当前位置:首页>文档>高二数学第一次月考卷03(参考答案)(江苏专用)(1)_1多考区联考_2510052025-2026学年高二数学上学期第一次月考

高二数学第一次月考卷03(参考答案)(江苏专用)(1)_1多考区联考_2510052025-2026学年高二数学上学期第一次月考

  • 2026-03-29 15:04:56 2026-02-11 02:50:32

文档预览

高二数学第一次月考卷03(参考答案)(江苏专用)(1)_1多考区联考_2510052025-2026学年高二数学上学期第一次月考
高二数学第一次月考卷03(参考答案)(江苏专用)(1)_1多考区联考_2510052025-2026学年高二数学上学期第一次月考
高二数学第一次月考卷03(参考答案)(江苏专用)(1)_1多考区联考_2510052025-2026学年高二数学上学期第一次月考
高二数学第一次月考卷03(参考答案)(江苏专用)(1)_1多考区联考_2510052025-2026学年高二数学上学期第一次月考
高二数学第一次月考卷03(参考答案)(江苏专用)(1)_1多考区联考_2510052025-2026学年高二数学上学期第一次月考
高二数学第一次月考卷03(参考答案)(江苏专用)(1)_1多考区联考_2510052025-2026学年高二数学上学期第一次月考
高二数学第一次月考卷03(参考答案)(江苏专用)(1)_1多考区联考_2510052025-2026学年高二数学上学期第一次月考
高二数学第一次月考卷03(参考答案)(江苏专用)(1)_1多考区联考_2510052025-2026学年高二数学上学期第一次月考
高二数学第一次月考卷03(参考答案)(江苏专用)(1)_1多考区联考_2510052025-2026学年高二数学上学期第一次月考
高二数学第一次月考卷03(参考答案)(江苏专用)(1)_1多考区联考_2510052025-2026学年高二数学上学期第一次月考
高二数学第一次月考卷03(参考答案)(江苏专用)(1)_1多考区联考_2510052025-2026学年高二数学上学期第一次月考

文档信息

文档格式
docx
文档大小
0.339 MB
文档页数
7 页
上传时间
2026-02-11 02:50:32

文档内容

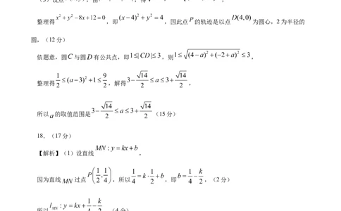
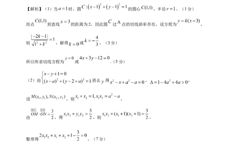
2025-2026 学年高二数学上学期第一次月考卷 03(江苏专用) 参考答案 第一部分(选择题 共58分) 一、选择题:本题共8小题,每小题5分,共40分。在每小题给出的四个选项中,只有一项是符合题目要 求的。 1 2 3 4 5 6 7 8 B A C D C C B D 二、选择题:本题共3小题,每小题6分,共18分.在每小题给出的选项中,有多项符合题目要求.全部 选对的得6分,部分选对的得部分分,有选错的得0分. 9 10 11 ACD AC ABC 第二部分(非选择题 共92分) 三、填空题:本题共3小题,每小题5分,共15分。 12. 13. 7 14. 四、解答题:本题共5小题,共77分。解答应写出文字说明、证明过程或演算步骤。 15.(13分) 【解析】(1)设原点O到直线m的距离为 , 则 ,解得 或 ;(5分) (2)由 解得 ,即m与n的交点为 .(7分) 当直线l过原点时,此时直线斜率为 , 所以直线l的方程为 ;(9分) 1 / 7 学学科科网网((北北京京))股股份份有有限限公公司司当直线l不过原点时,设l的方程为 , 将 代入得 , 所以直线l的方程为 .(11分) 故满足条件的直线l的方程为 或 (13分) 16.(15分) 【解析】(1)由题意,当 平分 时,即直线l过圆心C时. 圆 的圆心为 ,半径 ,(2分) 则直线 的斜率为 ,(4分) 所以 的方程为 ,即 .(6分) (2)当斜率不存在时,直线 的方程为 , 圆心 到 的距离为2,等于半径,符合题意;(9分) 当斜率存在时,设直线 的方程为 ,即 , 则 ,解得 ,(13分) 所以 的方程为 ; 所以直线 的方程为 或 . 2 / 7 学学科科网网((北北京京))股股份份有有限限公公司司(15分) 17.(15分) 【解析】(1)当 时,圆 的圆心 ,半径 ,(1分) 而点 到直线 的距离为2,因此圆 过 点的切线斜率存在,设方程为 , 则 ,解得 或 ,(3分) 所以所求切线方程为 或 .(5分) (2)由 消去 得 , , 设 ,则 , 由 ,得 ,则 , 整理得 ,(7分) 则 ,即 ,解得 ,满足 , 所以 . 3 / 7 学学科科网网((北北京京))股股份份有有限限公公司司(9分) (3)设点 ,由 ,得 , 整理得 ,即 ,因此点 的轨迹是以点 为圆心,2为半径的 圆,(12分) 依题意,圆 与圆 有公共点,即 ,则 , 整理得 ,解得 , 所以 的取值范围是 (15分) 18.(17分) 【解析】(1)设直线 , 因为直线 过点 ,所以 ,即 ,(2分) 所以 ,(4分) 又因为 , ,易得直线 ,直线 , 联立 ,解得 ;联立 ,解得 , 4 / 7 学学科科网网((北北京京))股股份份有有限限公公司司故 , .(8分) (2)因为 , ,所以 ,所以 ,(9分) 因为 , 设M到直线 的距离为d,则 ,(11分) 所以 , 当且仅当 ,即 时,等号成立, 所以S的最小值为 .(17分) 19.(17分) 【解析】(1)由题可知,设圆的方程为 , 由直线 与圆相切于点 , 得 ,解得 , 所以圆的方程为 ;(5分) (2)设圆心到直线 的距离为 , 5 / 7 学学科科网网((北北京京))股股份份有有限限公公司司因为 ,所以 , 所以 , 解得 ;(9分) (3)由题意知, , 设直线 的斜率为 , 则直线 的方程为 , 由 ,得 , 解得 或 , 则点 的坐标为 ,(11分) 又直线 的斜率为 , 6 / 7 学学科科网网((北北京京))股股份份有有限限公公司司同理可得:点 的坐标为 ,(13分) 由题可知: , , 又 , 同理 , , 当且仅当 时等号成立, 的最大值为 .(17分) 7 / 7 学学科科网网((北北京京))股股份份有有限限公公司司