文档
办公文件
生活文档
学习资料
当前位置:
首页
>
文档
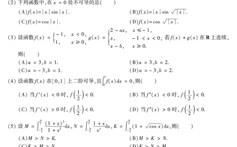
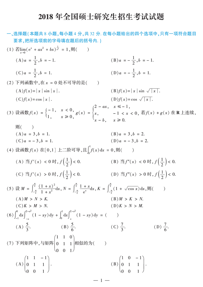
>2018年数学二真题_数学二真题+解析[87-25]_数学二真题
2018年数学二真题_数学二真题+解析[87-25]_数学二真题
2026-03-24 23:10:36
2026-02-04 18:11:05
文档预览
文档信息
文档格式
pdf
文档大小
0.380 MB
文档页数
4 页
上传时间
2026-02-04 18:11:05
下载文档
本文档来自网络内容,如有侵犯您的权益请联系我们删除,联系邮箱:wyl860211@qq.com。
上一篇
2018年数学三解析_数学三真题+解析[87-25]_数学三解析
下一篇
2018年数学二解析_数学二真题+解析[87-25]_数学二解析
最新文档
7.4.1糖类(分层作业)(原卷版)_高化_595801221724高中化学新人教版选择性必修一二三电子版教案PPT课件高中试卷_必修二册(人教版)_分层作业
7.3乙醇和乙酸(精讲)-(人教版2019必修第二册)(解析版)_高化_595801221724高中化学新人教版选择性必修一二三电子版教案PPT课件高中试卷_必修二册(人教版)_专项练习
7.3乙醇和乙酸(精讲)-(人教版2019必修第二册)(原卷版)_高化_595801221724高中化学新人教版选择性必修一二三电子版教案PPT课件高中试卷_必修二册(人教版)_专项练习
7.3乙醇与乙酸(精练)-(人教版2019必修第二册)(解析版)_高化_595801221724高中化学新人教版选择性必修一二三电子版教案PPT课件高中试卷_必修二册(人教版)_专项练习
第七单元时、分、秒_26春北师大版数学二下_19、赠送其它资料_二年级数学下册(北师大版)_旧版_二年级数学下册(北师大版)_教学设计_教学设计(多套)_第7单元_WORD教案
第七单元时、分、秒-(真题汇编)参考答案_26春北师大版数学二下_19、赠送其它资料_二年级数学下册(北师大版)_旧版_二年级数学下册(北师大版)_母题专项练习-K34_2025版
第七单元时、分、秒-(真题汇编)全解全析_26春北师大版数学二下_19、赠送其它资料_二年级数学下册(北师大版)_旧版_二年级数学下册(北师大版)_母题专项练习-K34_2025版
7.3乙醇与乙酸(精练)-(人教版2019必修第二册)(原卷版)_高化_595801221724高中化学新人教版选择性必修一二三电子版教案PPT课件高中试卷_必修二册(人教版)_专项练习
第七单元时、分、秒-(真题汇编)A4原卷_26春北师大版数学二下_19、赠送其它资料_二年级数学下册(北师大版)_旧版_二年级数学下册(北师大版)_母题专项练习-K34_2025版
第七单元时、分、秒-(真题汇编)A3原卷_26春北师大版数学二下_19、赠送其它资料_二年级数学下册(北师大版)_旧版_二年级数学下册(北师大版)_母题专项练习-K34_2025版
热门文档
7.3.3官能团与有机物的分类及性质(教学设计)-(人教版2019必修第二册)_高化_595801221724高中化学新人教版选择性必修一二三电子版教案PPT课件高中试卷_必修二册(人教版)_教学设计
第七单元学业质量评价_26春北师大版数学二下_03、单元学业质量评价+期中+期末
第七单元分类(单元解读)(新教材)_26春北师大版数学二下_05、单元解读word版完整版
第七单元_26春北师大版数学二下_19、赠送其它资料_旧版_第3套:北师大版小学数学2下_北师大版数学2年级下册习题全套_北师大数学二年级下单元测试(32份)
第七单元_26春北师大版数学二下_19、赠送其它资料_旧版_第2套:北师大数学2下_北师大数学二下单元测试(32份)_单元练习-2年级下册-北师大版数学第3套(8份)
第七单元_26春北师大版数学二下_19、赠送其它资料_旧版_第2套:北师大数学2下_北师大数学2下教案4套_北师大数学2下教案(第一套)
7.3.3官能团与有机物的分类及性质(导学案)(解析版)_高化_595801221724高中化学新人教版选择性必修一二三电子版教案PPT课件高中试卷_必修二册(人教版)_导学案
第七单元_26春北师大版数学二下_19、赠送其它资料_二年级数学下册(北师大版)_旧版_二年级数学下册(北师大版)_单元测试_单元练习-2年级下册-北师大版数学第3套(8份)
第一讲除法(单元讲义)-(北师大版)教师版_26春北师大版数学二下_19、赠送其它资料_二年级数学下册(北师大版)_旧版_二年级数学下册(北师大版)_母题专项练习-K34_2025版
第一讲除法(单元讲义)-(北师大版)学生版_26春北师大版数学二下_19、赠送其它资料_二年级数学下册(北师大版)_旧版_二年级数学下册(北师大版)_母题专项练习-K34_2025版
随机文档
7.3.3官能团与有机物的分类及性质(导学案)(原卷版)_高化_595801221724高中化学新人教版选择性必修一二三电子版教案PPT课件高中试卷_必修二册(人教版)_导学案
第一章除法(B卷拔高卷单元重点综合测试)-(北师大版)_26春北师大版数学二下_19、赠送其它资料_二年级数学下册(北师大版)_旧版_二年级数学下册(北师大版)_单元知识复习专项-K43
7.3.3官能团与有机物的分类及性质(分层作业)(解析版)_高化_595801221724高中化学新人教版选择性必修一二三电子版教案PPT课件高中试卷_必修二册(人教版)_分层作业
第一章除法(A卷提升卷单元重点综合测试)-(北师大版)_26春北师大版数学二下_19、赠送其它资料_二年级数学下册(北师大版)_旧版_二年级数学下册(北师大版)_单元知识复习专项-K43
第一章除法知识归纳与题型突破(教师版)-(北师大版)_26春北师大版数学二下_19、赠送其它资料_二年级数学下册(北师大版)_旧版_二年级数学下册(北师大版)_单元知识复习专项-K43
7.3.3官能团与有机物的分类及性质(分层作业)(原卷版)_高化_595801221724高中化学新人教版选择性必修一二三电子版教案PPT课件高中试卷_必修二册(人教版)_分层作业
第一章除法知识归纳与题型突破(学生版)-(北师大版)_26春北师大版数学二下_19、赠送其它资料_二年级数学下册(北师大版)_旧版_二年级数学下册(北师大版)_单元知识复习专项-K43
第一单元除法(知识清单)(北师大版)_26春北师大版数学二下_19、赠送其它资料_二年级数学下册(北师大版)_旧版_二年级数学下册(北师大版)_单元知识复习专项-K43_2024版
7.3.2乙酸(教学设计)-(人教版2019必修第二册)_高化_595801221724高中化学新人教版选择性必修一二三电子版教案PPT课件高中试卷_必修二册(人教版)_教学设计
第一单元除法(知识清单)-(教师版)(北师大版)_26春北师大版数学二下_19、赠送其它资料_二年级数学下册(北师大版)_旧版_二年级数学下册(北师大版)_期末总复习-K157