当前位置:首页>文档>高三数学(5月二模)0517答案_2025年5月_05192025届湖北省黄冈中学高三5月第二次模拟预测_数学

高三数学(5月二模)0517答案_2025年5月_05192025届湖北省黄冈中学高三5月第二次模拟预测_数学

  • 2026-04-15 18:05:57 2026-02-12 04:46:43

文档预览

高三数学(5月二模)0517答案_2025年5月_05192025届湖北省黄冈中学高三5月第二次模拟预测_数学
高三数学(5月二模)0517答案_2025年5月_05192025届湖北省黄冈中学高三5月第二次模拟预测_数学
高三数学(5月二模)0517答案_2025年5月_05192025届湖北省黄冈中学高三5月第二次模拟预测_数学
高三数学(5月二模)0517答案_2025年5月_05192025届湖北省黄冈中学高三5月第二次模拟预测_数学
高三数学(5月二模)0517答案_2025年5月_05192025届湖北省黄冈中学高三5月第二次模拟预测_数学
高三数学(5月二模)0517答案_2025年5月_05192025届湖北省黄冈中学高三5月第二次模拟预测_数学
高三数学(5月二模)0517答案_2025年5月_05192025届湖北省黄冈中学高三5月第二次模拟预测_数学
高三数学(5月二模)0517答案_2025年5月_05192025届湖北省黄冈中学高三5月第二次模拟预测_数学
高三数学(5月二模)0517答案_2025年5月_05192025届湖北省黄冈中学高三5月第二次模拟预测_数学
高三数学(5月二模)0517答案_2025年5月_05192025届湖北省黄冈中学高三5月第二次模拟预测_数学
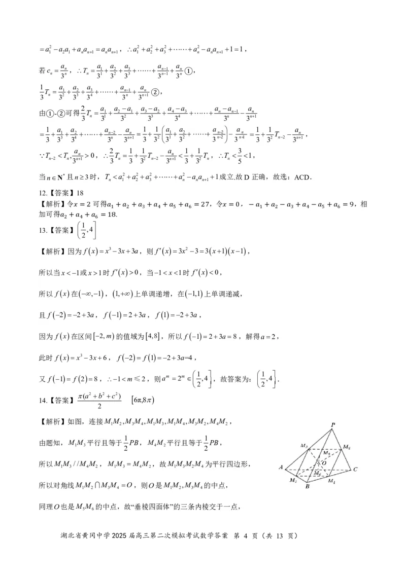
高三数学(5月二模)0517答案_2025年5月_05192025届湖北省黄冈中学高三5月第二次模拟预测_数学
高三数学(5月二模)0517答案_2025年5月_05192025届湖北省黄冈中学高三5月第二次模拟预测_数学
高三数学(5月二模)0517答案_2025年5月_05192025届湖北省黄冈中学高三5月第二次模拟预测_数学
高三数学(5月二模)0517答案_2025年5月_05192025届湖北省黄冈中学高三5月第二次模拟预测_数学
高三数学(5月二模)0517答案_2025年5月_05192025届湖北省黄冈中学高三5月第二次模拟预测_数学
高三数学(5月二模)0517答案_2025年5月_05192025届湖北省黄冈中学高三5月第二次模拟预测_数学
高三数学(5月二模)0517答案_2025年5月_05192025届湖北省黄冈中学高三5月第二次模拟预测_数学

文档信息

文档格式
pdf
文档大小
1.431 MB
文档页数
13 页
上传时间
2026-02-12 04:46:43

文档内容

湖北省黄冈中学 2025 届高三 5 月第二次模拟考试 数学参考答案及评分细则 1.【答案】B 【解析】因为 z2  z 2 4,所以 z 2. 故选:B. 2.【答案】C 【解析】 Z .由 ,可得 ,所以 6 .所 以= ∈ −2≤ ≤4. 故=选−:2C,−.1,0,1,2,3,4 +1≥1 −1< ≤ 5 = −1< 3.【答案】B ≤5 ∩ = 0,1,2,3,4 【解析】等差数列a 中,a a 10,a 5. n 4 6 5 又a a 15,所以5a 15,解得a 3. 5 9 9 9 设等差数列{a }的公差为d,根据等差数列通项公式a a (n1)d, n n 1 a a 4d 5 可得 5 1 ,解得d 2,a 13,a 132(n1)2n15, a a 8d 3 1 n 9 1 nn1 S 13n 2n214n ,由S 0解得0n14,则使S 0的最大n值为13. 故选:B. n 2 n n 4.【答案】A 【解析】设圆台的侧面展开图扇环的内圆半径为r ,外圆半径为r ,(r r), 1 2 2 1 则圆台母线长为2r r , 2 1 2πr 2πr 设圆台上、下底面圆半径分别为r,r (r r ),则2πr  1,2πr  2 , 3 4 3 4 3 3 4 3 2 4 4 2(r r) (r r) ,圆台上下底面圆周长之差的绝对值为 . 故选:A. 4 3 3 2 1 3 3 5.【答案】C         2 2 【解析】因为 AB AD  ABAD,所以 ABAD  ABAD ,           uuur uuur 即 AB 2  AD 2 2ABAD  AB 2  AD 2 2ABAD ,所以4ABAD0,即 ABAD0 ,     3  3    1 3 因为AC ABBC AB BD AB ADAB  AB AD, 2 2 2 2    1  3   1  3 2 3  2 所以ACAD AB ADAD ABAD AD  AD 3. 故选:C.  2 2  2 2 2 6.【答案】D 【解析】记“从甲箱中取出的球为红球”为事件 ,记“从甲箱中取出的球为黑球”为事件 ,所以 1 . 故选:D. 2 = 2 3 3 3 12 7.【 1答 案 】∣ C 1 + 2 ∣ 2 =5×10+5×5=25 湖北省黄冈中学2025届高三第二次模拟考试数学答案 第 1 页(共 13 页) {#{QQABbYIs4gAYgAaACB5KQQVOC0kQkIAhLcoMBUCXKAwCAZNAFIA=}#}  【解析】令函数h(x) f(x)g(x)2cos xa(x3)2 3a,  3     可得h(6x)2cos[ (6x)]a[(6x)3]2 3a2cos(2 x)a(3x)2 3a 2cos xa(x3)2 3a, 3 3 3 即h(x)h(6x),所以函数h(x)关于直线x3对称, 因为函数 y f(x)与yg(x)恰有一个交点,所以h(3)0, 2 可得2cosa(33)2 3a23a0,解得a , 3 2  2 当a ,x3时,2cos x3a≥0,a(x3)2 0,所以a . 故选:C. 3 3 3 8.【答案】A 【解析】令 f  x ex 2cosx,则 f x ex 2sinx,  π 当x 0, 时,sinx0,故 f x ex 2sinx0恒成立,  2  π 故 f  x ex 2cosx在x 0, 上单调递增,  2 又 f 01210, f   π  e π 4  2 0,由零点存在定理得  0, π , 4  4 令g  x ex 2sinx1,则g x ex 2cosx,  π  π 由上面的求解可知g x ex 2cosx在x 0, 上单调递增,且存在 0, ,使得g0,  2  4  π 当x0,时,gx0,当x  , 时,gx0,  2  π 所以g  x ex 2sinx1在x0,上单调递减,在x  , 上单调递增,  2 又g00,g   π  e π 2 30,故gx的零点  , π ,g0,所以. 故选:A. 2  2 9.【答案】BCD 4 1 【解析】对于A中,由E(X)np2,D(X)np(1 p) ,解得 p ,所以A正确; 3 3 对于B中,由正态曲线的对称性,可得P(4)P(2)0.2,则 1P(4)P(2) 10.20.2 P(23)  0.3 ,所以B错误; 2 2 对于C中,由于70.6=4.2,则第60百分位数为由小到大排列的第5个数为9,所以C错误; 9 对于D中,若样本数据2x 1,2x 1,,2x 1的方差为9,则x,x ,,x 的方差为 ,所以 D不 1 2 n 1 2 n 4 正确. 故选:BCD. 10.【答案】AC 【解析】对于A,如图,分别过A,B,M作抛物线准线的垂线,垂足分别为A,B ,M , 1 1 1 湖北省黄冈中学2025届高三第二次模拟考试数学答案 第 2 页(共 13 页) {#{QQABbYIs4gAYgAaACB5KQQVOC0kQkIAhLcoMBUCXKAwCAZNAFIA=}#}由于圆的直径AB过焦点F,则M(6,4)到准线的距离为 AA  BB AF  BF AB MM  1 1    8, 1 2 2 2 p p 又 MM 6 ,6 8,解得 p4,故A正确; 1 2 2 对于B,设直线CD的方程为xmy2,C(x ,y ) D(x ,y ),又抛物线W:y2 8x, 1 1 2 2 xmy2 y2 y2 由 可得y2 8my160,则 y  y 8m,y y 16,x x  1  2 4, y2 8x 1 2 1 2 1 2 8 8 36 36 CF 9 DF x 29(x 2)x  20≥2 x  2032(当且仅当x 6时等号成立),故B错误; 1 2 1 x 1 x 1 1 1 对于C,M(6,4),F(2,0),MF 4 2,设△CFM 的周长为l, 则l  CF  FM  CM 4 2  CF  CM≥4 2  MM 4 2 8,周长的最小值为4 2 814 ,故C 1 正确; S CF x 2 对于D, △COF 3  1 ,x 3x 4, S DF x 2 1 2 △DOF 2 2 x x 4,则(3x 4)x 4,解得x  或2(舍), 1 2 2 2 2 3 2 32 x 6,CD  x x  p6 4 ,故D错误. 故选:AC. 1 1 2 3 3 11.【答案】ACD 【解析】对于A:由题意可知c 2n,c 2n6,c c  2n6所以c c c ,所以  c  为“3 n n3 n 3 n3 n 3 n 阶可分拆数列”; 对于B:存在,理由如下:由已知得a 1,a 1,a a a 2,c m,c m,c 2m,c c c , 1 2 3 1 2 1 2 3 3 1 2 即c c c , 对mR,当正整数k 1时,存在n2,使得c c c 成立,即数列c 为“1阶 12 1 2 kn k n n 可分拆数列”. 对于C:QS 3na,当n1时,c 3a,当n2时,c  S S   3n a    3n1a  23n1, n 1 n n n1 若数列  c  为“1阶可分拆数列”,则存在正整数n使得c c c 成立, n 1n 1 n 当n1时,c c c ,即623a,解得a0,当n2时,23n 3a23n1,即43n13a, 2 1 1 因a0,所以3a3,又43n112,故方程43n13a无解,符合条件的实数a的值为0. 对于D:a a a ,  nN* ,当n2时,a2 a a a a a a a , n2 n1 n n n n1 n1 n n1 n n1 a2a2a2a2 a2a a a a a a a a a a a a a a a a  1 2 3 n 1 2 3 2 1 3 4 3 2 4 5 4 3 n n1 n n1 湖北省黄冈中学2025届高三第二次模拟考试数学答案 第 3 页(共 13 页) {#{QQABbYIs4gAYgAaACB5KQQVOC0kQkIAhLcoMBUCXKAwCAZNAFIA=}#}a2a a a a a a ,a2a2a2a2a a 11, 1 2 1 n n1 n n1 1 2 3 n n n1 a a a a a a 若c  n ,T  1  2  3  n1  n , n 3n n 31 32 33 3n1 3n 1 a a a a a ① T  1  2  3  n1  n , 3 n 32 33 34 3n 3n1 2 a a a a ②a a a a a a 由 - 可得 T  1  2 1  3 2  4 3  n n1  n 3 n 31 32 33 34 3n 3n1 1① ②a a a a 1 1 a a a  a 1 1 a   1  2  n2  n    1 2 n2 n   T  n , 3 33 34 3n 3n1 3 32 31 32 3n2  3n1 3 32 n2 3n1 a 2 1 1 a 1 1 3 T T , n 0, T   T  n   T ,T  1, n2 n 3n1 3 n 3 32 n2 3n1 3 32 n n 5 当nN*且n3时,T a2a2a2a2a a 1成立.故D正确,故选:ACD. n 1 2 3 n n n1 12.【答案】18 【解析】令 可得 ,令 , ,相 加可得 . =2 1+ 2+ 3+ 4+ 5+ 6 =27 =0 − 1+ 2− 3+ 4− 5+ 6 =9 1  13.【答 案2+】  4+,4  6 =18 2  【解析】因为 f xx33x3a,则 fx3x233x1x1, 所以当x1或x1时 fx0,当1 x1时 fx0, 所以 f x在,1,1,上单调递增,在1,1上单调递减, 且 f 223a, f 123a, f 123a, 因为 f x在区间2,m的值域为4,8,所以 f 123a8,解得a2, 此时 f xx3 3x6, f 2 f 123a=4, 1  1  又 f 1 f 28,1m≤2,则am 2m  ,4  ,故答案为: ,4  . 2  2  14.【答案】 (a2 b2 c2)  6π,8 2 【解析】如图,连接M M ,M M ,M M ,M M ,M M ,M M , 1 2 3 4 1 3 1 4 3 2 4 2 1 1 由题知,M M 平行且等于 PB,M M 平行且等于 PB, 1 3 2 4 2 2 所以M M //M M ,M M M M ,故M M M M 为平行四边形, 1 3 4 2 1 3 4 2 1 3 2 4 所以对角线M M M M O,则O是M M ,M M 的中点, 1 2 3 4 1 2 3 4 同理O也是M M 的中点,故“垂棱四面体”的三条内棱交于一点, 5 6 湖北省黄冈中学2025届高三第二次模拟考试数学答案 第 4 页(共 13 页) {#{QQABbYIs4gAYgAaACB5KQQVOC0kQkIAhLcoMBUCXKAwCAZNAFIA=}#}由三条内棱两两垂直,易知M M M M 为菱形,则M M M M , 1 3 2 4 1 3 1 4 显然PB2M M ,AC2M M ,故PB AC,同理PABC,PC AB, 1 3 1 4 所以“垂棱四面体”PABC可补为如下图示的长方体, 1 设长宽高分别为x,y,z,则其外接球半径R x2 y2 z2 , 2 PABC外接球表面积S 4πR2 π(x2  y2 z2), 显然 AB2 x2  y2 , BC2  y2 z2 ,AC2 x2 z2,又AB2 BC2 AC2 a2 b2 c2 , (a2 b2 c2) (a2 b2 c2) a2 b2 c2 2(x2  y2 z2),S 4πR2 π(x2  y2 z2) ,S  . 2 2 1 同理,题设右图可将PABO补成长方体, 三棱锥PABO外接球表面积为S  (AB2BO2AO2)π, 2  x2  y2 4 设A(x,y ),B(x ,y ), 联立 ,得(1k2)x2 2 3kx10,则12k2 4(1k2)0, 1 1 2 2 ykx 3  2 3k  2 3 x x  y  y   1 2 1k2  1 2 1k2 所以 ,则 ,  1  34k2 x x  y y    1 2 1k2   1 2 1k2 由A,B,O为某长方体的三个顶点,结合题设新定义,易知△ABO中A,B为锐角,   24k2 1 所以只需角O为锐角,即OAOB0,则xx  y y   0,解得0≤k2  , 1 2 1 2 1k2 2 又AB2 (x x )2(y y )2,BO2  x2 y2,AO2  x2 y2, 1 2 1 2 2 2 1 1 1 所以S  [(x x )2(y y )2x2 y2x2 y2]π [(x x )2 (y  y )2 3xx  3y y ]π, 2 1 2 1 2 2 2 1 1 1 2 1 2 1 2 1 2 2 3k 2 3 3 3(34k2) 6(1+2k2)  6  则Sk[( )2( )2  ]π= π=12 π, 1k2 1k2 1k2 1k2 1k2  1k2  1 1 0≤k2  ,k=0时Sk最小,最小值为6π,又k2  时,Sk8, 2 2 Sk的取值范围是 6π,8 . 故答案为: (a2 b2 c2)  6π,8 2 10 1 15.【答案】(1)sinC  ;(2)tanDAC  . 10 7 【解析】(1)[方法一]:正余弦定理综合法 湖北省黄冈中学2025届高三第二次模拟考试数学答案 第 5 页(共 13 页) {#{QQABbYIs4gAYgAaACB5KQQVOC0kQkIAhLcoMBUCXKAwCAZNAFIA=}#}2 由余弦定理得b2 a2 c2 2accosB16224 2 10 ,所以 b 10. 2 c b csinB 10 由正弦定理得  sinC  ··········································· 5分 sinC sinB b 10 [方法二]【最优解】:几何法 过点A作AEBC,垂足为E.在Rt△ABE中,由c= 2,B=45°,可得AE BE 1, 1 10 又a4,所以EC 3.在Rt△AEC 中, AC AE2 EC2  10 ,因此sinC  .······ 5分 10 10 (2)[方法一]:两角和的正弦公式法 2 5   5 由于cosADC ,ADC ,,所以sinADC 1cos2ADC  . 5 2  5     3 10 由于ADC ,,所以C0, ,所以cosC  1sin2C  . 2   2 10 所以sinDACsinDAC sinADCC 5 3 10  2 5 10 2 sinADCcosCcosADCsinC          . 5 10  5  10 10   7 2 由于DAC0, ,所以cosDAC 1sin2DAC  .  2 10 sinDAC 1 所以tanDAC  .···························································13分 cosDAC 7 [方法二]【最优解】:几何法+两角差的正切公式法 2 5 2 5 在(1)的方法二的图中,由cosADC ,可得cosADEcos(ADC)cosADC , 5 5 2 5 sinDAE 从而sinDAEcosADE ,tanDAE 2 . 5 cosDAE EC 又由(1)可得tanEAC 3,所以 AE tanEACtanEAD 32 1 tanDACtan(EACEAD)   .······················ 13分 1tanEACtanEAD 132 7 [方法三]:几何法+正弦定理法 在(1)的方法二中可得AE1,CE3,AC 10. 2 5 2 5 5 由cosADC ,可得cosADEcos(ADC)cosADC ,从而sinADE . 5 5 5 AE 在Rt△ADE中,AD  5,ED ADcosADE  2 ,所以CDCEDE 1. sinADE 湖北省黄冈中学2025届高三第二次模拟考试数学答案 第 6 页(共 13 页) {#{QQABbYIs4gAYgAaACB5KQQVOC0kQkIAhLcoMBUCXKAwCAZNAFIA=}#}CD 2 在△ACD中,由正弦定理可得sinDAC sinC , AD 10   7 2 由于DAC0, ,所以cosDAC 1sin2DAC  ,  2 10 sinDAC 1 所以tanDAC  .··························································13分 cosDAC 7 [方法四]:构造直角三角形法 如图,作AEBC,垂足为E,作DG AC,垂足为点G. 在(1)的方法二中可得AE1,CE3,AC 10. 2 5 2 5 5 由cosADC ,可得cosADE , sinADE 1cos2ADE  . 5 5 5 AE 在Rt△ADE中,AD  5,DE  AD2AE2  2,CDCEDE 1. sinADE 10 10 3 10 由(1)知sinC  ,所以在Rt△CDG中,DGCDsinC  ,CG CD2DG2  , 10 10 10 7 10 从而AG ACCG . 10 DG 1 1 在Rt△ADG中,tanDAG  ,所以tanDAC  .······························· 13分 AG 7 7 3 2 16.【答案】(1)证明见解析;(2) 19 【解析】(1)证明:AB BC3 2,AC  2AB , ABC为等腰直角三角形. 取线段AC 的中点M ,连接EM ,BM , △ AB BC,M 为AC 的中点,BM  AC ,············································ 1分 AA //CC ,AA CC , 1 1 1 1 四边形AACC 是平行四边形,AC//AC ,AC  AC , 1 1 1 1 1 1 E ,M 分别是AC ,AC 的中点, 1 1 四边形AAEM 是平行四边形,EM //AA , 1 1 AA //BB ,EM //BB , 1 1 1 AC BB ,AC  EM ,···························································· 4分 1 EM BM M ,AC 平面BEM , EB平面BEM ,EB AC. ······················································5分 (2)解:由(1)可知,AC 平面BEM , 过点E在平面BEM 内作EO  BM ,垂足为点O, AC 平面BEM ,EO平面BEM ,EO  AC, EO  BM ,BMAC M ,BM 、AC  平面ABC,EO 平面ABC, 湖北省黄冈中学2025届高三第二次模拟考试数学答案 第 7 页(共 13 页) {#{QQABbYIs4gAYgAaACB5KQQVOC0kQkIAhLcoMBUCXKAwCAZNAFIA=}#}EO 直线AA 与平面ABC所成的角为EMO ,tanEMO 3,EO3OM , 1 OM EM  EO2 OM2  10OM  10,OM 1,EO3,································ 7分 ABBC 3 2,AC  2AB , AC 6, 1 AB2 BC2  AC2,AB BC,M 为AC 的中点,MB AC 3, 2 以点O为坐标原点,在平面ABC内过O作BM 的垂线为x轴, OB所在直线为y轴,OE所在直线为z轴,建立如图所示空间直角坐标系, 则A(3,1,0),B(0,2,0),M(0,1,0),C(3,1,0),E(0,0,3),·······························8分       ME(0,1,3),则OA OAAA OAME(3,1,0)(0,1,3)(3,0,3) 1 1  6  6 6 18 点A(3,0,3),AF  AA  (0,1,3)(0, , ), 1 19 1 19 19 19    6 18 51 18  则BF BAAF (3,3,0)(0, , )(3, , ),又CB(3,3,0), 19 19 19 19  设平面BCF 的法向量为m(x,y,z),   mCB3x3y0  则  51 18 , mBF 3x y z0  19 19  取x1,得m(1,1,6),·····························································10分   设平面ABF的法向量为n(x,y,z),AB(3,3,0),   nAB3x3y0   则  51 18 ,取x3,得n(3,3,1),································12分 nBF 3x y z0  19 19     |mn| 336 6 3 2 |cosm,n|      ,··················14分 |m||n| 12 (1)2 (6)2 32 32 (1)2 19 2 19 3 2 平面ABF与平面CBF 夹角的余弦值为 .···········································15分 19 17.【答案】(1)分布列见解析, . (2) 18 97 103 −1 【解析】(1)X的可能取值为: 58,4, 2200 概×率2分00别为: ; ; ; 3 1 2 1 2 1 2 1 2 1 1 1 ∁3 1 ∁1∁2+∁3∁2+∁2∁3+∁1∁3 13 ∁2∁1∁3 3 3 3 3 所(以 =X8的)=概率∁6分=布20列 为( =4)= ∁6 =20 ( =2)= ∁6 =10 X 8 4 2 p 1 13 3 20 20 10 . ···················································7分 1 13 3 18 ((2 ))=记8乙×一2轮0+比4赛×的20得+分2为×1Y0,=事5件 为“一轮比赛甲乙得分相同”, 湖北省黄冈中学2025届高三第二次模拟考试数学答案 第 8 页(共 13 页) {#{QQABbYIs4gAYgAaACB5KQQVOC0kQkIAhLcoMBUCXKAwCAZNAFIA=}#}则 ( )= ( = =8)+ ( = =4)+ ( = =2) = ( =8) ( =8)+ ( =. 4) ( =4)+ ( =2) ( =2) 1 2 13 2 3 2 103 = 20 + 20 + 10 =200 记事件B为“第n轮比赛甲乙得分不同”,则 . 97 所以两人共抽n轮小球的概率 ( )=1− ( )= 200 . ························15分 97 103 −1 = ( 1 2⋯ −1 y)2 = ( 1) ( 2)⋯ ( −1) ( )= 200× 200  53  18.【答案】(1)x2 1 (23x 7y60或3x 7y60或x2 (3)  5, 7 3 3  3  【解析】(1)圆锥曲线E的离心率为2,故E为双曲线, x2 y2 因为E中心在原点、焦点在x轴上,所以设E的方程为  1a0,b0, a2 b2 b2 2b2 令xc,解得y  ,所以有 6 a a ① b2 a2 1 又由离心率为2,得 1 2 ,由 解得 , a2 b2 3 ② ①② y2 所以双曲线E的标准方程是x2 1.·····················································3分 3 (2)设Bx ,y ,Cx ,y ,由已知,得F2,0,根据直线AB过原点及对称性,知 1 1 2 2 1 S 2S 2 OF  y y c y y 2 y y 12 , ······························4分 △ABC △BOC 2 1 2 1 2 1 2 由题意可知直线BC的斜率不为0, 设直线BC的方程为xmy2,  y2 x2  1   联立直线BC与双曲线E的方程,得 3 ,化简整理,得 3m2 1 y2 12my90,  xmy2  12m y  y    1 2 3m2 1   所以 ,且Δ144m2 36 3m2 1 36m2 360,  y y  9  1 2 3m2 1 所以S 2 y y 2 y y 24y y 2 6 m2 1 12 , ABC 1 2 1 2 1 2 3m2 1 7 整理得 9m4 7m2 0 ,解得m 或m0, 3 所以直线BC的方程是3x 7y60或3x 7y60或x2.······························7分 (3)若直线l斜率不存在,此时直线l与双曲线右支无交点,不合题意, 故直线l斜率存在,设直线l方程ykx2, Px ,y ,Qx ,y , 3 3 4 4 湖北省黄冈中学2025届高三第二次模拟考试数学答案 第 9 页(共 13 页) {#{QQABbYIs4gAYgAaACB5KQQVOC0kQkIAhLcoMBUCXKAwCAZNAFIA=}#} y2 x2  1 联立直线l与双曲线E的方程,得 3 ,  ykx+2   化简整理,得 3k2 x2 4kx70, 4k 7   所以x x  ,x x  ,且Δ16k2 28 3k2 8412k2 0, 3 4 3k2 3 4 3k2 直线l与E在y轴的右侧交于不同的两点P,Q, Δ=8412k2 0  k2 7 3k2 0   k2 3  4k 0  ,解得 7 k  3.········································ 9分 3k2 k2 3    7 0 k 0 3k2     TP SP 设点S的坐标为x ,y ,由TPSQ  PSTQ,得  , 0 0 TQ SQ x x x 2x x 7 则 3  0 3 ,变形得到2x x (x x )x , x  3 4  , x x x 3 4 3 4 0 0 x x 2k 4 4 0 3 4 3 代入 ykx2中,解得y  ,························································ 12分 0 2 3 设过点T与双曲线E右支相切的直线为l ,l 与y 的交点为S , 1 1 1 2 3 过点T与双曲线E的渐近线y 3x平行的直线为l ,l 与y 的交点为S , 2 2 2 2 S 点的轨迹为线段S S (不含端点),·····················································14分 1 2 y 7x2 y 3x2  7 3  7 3 3 由 3 解得S ( , ), 由 3 解得S ( , ), y 1 2 2 y 2 6 2  2  2  SM 2  SF 2 t,x 12 x 22 2y2 t, 0 0 0  3 2 2t1 1 整理得 x    y2  ,t  ,  0 2 0 4 2 3 2t1 即S点的轨迹为以( ,0)为圆心, 为半径的圆与线段S S 的交点, 1 2 2 4 7 3 7 3 9 2t1 7 3 3 3 53    , ≤ (  )2( )2,解得5≤t 7 3 , 2 2 6 4 4 6 2 2 3  53  t 的范围是  5, 7 3 .······························································ 17分  3  湖北省黄冈中学2025届高三第二次模拟考试数学答案 第 10 页(共 13 页) {#{QQABbYIs4gAYgAaACB5KQQVOC0kQkIAhLcoMBUCXKAwCAZNAFIA=}#}19.【答案】(1)证明见解析 (2)2,5 (3)n!e2n4 n lnx1 【解析】(1)设h  x  f(x)g(x)(ex 1) ,x 0,, x 易证得ex≥x1(当且仅当x0时取等号), lnx1 1 1 h  x (ex 1)  xex  xlnx1  exlnx  xlnx1      x x x 1 ≥  xlnx1xlnx1  0,当且仅当xlnx0时取等号, x  f x≥g(x). (当且仅当xlnx0时等号成立)··········································5分 (2)设h(x) f x1a(x2)ex a(x2), 对函数xex,xex ,设x上一点为  x ,ex0  ,过点  x ,ex0  的切线方程为yex 0 ex 0  xx , 0 0 0 将2,0代入上式得ex0 ex0 2x x 1, 0 0 1 1 1 2 过2,0的x的切线方程为y  x1,整理得y x , e e e e 1 要使yex与ya(x2)有两个交点,则a . e ex1 ax 2a0 ex1 ax 2a x 2 由题意可知2 x 1 x ,由 1 , 1  2 ex2 x1, 1 2 ex2 ax 2a0 ex2 ax 2a x 2 2 2 1 x 2 令t  2 ,则t1,,etx1 x1 2t2 t, x 2 1 lnt tlnt (t1)lnt tx x 2t2lnt,即x 2 ,x 2 ,x x  4, 1 1 1 t1 2 t1 1 2 t1 1 令 mt (t1)lnt 4,mt  t2lnt t ,令 ntt2lnt 1 ,nt 1 2  1  t12  0 , t1 t12 t t t2 t2 nt在1,上递增. 因为n10,所以nt0在1,上恒成立. 所以mt0在1,上恒成立. mt在1,上递增. 3ln5  3ln5  又m23ln24,m5 4,当m(t)  3ln24, 4  时,t2,5, 2  2  x 2  2 的取值范围是2,5 . ···························································· 11分 x 2 1 (3)易证得xlnx1≥0(当且仅当x1时取等号), 1 1 1 1 1 取x (其中tN),有 ln 1≥0,有 lnt1≥1 , t1 t1 t1 2 t1 又由4t24t14t24t,有2t12 4tt1,有2t12 tt1, 湖北省黄冈中学2025届高三第二次模拟考试数学答案 第 11 页(共 13 页) {#{QQABbYIs4gAYgAaACB5KQQVOC0kQkIAhLcoMBUCXKAwCAZNAFIA=}#}1 1   有2t12 tt11,有2 t12 t  ,有 2 t1 t , t1 t1 可得 1 lnt1≥1 1 12  t1 t  ,有 1 n1 lni1n2  n1  i1 i  n2 n, 2 t1 2 i0 i0 1 有 ln1ln2lnnn2 n ,有lnn!2n4 n , 2 当n≥2且 nN*时, n!e2n4 n.······················································ 17分 湖北省黄冈中学2025届高三第二次模拟考试数学答案 第 12 页(共 13 页) {#{QQABbYIs4gAYgAaACB5KQQVOC0kQkIAhLcoMBUCXKAwCAZNAFIA=}#}附件二 试题双向细目表 科目 数 学 难易度 试题 题号 题型 分值 考点(知识点) 能力点 (难、中、易) 来源 1 单选 5 复数的概念与运算 数学运算 易 原创 2 单选 5 集合的运算、集合的关系 数学运算 易 原创 3 单选 5 等差数列综合 数学运算 易 原创 空间几何体的表面积与体 4 单选 5 数学运算 易 改编 积 平面向量的数量积、平 5 单选 5 数学运算 易 改编 面向量基本定理 6 单选 5 条件概率、计数原理 数学建模 中 原创 7 单选 5 三角函数的图象与性质 数学运算 中 改编 数学运算 8 单选 5 函数的单调性、零点 难 改编 数据处理 9 多选 6 统计综合 数据处理 易 原创 直线与抛物线的几何性质 数学运算 10 多选 6 中 原创 综合 数据处理 数学运算 11 多选 6 数列新定义问题 难 改编 逻辑推理 12 填空 5 二项式定理 数学运算 易 原创 13 填空 5 三次函数的单调性与最值 数学运算 中 改编 球的切接问题、直线与圆 数学运算 14 填空 5 难 改编 的综合 逻辑推理 15 解答题 13 三角函数与解三角形 数学运算 易 改编 数学运算 16 解答题 15 立体几何与空间向量 中 改编 直观想象 数学运算 17 解答题 15 分布列、统计概率综合 中 改编 逻辑推理 数学运算 18 解答题 17 直线与双曲线综合 难 改编 数据处理 数学运算 19 解答题 17 导数综合 难 改编 逻辑推理 说明:试题来源应注明自创,改编,移用(改编和移用要注明出处) 湖北省黄冈中学2025届高三第二次模拟考试数学答案 第 13 页(共 13 页) {#{QQABbYIs4gAYgAaACB5KQQVOC0kQkIAhLcoMBUCXKAwCAZNAFIA=}#}