当前位置:首页>文档>2025年普通高等学校招生全国统一考试数学试题(全国新课标Ⅱ卷)_2025高考真题

2025年普通高等学校招生全国统一考试数学试题(全国新课标Ⅱ卷)_2025高考真题

  • 2026-04-10 13:33:53 2026-02-09 08:59:59

文档预览

2025年普通高等学校招生全国统一考试数学试题(全国新课标Ⅱ卷)_2025高考真题
2025年普通高等学校招生全国统一考试数学试题(全国新课标Ⅱ卷)_2025高考真题
2025年普通高等学校招生全国统一考试数学试题(全国新课标Ⅱ卷)_2025高考真题
2025年普通高等学校招生全国统一考试数学试题(全国新课标Ⅱ卷)_2025高考真题
2025年普通高等学校招生全国统一考试数学试题(全国新课标Ⅱ卷)_2025高考真题
2025年普通高等学校招生全国统一考试数学试题(全国新课标Ⅱ卷)_2025高考真题
2025年普通高等学校招生全国统一考试数学试题(全国新课标Ⅱ卷)_2025高考真题
2025年普通高等学校招生全国统一考试数学试题(全国新课标Ⅱ卷)_2025高考真题

文档信息

文档格式
docx
文档大小
0.248 MB
文档页数
4 页
上传时间
2026-02-09 08:59:59

文档内容

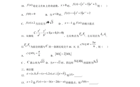
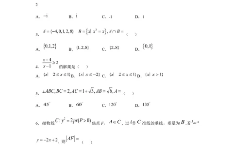
2025年普通高等学校招生全国统一考试数学试题(全国新课标Ⅱ卷)(网络完整版word) 一、单选题 平均数为( ) 1. A.8 B.9 C.12 D.18 . ( ) 2 A. B. C.-1 D.1 3. ( ) A. B. C. D. 4. 的解集是( ) A. B. C. D. 5. ( ) A. B. C. D. 6.抛物线 焦点F, , 过 作 准线的垂线,垂足为 .若 , 则 ( ) A.3 B.4 C.5 D.6 7. 为等差 前 项和, ( ) A. B. C. D. 8. , ( ) 第 1 页,共 4 页 试题资源网-凸飞教育科技(北京)有限公司A. B. C. D. 二、多选题 9. 为等比数列 的前 项和, 为 ,则( ) 的公比, A. B. C. D. 10. 是定义在R上的奇函数, 时, 则( ) A. B.当 时, C. 当且仅当 D . 是 的极大值点 11.双曲线 ,左右焦点为 . 左右顶点为 . 以 为直径的圆与 的一条渐近线交于M,N, 且 , 则( ) A. B. C . 离心率为 D.当 时,四边形 的面积为 三、填空题 12. 则 ______. 13. 是 的极值点,则 _______. 14.一个底面半径为4 ,高为9cm的封闭圆柱形宋器内有两个半径相等的铁球,则铁球 半径的最大值为______ . 四、解答题 15. 第 2 页,共 4 页 试题资源网-凸飞教育科技(北京)有限公司(1)求 ; (2) 求 值域和单调区间. 16. 椭圆 的离心率为 , 长轴长为4. (1)求椭圆 的方程 (2)过点 的直线l与 交于A,B,O为坐标原点,若 , 求 . 17. 如图,四边形 中, , F为 中点,E在 上, , . 将四边形EFDA沿EF翻折至四边形 , 使得面 与面 所成的二面角为 . (1)证明: 平面 . (2)求面 与面 所成二面角的正弦值. 18. . (1)证明: 在 存在唯一极值点和唯一零点; (2)设 为 在 的极值点和零点, ① ,证明: 在 单调递减; 第 3 页,共 4 页 试题资源网-凸飞教育科技(北京)有限公司②比较 与 的大小,并证明. 19.甲、乙乒乓球练习,每个球胜者得 1分,负者得 0分,设每个球甲胜概率为 p( ),乙胜概率为q,p+q=1,且各球胜负独立,对正整数k≥2,记P 为打完k个球 k 后乙比甲至少多得2分的概率. (1)求P P(用p表示) 3, 4 (2)若 , 求p. (3)证明:对任意正整数 . 第 4 页,共 4 页 试题资源网-凸飞教育科技(北京)有限公司