)光敏色素是一种接收光信号的蛋白质。为研究赤霉素和光敏色素在 水稻幼苗发育中的作用,科研人员将野生型、光敏色素 A缺失的突变体、光敏色素B缺失的突变体的水稻种子播种在含不同浓度赤霉素合成抑制剂(PAC)的培养基上,光照下培养8 天后,测量幼苗地上部分和主根长度,得到如图所示结果。下列叙述错误的是( ) A.PAC处理对地上部分生长有抑制作用 B.PAC浓度小于10-5 mo1/L时,对主根生长起促进作用 C.光敏色素A对地上部分的生长几乎无影响 D.在一定PAC浓度范围内,光敏色素B对主根生长起促进作用 7.(2023·江苏无锡高三模拟)春化处理是指对种子或植物给予一定时间的低温处理,促进其 花芽形成。现研究发现,赤霉素能够促进淀粉酶的合成,进而催化淀粉水解,代替春化处理 而收到同样的效果。下列有关叙述正确的是( ) A.春化处理时淀粉酶的活性升高,淀粉水解加快 B.春化处理可能产生某些蛋白质改变种子代谢过程 C.赤霉素可进入细胞内促进淀粉的水解,促进种子萌发 D.海南夏季水稻没有经过春化处理,种子发芽效果较差 8.当受到干旱、盐渍或寒冷环境胁迫时,植物体内的脱落酸(C H O)水平会急剧上升,并 15 20 4 出现若干特定基因的表达产物,抗逆性增强。倘若植物体并未受到胁迫,只是吸收了相当数 量的脱落酸,其体内也会出现这些基因的表达产物。下列相关说法错误的是( ) A.植物激素及环境因素对植物生命活动都具有调节作用 B.果蔬、粮食中均天然含有脱落酸,对人类和环境安全 C.使用外源脱落酸可增强植物的抗逆性,可用于农业生产 D.环境影响脱落酸的含量,脱落酸是基因表达的直接产物9.经不同浓度的2,4-D溶液浸泡12 h的绿豆种子,在相同且适宜条件下培养相同时间, 结果如下表。据此判断,下列叙述正确的是( ) 2,4-D溶液浓度/ (mol·L-1) 0 0.4 0.7 1 1.3 1.6 平均芽长度(cm) 4 7 11 13 8 5 平均根长度(cm) 6 8 4 1 0.8 0.7 A.自变量是有无2,4-D溶液,因变量是芽与根的平均长度 B.0.4 mol·L-1的2,4-D溶液能促进芽与根的生长 C.2,4-D溶液既能促进芽的生长,也能抑制芽的生长 D.培养无根豆芽的2,4-D溶液最适浓度一定是1 mol·L-1 10.(2023·河北石家庄高三模拟)油菜素内酯(BL)是一种植物激素,研究表明其对植物应对盐 胁迫(环境中盐浓度过高)有重要作用,如图所示为不同条件处理对某品种棉花钠含量和叶绿 素含量的影响(CK代表对照组,NaCl代表高浓度盐)。下列相关叙述正确的是( ) A.盐胁迫可能会降低植物光合速率,且处理时间越短效果越显著 B.油菜素内酯会催化叶绿素合成,且在盐胁迫条件下作用更显著 C.油菜素内酯在盐胁迫情况下能降低植物器官中钠的含量,且对茎影响最显著 D.油菜素内酯在盐胁迫情况下作用明显强于正常情况,体现了植物激素低浓度促进生长高 浓度抑制生长的特点 11.(2023·江苏连云港高三模拟) 为探究长日照植物在太空微重力环境下的开花情况,科学 家预先将拟南芥的开花基因用绿色荧光蛋白基因标记并将其种子送入“天宫实验室”,进行 跟踪观察。下列说法正确的是( ) A.该实验的自变量是日照长短和微重力环境,需要地面同步实验作对照B.通过实时荧光图像技术能够在分子水平检测开花基因在微重力下的表达动态 C.拟南芥是双子叶植物,可以用农杆菌转化法将荧光蛋白导入其种子细胞 D.太空微重力环境下拟南芥中的生长素不能极性运输,根失去向地生长特性 12. (2023·江苏扬州高三模拟)“淀粉—平衡石假说”认为植物依靠内含“淀粉体”的细胞感 受对重力的单一方向的刺激。淀粉体是一种特化的白色体,植物光合作用产生的葡萄糖聚合 成淀粉,再以淀粉粒的形式储存于淀粉体中,淀粉体也含有自己的环状DNA分子。下列叙 述错误的是( ) A.淀粉体中会发生基因突变,但不会发生基因重组和染色体变异 B.淀粉体最终将重力信号转变成运输生长素的信号 C.植物根部的向地性生长体现了生长素低浓度促进生长,高浓度抑制生长特点 D.根的背地侧生长素分布较多,生长较快,而使根向地生长 二、非选择题 13.(2023·湖北荆门高三检测)凤丹是一种油用牡丹,因其牡丹籽油中不饱和脂肪酸含量高达 90%、亚麻酸含量超过40%,被称为“液体黄金”。实验人员以凤丹种子为实验对象,探究 吲哚乙酸、赤霉素和乙烯利对种子萌发率的影响。种子萌发率=(发芽种子粒数/实验种子总 粒数)×100%,实验过程和结果如图所示:(浓度单位为mg/L) 处理 S1 S2 S3 S4 S5 S6 S7 S8 S9 S10 S11 S12 S13 S14 S15 S16 名称 CK 乙烯利 赤霉素 吲哚乙酸 浓度 0 100 200 400 600 1 000 100 200 400 600 1 000 100 200 400 600 1 000 (1)本实验自变量是______________________________________________________________。 (2)乙烯利是一种植物生长调节剂,具有______________作用,其优点是_________________ ___________________________________________________________________(至少答两点)。 (3)据表分析,不同浓度乙烯利对凤丹种子萌发所起的作用______________(填“相同”或 “ 不 同 ” ) , 具 体 表 现 为 ______________________________________________________________。 (4)结果表明相同浓度的赤霉素对提高种子萌发率的效果______________(填“大于”或“小 于”)乙烯利,吲哚乙酸对凤丹种子萌发起________作用。 (5)科学家发现在凤丹的生长发育过程中,体内同时存在多种植物激素,这说明 _______________________________________________________________________________ _______________________________________________________________________________ _______________________________________________________________________________。