当前位置:首页>文档>四川省泸州市泸县五中2023-2024学年高三上学期开学检测文科数学答案(1)_2023年9月_029月合集_2024届四川省泸县五中高三上学期开学考

四川省泸州市泸县五中2023-2024学年高三上学期开学检测文科数学答案(1)_2023年9月_029月合集_2024届四川省泸县五中高三上学期开学考

  • 2026-04-10 17:04:56 2026-02-12 18:38:13

文档预览

四川省泸州市泸县五中2023-2024学年高三上学期开学检测文科数学答案(1)_2023年9月_029月合集_2024届四川省泸县五中高三上学期开学考
四川省泸州市泸县五中2023-2024学年高三上学期开学检测文科数学答案(1)_2023年9月_029月合集_2024届四川省泸县五中高三上学期开学考
四川省泸州市泸县五中2023-2024学年高三上学期开学检测文科数学答案(1)_2023年9月_029月合集_2024届四川省泸县五中高三上学期开学考
四川省泸州市泸县五中2023-2024学年高三上学期开学检测文科数学答案(1)_2023年9月_029月合集_2024届四川省泸县五中高三上学期开学考
四川省泸州市泸县五中2023-2024学年高三上学期开学检测文科数学答案(1)_2023年9月_029月合集_2024届四川省泸县五中高三上学期开学考
四川省泸州市泸县五中2023-2024学年高三上学期开学检测文科数学答案(1)_2023年9月_029月合集_2024届四川省泸县五中高三上学期开学考
四川省泸州市泸县五中2023-2024学年高三上学期开学检测文科数学答案(1)_2023年9月_029月合集_2024届四川省泸县五中高三上学期开学考
四川省泸州市泸县五中2023-2024学年高三上学期开学检测文科数学答案(1)_2023年9月_029月合集_2024届四川省泸县五中高三上学期开学考
四川省泸州市泸县五中2023-2024学年高三上学期开学检测文科数学答案(1)_2023年9月_029月合集_2024届四川省泸县五中高三上学期开学考

文档信息

文档格式
docx
文档大小
0.399 MB
文档页数
5 页
上传时间
2026-02-12 18:38:13

文档内容

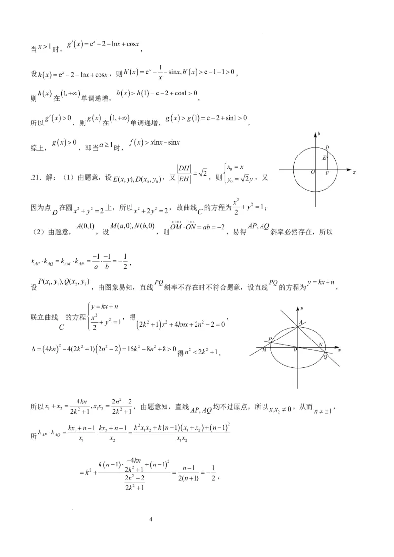
泸县五中高 2021 级高三上学期开学考试 文科数学参考答案 1.A 2.A 3.D 4.D 5.C 6.B 7.D 8.D 9.D 10.A 11.B 12.B 13. (答案不唯一) 14.110 15. 或 或 16. 17.解:(1)依题意可得: 又∵ 成等差数列, ∴ 且 , 解得: (2)估计中位数设为t,而 的频率为0.41, 的频率为0.71,则 , ∴ , 解得: ,即中位数估计为73, 估计平均数为: . (3)5人中,将甲、乙分别编号为1,2,其余3人编号 , 从这5人中选3人帮助A的所以可能结果有:(1,2,3),(1,2,4),(1,2,5), (1,3,4),(1,3,5)(1,4,5),(2,3,4),(2,3,5),(2,4,5),(3,4,5),共10个 基本事件, 其中满足条件的有(1,2,3),(1,2,4),(1,2,5),共3个,故满足条件的概率为 . 18.解:(1)证明:∵ , , , 平面 ∴ 平面 又 平面 ,∴ , 平面 , ∴ 平面 平面 由 , 知 又 平面 , 平面 又 平面 ,∴平面 平面 1 学科网(北京)股份有限公司(2)∵ 为 中点∴ , 点 , 到平面 的距离之比为 ∴ 19解:(1)解: . 选择①②:因为 ,所以 , 又因为 的最小正周期为 ,所以 ,所以 ; 选择②③:因为 的最小正周期为 ,所以 ,则 , 又因为 ,所以 ,所以 ; 选择①③:因为 ,所以 ,所以 . 又因为 ,所以 , 所以 ,又因为 ,所以 ,所以 . (2)解:依题意,令 , , 解得 , , 所以 的单调递增区间为 , . 20.解:(1)解法一:由 ,得 , 又 ,所以 是 的极小值点, 2 学科网(北京)股份有限公司故 ,而 ,故 ,若 ,则 , 当 ;当 , 所以 在 单调递减,在 单调递增, 故 是 唯一的极小值点,也是最小值点, 由 ,所以当且仅当 时 , 解法二:由 ,得 ,又 , 当 时,有 恒成立,所以 在 上单调递减, 又 ,则 不成立, 当 时,令 ,得 , 则 时,有 时,有 , 即 在 单调递减,在 单调递增, 所以 的最小值为 , , 函数 在 单调递减, 单调递增, ,当且仅当 取等号, 故 ; (2)当 时, ,设 , 当 时, ,又由(1)知 ,故 , 3 学科网(北京)股份有限公司当 时, , 设 ,则 , 则 在 单调递增, , 所以 ,则 在 单调递增, , 综上, ,即当 时, .21.解:(1)由题意,设 ,又 ,则 ,又 因为点 在圆 上,所以 ,故曲线 的方程为 ; (2)由题意, ,设 ,则 ,易得 斜率必然存在,所以 , 设 ,由图象易知,直线 斜率不存在时不符合题意,设直线 的方程为 , 联立曲线 的方程 ,得 , 得 , 所以 ,由题意知,直线 均不过原点,所以 ,从而 , 所 , 4 学科网(北京)股份有限公司解得 ,满足 ,所以直线 的方程为 ,恒过定点 . 22.解:(1)由直线 的参数方程,得直线 的普通方程为 . 将 代入曲线 的极坐标方程, 化简得曲线 的直角坐标方程为 . (2)由(1),设点 , 由题知 的最小值为点 到直线 的距离的最小值. 又点 到直线 的距离 ,其中 . 当 时, 的最小值为 . 的最小值为 . 23.解:(1)当 时, ,解得 ,所以 ,成立. 当 时, ,恒成立,所以 成立. 当 时, ,解得 ,所以 ,成立 综上,原不等式的解集为 (2) , , . 5 学科网(北京)股份有限公司