当前位置:首页>文档>吉林省梅河口市第五中学2025-2026学年高三上学期期中考试历史试题(含答案)_251105吉林省通化市梅河口市第五中学2025-2026学年高三上学期10月期中考试(全科)

吉林省梅河口市第五中学2025-2026学年高三上学期期中考试历史试题(含答案)_251105吉林省通化市梅河口市第五中学2025-2026学年高三上学期10月期中考试(全科)

  • 2026-04-01 05:00:44 2026-02-08 17:43:22

文档预览

吉林省梅河口市第五中学2025-2026学年高三上学期期中考试历史试题(含答案)_251105吉林省通化市梅河口市第五中学2025-2026学年高三上学期10月期中考试(全科)
吉林省梅河口市第五中学2025-2026学年高三上学期期中考试历史试题(含答案)_251105吉林省通化市梅河口市第五中学2025-2026学年高三上学期10月期中考试(全科)
吉林省梅河口市第五中学2025-2026学年高三上学期期中考试历史试题(含答案)_251105吉林省通化市梅河口市第五中学2025-2026学年高三上学期10月期中考试(全科)
吉林省梅河口市第五中学2025-2026学年高三上学期期中考试历史试题(含答案)_251105吉林省通化市梅河口市第五中学2025-2026学年高三上学期10月期中考试(全科)
吉林省梅河口市第五中学2025-2026学年高三上学期期中考试历史试题(含答案)_251105吉林省通化市梅河口市第五中学2025-2026学年高三上学期10月期中考试(全科)
吉林省梅河口市第五中学2025-2026学年高三上学期期中考试历史试题(含答案)_251105吉林省通化市梅河口市第五中学2025-2026学年高三上学期10月期中考试(全科)
吉林省梅河口市第五中学2025-2026学年高三上学期期中考试历史试题(含答案)_251105吉林省通化市梅河口市第五中学2025-2026学年高三上学期10月期中考试(全科)
吉林省梅河口市第五中学2025-2026学年高三上学期期中考试历史试题(含答案)_251105吉林省通化市梅河口市第五中学2025-2026学年高三上学期10月期中考试(全科)
吉林省梅河口市第五中学2025-2026学年高三上学期期中考试历史试题(含答案)_251105吉林省通化市梅河口市第五中学2025-2026学年高三上学期10月期中考试(全科)
吉林省梅河口市第五中学2025-2026学年高三上学期期中考试历史试题(含答案)_251105吉林省通化市梅河口市第五中学2025-2026学年高三上学期10月期中考试(全科)

文档信息

文档格式
docx
文档大小
0.087 MB
文档页数
6 页
上传时间
2026-02-08 17:43:22

文档内容

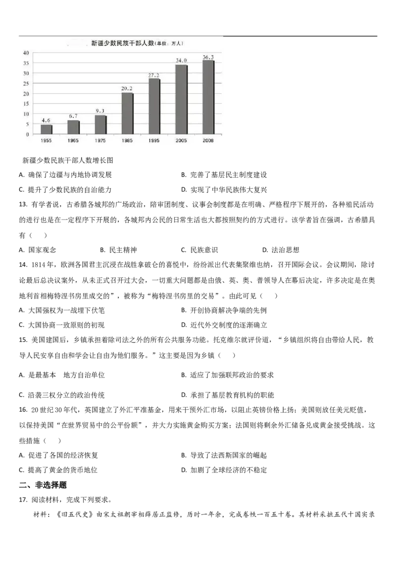
高三历史期中考试 一、选择题:本题共16小题,每小题3分,共48分。在每小题给出的四个选项中,只有一项是符合题目要求的。 1.下图为甲骨文中的“贝”字。商代考古挖掘中常见贝,不仅贵族墓有贝,而且殷墟西区 发掘的939座平民墓中,有340座发现随葬贝;随葬贝在100枚以上的墓,都是没有任何青 铜礼器随葬的社会中下层人士墓。这可以说明当时 A.文字源于社会生活 B.商品交换较为普遍 C.社会阶层比较平等 D.墓葬风俗历史悠久 2.公元前506年吴楚之战中,楚军兵力为战车500辆、士卒37 500人,士兵每日消耗粮食达57.66吨(不含战马饲 料)。据《史记·六国年表》记载,公元前463年至前221年列国军事冲突达468次,年均达1.8次。这反映出当时 A.农业生产对战争的有力支撑 B.农业发展推动了军事扩张 C.国家大一统的进程不断加速 D.粮食储备决定战争的胜负 3. 1963年,在今内蒙古自治区赤峰市蜘蛛山遗址发现秦陶量4件,其中一件腹部刻有秦始皇二十六年所颁布的统一度 量衡的诏书。1976年今内蒙古自治区三眼井出土秦铁权1件,权身满铸诏书铭文。这些发现可以佐证秦朝 A.政府施政能力较高 B.官营手工业发达 C.民族交融成效显著 D.北方是经济重心 4.乐府是国家专管音乐的机构。乐府采集民歌并修改而成的诗被称为乐府诗,乐府诗往往“感于哀乐,缘事而发”, 如汉代《东门行》有“盎中无斗米储,还视架上无悬衣”的描写,汉魏时的《十五从军征》有老兵返乡后家巾“兔从 狗窦人,雉从梁上飞”的描写。据此可知,乐府诗 A.具有浪漫主义的色彩 B.注重对社会现实的反映 C.服务于宫廷生活需要 D.体现出强烈的国家意识 5.乾元元年(758年),唐肃宗诏:“兵士有虺弱赢老,并拣择放。”上元二年(761年),又诏:“诸军兵健,应 在行营,有赢老疾病不任战阵者,各委节度使速拣择放还,路次州县,量加济恤。”其旨在 A.彰显国家优抚理念 B.削弱节度使权力 C.提高军队的战斗力 D.恢复和发展农业 6. 唐代中叶,韩愈等发起了文风改革的古文运动,其中心口号是“文以明道”,反对六朝以来形式主义、唯美主义的 骈文,提倡先秦两汉的散行单句的古文,以阐扬儒家六经之道和先质后文、文道统一思想。这一运动( ) A. 体现了儒学复兴诉求 B. 反映了理学思想主张 C. 调和吸收了佛道理论 D. 助推了文学高峰出现 7. 1048—1053年,陕西转运使李参认为当地“多戍兵,苦食少”,允许农户在青黄不接时根据自己预期的产量向政 府借贷一定数量的货币,“俟谷熟还之官,号青苗钱。经数年,廪有羡粮”。这一做法( ) A. 反映出王安石变法成效初步显现B. 体现了利用金融调节经济的尝试 C. 遏制了地方豪强土地兼并的势头 D. 根本上扭转了国家财政困难局面 8. 北宋前期,描写都市生活、关注女性内心情感的“柳词”曾风靡一时,后苏轼以雄奇奔放的豪放派词风一改此势。 南宋,辛弃疾将豪放派进一步发扬光大,忧国忧民、抒发爱国情怀成为宋词的主要内容。宋词的发展变化( ) A. 推动商品经济的空前繁荣 B. 促进市民文化成为社会的主流 C. 体现了理学影响力的扩大 D. 提高词作在科举考试中的比例 9. 据《金史》记载,周昂“年二十四擢第。调南和簿,有异政。迁良乡令,入拜监察御史”;孟奎“大定二十一年 (1181年)进士,调黎阳主簿……察廉,改定兴令……上京等路提刑判官”。这些材料可以用来说明金朝官员选任( ) A. 推动察举制的不断完善 B. 注重地方治理能力和经验 C. 有利于巩固大一统局面 D. 缺乏规范的考核升迁标准 10. 下表为明代苏州坊刻图书种类及其比重情况统计。这可用以说明当时( ) 种 经史 子部 集部类 戏曲小 生活 医学 科举 类 类 类 (含诗文) 说 类 类 类 数 35 30 62 45 36 40 28 量 比 11% 10% 20% 15% 12% 13% 9% 重 A. 活字印刷术应用普遍化 B. 西学东渐影响广泛 C. 经世致用思想成为主流 D. 文化领域的商品化 11. 北洋政府颁布的《文官考试法草案》规定“考试者所以决其将来,经历者所以重其既往,二者皆不可偏废”;南 京国民政府制定的《公务员任用法》明确公务员“须经考试院”选任,采用公开考试、择优录取的方式。二者的共同 点在于( ) A. 文官选拔制度基本停留在纸面上 B. 建立起完备的公务员制度体系 C. 顺应了近代化对人才选拔的需求 D. 完全杜绝了选官营私舞弊现象 的 12. 1979年10月6日,中央组织部和国家民委确定了少数民族干部选拔和培养 细则,此后少数民族干部人数不断增 多,各民族比例和男女比例协调,到2009年时,全国少数民族干部数量就达到291万人之多,以新疆为例,其少数 民族干部人数五十年间增长七倍多(见如图),这一局面( )新疆少数民族干部人数增长图 A. 确保了边疆与内地协调发展 B. 完善了基层民主制度建设 C. 提升了少数民族的自治能力 D. 实现了中华民族伟大复兴 13. 有学者说,古希腊各城邦的广场政治,陪审团制度、议事会制度都是在明确、严格程序下展开的,各种殖民活动 的进行也是在一定程序下开展的,各城邦内公民的日常生活也大都按照契约的方式进行。该学者旨在强调,古希腊具 有( ) A. 国家观念 B. 民主精神 C. 民族意识 D. 法治思想 14. 1814年,欧洲各国君主沉浸在战胜拿破仑的喜悦中,纷纷派出代表集聚维也纳,召开国际会议。会议期间,除讨 论最后总决议案外,从未正式召开过大会,一切重大问题都是由俄、英、奥、普领导人在幕后决定,许多决定是在奥 地利首相梅特涅书房里成交的”,被称为“梅特涅书房里的交易”。由此可见( ) A. 大国强权为一战埋下伏笔 B. 开创协商解决争端的先例 C. 大国协商一致原则的初现 D. 近代外交制度的逐渐确立 15. 美国建国后,乡镇承担着除司法之外的所有公共服务功能。托克维尔就评价道,“乡镇组织将自由带给人民,教 导人民安享自由和学会让自由为他们服务。”这主要是因为乡镇( ) 的 A. 是最基本 地方自治单位 B. 适应了加强联邦政治的要求 C. 沿袭三权分立的政治传统 D. 承担了基层教育机构的职能 16. 20世纪30年代,英国建立了外汇平准基金,用来干预外汇市场,以阻止英镑价格上扬;美国则放任美元贬值, 以保持美国“在世界贸易中的公平份额”,并大力实施黄金购买方案;法国则将剩余外汇储备兑成黄金接受挑战。这 些措施( ) A. 促进了各国的经济恢复 B. 导致了法西斯国家的崛起 C. 提高了黄金的货币地位 D. 加剧了全球经济的不稳定 二、非选择题 17. 阅读材料,完成下列要求。 材料:《旧五代史》由宋太祖朝宰相薛居正监修,历时一年余,完成卷帙一百五十卷。其材料采摭五代十国实录注记与范质《五代通录》等书而成,形式与《三国志》类似,将五代各自独立,先作本纪,后为列传,前者内容“凡 除官自宰相至于刺史,皆书于本纪,几同腐烂朝报。”书后置《天文志》《历志》《五行志》《礼志》《乐志》《食 货志》《刑法志》《选举志》《职官志》《郡县志》十志。其文体平弱,罗列事实,内容上多记载灾异祥瑞一类的史 事。 《新五代史》是欧阳修历时近二十年删繁《旧五代史》内容,兼采南唐、吴越、北汉等地史料以及金石材料而撰 成的史书。该书将梁、唐、晋、汉、周五代的本纪、列传分别贯通为一,并增设《死节传》《死事传》《义儿传》等 内容。志书整合了旧史中的《天文志》《历志》《五行志》为《司天》,并将《郡县志》以表谱的形式进行展示。欧 阳修剔除了旧史中有关祥瑞、梦兆、鬼神怪异等的史事以及佛道之学,并强调“忧劳可以兴国,逸豫可以亡身”。此 外,他还在书中常以“呜呼”发论,采用夹叙夹议、直言褒贬的形式,发表对历史的看法。赵翼就评价说:“自《三 国志·魏纪》创为回护之法(指掩盖曹操墓权的行迹),历代本纪遂奉以为式,延及《旧唐书》《旧五代史》,犹皆 尊之……直至欧阳公作《五代史》及修《新唐书》,始改从《春秋》笔法,以寓褒贬。” ——摘编自姜海军《新旧〈五代史〉编纂异同之比较》 的 (1)根据材料并结合所学知识,概括《新五代史》和《旧五代史》 差异。 (2)根据材料并结合所学知识,分析《新五代史》和《旧五代史》差异形成的历史原因。 18. 阅读材料,完成下列要求 。 材料一 时 政府移民实边的举措 期 采取“徙谪,实之初县”的措施,向河南地及岭南移民;罪人不足用 时,则“先发吏有谪及赘婿、贾人,后以尝有市籍者,又后以大父母 秦 (伯父母)、父母尝有市籍者,后入闾,取其左(贫民)”,同当地百 姓杂居进行垦殖事业 “先为室屋,具田器,乃募罪人及免徒复作令居之;不足,募以丁奴婢 赎罪及输奴婢欲以拜爵者;不足,乃募民之欲往者。皆赐高爵,复其 汉 家”。武帝时,在西域开创军屯,即由戍卒(成丁所须履行的谣役)从 事垦殖 聚拢内迁部族,封授其首领,设置羁糜府州;依托府兵制,征发兵卒前 隋 往边地屯田。开元后,政府于诸色征行人内及客户中招募,取丁壮情愿 唐 充健儿长住边军者;到达驻防地后,可以给募兵“家口二人粮”,第二 年则只给募兵本人衣粮,逐步实现屯兵的自给 宋 实边的需求较低,移民实边的举措较少 在西北、东北、西南等边疆地区大力开展军屯和民屯,前者以军人为 元 主,有军籍,父子相继,世代相袭;后者则为“移民就宽乡,或召募, 明 或罪徙者为民屯,皆领之有司”,除招募外,其他两种形式皆具有强制 清 性 ——以上材料均摘编自张冠梓《中国古代实边的演进》材料二 乾隆年间广开兵屯,以实现“屯田裕饷”。由于实行换班,收成丰歉与屯兵切身利益缺少有机联系,加 上兵屯各项开支,其所产粮食平均成本达每石约1.6两白银。嘉、道以来,维吾尔人户“孽生日繁”,内陆人口也络 绎进入天山南路。道光十九年(1839年),乌鲁木齐都统廉敬上疏称:“若以口内之兵远赴口外屯田,则营兵不能足 额,莫若将此项种地官兵全行裁撤,各归原伍,所遗地亩即令该同知赶紧招户认种,于兵丁技艺、民人生计均有裨 益。”翌年被准许,“裁屯安户”在南疆规模不断扩大,直到左宗棠主政新疆时,兵屯在南疆才得到恢复和发展。 ——摘编自王恒亮《道光朝南疆民屯研究》 (1)根据材料一并结合所学知识,概括中国古代移民实边举措演进的特点,并简述其历史意义。 (2)根据材料二并结合所学知识,简评道光年间“裁屯安户”的举措。 19. 阅读材料,完成下列要求。 殷鉴不远,在夏侯之世。 ——《诗经·大雅·荡荡》 以古为镜,可以知兴替。 ——唐太宗 《诗》《书》《春秋》,皆所以明乎得失之迹,存王道之正,垂鉴戒于后世者 也。 ——宋神宗 历史上的王朝大多会吸取前代的教训并调整统治政策,而具体效果又不一而足。请以“历史借鉴”为主题,选择中国 古代史为例,自拟论题并展开论述。(要求:论题明确,史论结合,逻辑严谨,表述成文) BAABC ABCBD CCDCAD 17 (1)差异:《旧五代史》是官修史书,撰写时间短,《新五代史》是私修史书,撰写时间长;前者体例是断代 史,后者体例为通史;前者内容繁琐,强调史实的记述,后者内容精简,注重史学的致用性;前者史料多为前朝文献 史料,后者史料来源更加广泛多元;前者注重为尊者讳,后者则强调秉笔直书;前者强调天人感应,后者强调人的主 观能动性(以人为本)。(任答四点) (2)原因:政府支持力度和受统治者意志差异影响;北宋王朝的巩固和发展;史学思想的发展;儒学复兴运动的兴 起(理学的兴起和发展;儒学由经学转为理学);社会环境的变化;编撰者的个人因素。(任答三点,言之有理即 可) 18 (1)特点:在继承中发展;始终由政府主导;方式逐渐由多元转向以屯田为主;由维护边防安全转为兼顾社会 经济发展;深受国家政治局势的影响;政府注重给予移民一定的物质和政策保障。历史意义:巩固和推动了中国统一 多民族国家的发展;促进了民族交流融合,推动了中华民族的发展壮大;促进了边疆地区的开发和与内地社会的协调 发展,有利于维护社会的稳定;为后世边疆治理提供了丰富的经验和启发。(2)积极:有利于边疆地区的开发;有利于减少财政开支;推动民族融合;消极:兵力减少,影响边疆地区稳定。 19 示例: 论题:历史借鉴的正确与适度关乎统治的效果。 论述:正确的历史借鉴有利于调整政策促进社会发展。汉初统治者借鉴了秦朝暴政导致速亡的教训,推行了轻徭薄赋 休养生息政策,使社会经济逐渐得到恢复和发展,为西汉的强盛奠定了基础。宋代吸取唐末五代藩镇林立、武将专权 的教训,采取收兵权、重文治等手段,加强了中央集权,巩固了统治。 但对历史教训的错误总结和过度防范也会对社会发展产生负面影响。如汉初将秦朝灭亡的原因归于缺乏王室封国的拱 卫并由此实行郡国并行制,最终酿成七国之乱威胁中央集权;鉴于元代相权扩张,威胁皇权,明太祖废除丞相制度, 皇帝权力高度集中,但由此也带来宦官专权,政治腐败,加剧了统治阶级内部矛盾等。 综上所述,在借鉴历史经验时,需要保持理性和审慎 的态度,一方面正确总结历史教训,另一方面也要防止走极端带 来新的问题,应结合实际情况进行灵活调整,同时,还需要注重创新应对社会的各种机遇和挑战。