当前位置:首页>文档>2010年高考数学试卷(理)(天津)(空白卷)_历年高考真题合集_数学历年高考真题_新·Word版2008-2025·高考数学真题_数学(按试卷类型分类)2008-2025_自主命题卷·数学(2008-2025)

2010年高考数学试卷(理)(天津)(空白卷)_历年高考真题合集_数学历年高考真题_新·Word版2008-2025·高考数学真题_数学(按试卷类型分类)2008-2025_自主命题卷·数学(2008-2025)

  • 2026-03-29 21:07:53 2026-01-24 23:20:31

文档预览

2010年高考数学试卷(理)(天津)(空白卷)_历年高考真题合集_数学历年高考真题_新·Word版2008-2025·高考数学真题_数学(按试卷类型分类)2008-2025_自主命题卷·数学(2008-2025)
2010年高考数学试卷(理)(天津)(空白卷)_历年高考真题合集_数学历年高考真题_新·Word版2008-2025·高考数学真题_数学(按试卷类型分类)2008-2025_自主命题卷·数学(2008-2025)
2010年高考数学试卷(理)(天津)(空白卷)_历年高考真题合集_数学历年高考真题_新·Word版2008-2025·高考数学真题_数学(按试卷类型分类)2008-2025_自主命题卷·数学(2008-2025)
2010年高考数学试卷(理)(天津)(空白卷)_历年高考真题合集_数学历年高考真题_新·Word版2008-2025·高考数学真题_数学(按试卷类型分类)2008-2025_自主命题卷·数学(2008-2025)
2010年高考数学试卷(理)(天津)(空白卷)_历年高考真题合集_数学历年高考真题_新·Word版2008-2025·高考数学真题_数学(按试卷类型分类)2008-2025_自主命题卷·数学(2008-2025)
2010年高考数学试卷(理)(天津)(空白卷)_历年高考真题合集_数学历年高考真题_新·Word版2008-2025·高考数学真题_数学(按试卷类型分类)2008-2025_自主命题卷·数学(2008-2025)
2010年高考数学试卷(理)(天津)(空白卷)_历年高考真题合集_数学历年高考真题_新·Word版2008-2025·高考数学真题_数学(按试卷类型分类)2008-2025_自主命题卷·数学(2008-2025)
2010年高考数学试卷(理)(天津)(空白卷)_历年高考真题合集_数学历年高考真题_新·Word版2008-2025·高考数学真题_数学(按试卷类型分类)2008-2025_自主命题卷·数学(2008-2025)

文档信息

文档格式
docx
文档大小
0.184 MB
文档页数
4 页
上传时间
2026-01-24 23:20:31

文档内容

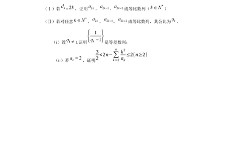
2010年高考天津卷理科 一、选择题 (1)i 是虚数单位,复数 (A)1+i (B)5+5i (C)-5-5i (D)-1-i (2)函数f(x)= 的零点所在的一个区间是 (A)(-2,-1)(B)(-1,0) (C)(0,1) (D)(1,2) (3)命题“若f(x)是奇函数,则f(-x)是奇函数”的否命题是 (A)若f(x) 是偶函数,则f(-x)是偶函数 (B)若f(x)不是奇函数,则f (-x)不是奇函数 (C)若f(-x)是奇函数,则f(x)是奇函数 (D)若f(-x)不是奇函数,则f (x)不是奇函数 (4)阅读右边的程序框图,若输出s的值为-7,则判断框内可填写 (A)i<3? (B)i<4? (C)i<5? (D)i<6? (5)已知双曲线 的一条渐近线方程是y= ,它的一个 焦点在抛物线 的准线上,则双曲线的方程为 (A) (B) (C) (D) (6)已知 是首项为1的等比数列, 是 的前n项和, 且 ,则数列 的前5项和为 (A) 或5 (B) 或5 (C) (D) ( 7 ) 在 △ ABC 中 , 内 角 A,B,C 的 对 边 分 别 是 a,b,c , 若 , ,则A= (A) (B) (C) (D) (8)若函数f(x)= ,若f(a)>f(-a),则实数a的取值范围是 (A)(-1,0)∪(0,1) (B)(-∞,-1)∪(1,+∞) 第1页 | 共4页(C)(-1,0)∪(1,+∞) (D)(-∞,-1)∪(0,1) (9)设集合A= 若A B,则实数a,b必满 足 (A) (B) (C) (D) (10)如图,用四种不同颜色给图中的 A,B,C,D,E,F六个点涂色,要求每个点涂一种颜色, 且图中每条线段的两个端点涂不同颜色,则不同的涂色方法有 (A)288种 (B)264种 (C)240种 (D)168种 二、填空题 (11)甲、乙两人在10天中每天加工零件的个数用茎叶图表示如下图,中间一列的数字表 示零件个数的十位数,两边的数字表示零件个数的个位数,则这 10天甲、乙两人日加 工零件的平均数分别为_________ 和______。 (12)一个几何体的三视图如图所示,则这个几何体的体积为__________ {x=t,¿¿¿¿ (13)已知圆 C 的圆心是直线 (t 为参数)与 x 轴的交点,且圆 C 与直线 x+y+3=0相切,则圆C的方程为_________ (14)如图,四边形ABCD是圆O的内接四边形,延长AB和DC相交于点P, 若 ,则 的值为_____。 (15)如图,在 中, , , ,则 ________. ( 16 ) 设 函 数 , 对 任 意 , 恒成立,则实数 的取值范围是________. 三、解答题 (17)(本小题满分12分)已知函数 第2页 | 共4页(Ⅰ)求函数 的最小正周期及在区间 上的最大值和最小值; (Ⅱ)若 ,求 的值。 (18).(本小题满分12分)某射手每次射击击中目标的概率是 ,且各次射击的结果互 不影响。 (Ⅰ)假设这名射手射击5次,求恰有2次击中目标的概率 (Ⅱ)假设这名射手射击5次,求有3次连续击中目标。另外2次未击中目标的概率; (Ⅲ)假设这名射手射击3次,每次射击,击中目标得1分,未击中目标得0分,在3 次射击中,若有2次连续击中,而另外1次未击中,则额外加1分;若3次全击 中,则额外加3分,记 为射手射击3次后的总的分数,求 的分布列。 (19)(本小题满分12分)如图,在长方体 中, 、 分 别是棱 , 上的点, , (1)求异面直线 与 所成角的余弦值; (2)证明 平面 (3)求二面角 的正弦值。 (20)(本小题满分12分) 已知椭圆 的离心率 ,连接椭圆的四个顶点得到的菱形 的面积为4。 (1)求椭圆的方程; (2)设直线 与椭圆相交于不同的两点 ,已知点 的坐标为( ),点 在线段 的垂直平分线上,且 ,求 的值 (21)(本小题满分14分) 已知函数 (Ⅰ)求函数 的单调区间和极值; 第3页 | 共4页(Ⅱ)已知函数 的图象与函数 的图象关于直线 对称,证明当 时, (Ⅲ)如果 ,且 ,证明 (22)(本小题满分14分) 在数列 中, ,且对任意 . , , 成等差数列,其公差 为 。 (Ⅰ)若 = ,证明 , , 成等比数列( ) (Ⅱ)若对任意 , , , 成等比数列,其公比为 。 (i)设 1.证明 是等差数列; 3 n k2 <2n−∑ ≤2(n≥2) 2 a (ii)若 ,证明 k=2 k 第4页 | 共4页