当前位置:首页>文档>江苏省扬州市2024届高三下学期考前调研模拟预测测试地理+答案_2024年5月_01按日期_28号_2024届江苏省扬州市高三考前调研模拟预测

江苏省扬州市2024届高三下学期考前调研模拟预测测试地理+答案_2024年5月_01按日期_28号_2024届江苏省扬州市高三考前调研模拟预测

  • 2026-03-28 18:02:08 2026-02-17 05:44:10

文档预览

江苏省扬州市2024届高三下学期考前调研模拟预测测试地理+答案_2024年5月_01按日期_28号_2024届江苏省扬州市高三考前调研模拟预测
江苏省扬州市2024届高三下学期考前调研模拟预测测试地理+答案_2024年5月_01按日期_28号_2024届江苏省扬州市高三考前调研模拟预测
江苏省扬州市2024届高三下学期考前调研模拟预测测试地理+答案_2024年5月_01按日期_28号_2024届江苏省扬州市高三考前调研模拟预测
江苏省扬州市2024届高三下学期考前调研模拟预测测试地理+答案_2024年5月_01按日期_28号_2024届江苏省扬州市高三考前调研模拟预测
江苏省扬州市2024届高三下学期考前调研模拟预测测试地理+答案_2024年5月_01按日期_28号_2024届江苏省扬州市高三考前调研模拟预测
江苏省扬州市2024届高三下学期考前调研模拟预测测试地理+答案_2024年5月_01按日期_28号_2024届江苏省扬州市高三考前调研模拟预测
江苏省扬州市2024届高三下学期考前调研模拟预测测试地理+答案_2024年5月_01按日期_28号_2024届江苏省扬州市高三考前调研模拟预测
江苏省扬州市2024届高三下学期考前调研模拟预测测试地理+答案_2024年5月_01按日期_28号_2024届江苏省扬州市高三考前调研模拟预测
江苏省扬州市2024届高三下学期考前调研模拟预测测试地理+答案_2024年5月_01按日期_28号_2024届江苏省扬州市高三考前调研模拟预测
江苏省扬州市2024届高三下学期考前调研模拟预测测试地理+答案_2024年5月_01按日期_28号_2024届江苏省扬州市高三考前调研模拟预测
江苏省扬州市2024届高三下学期考前调研模拟预测测试地理+答案_2024年5月_01按日期_28号_2024届江苏省扬州市高三考前调研模拟预测
江苏省扬州市2024届高三下学期考前调研模拟预测测试地理+答案_2024年5月_01按日期_28号_2024届江苏省扬州市高三考前调研模拟预测
江苏省扬州市2024届高三下学期考前调研模拟预测测试地理+答案_2024年5月_01按日期_28号_2024届江苏省扬州市高三考前调研模拟预测

文档信息

文档格式
docx
文档大小
2.326 MB
文档页数
13 页
上传时间
2026-02-17 05:44:10

文档内容

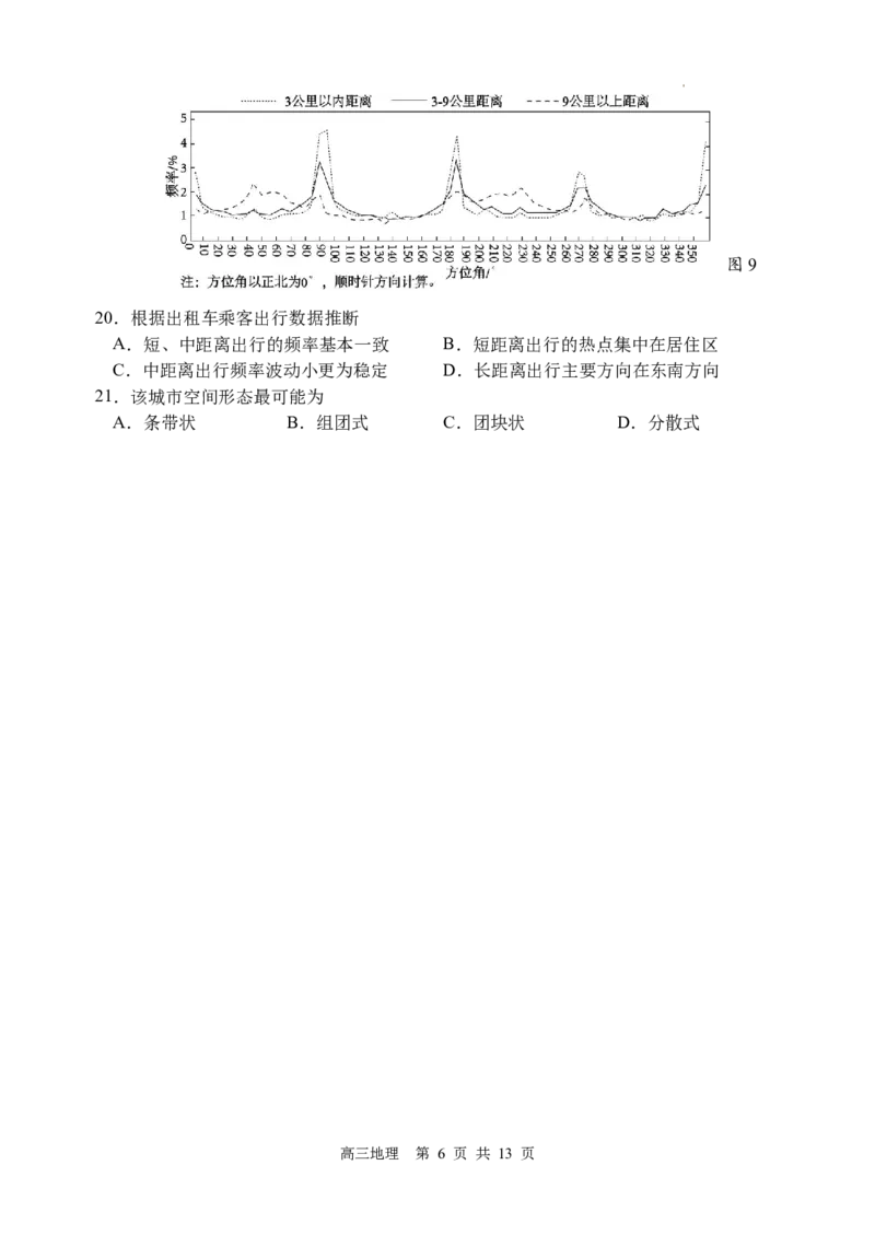
扬州市 2024 届高三考前调研测试 地 理 2024.05 注意事项:考生在答题前请认真阅读本注意事项及各题答题要求。 1.本试卷共8页,包含选择题和非选择题两部分。本次考试时间为75分钟,满分100分。 考试结束后,请将答题卡交给监考老师。 2.答题前,请您务必将自己的学校、姓名、准考证号用黑色字迹的 0.5毫米签字笔填写 在试卷及答题卡上。 3.作答选择题必须用2B铅笔把答题卡上对应题目的答案标号涂黑。如需改动,请用橡 皮擦干净后,再选涂其它答案。作答非选择题,请您用黑色字迹的 0.5毫米签字笔将 答案写在答题卡上的指定位置,在其它位置作答一律无效。 4.如有作图需要,可用2B铅笔作答,并请加黑加粗,描写清楚。 一、选择题:在下列各小题的四个选项中,只有一个选项最符合题目的要求。请在答题 卡上将所选答案的字母代号涂黑(23小题,每小题2分,共46分)。 某校地理小组开展实践活动,对南京(32°N,119°E)、武汉(31°N,114°E)、广 州(23°N,113°E)三地的日月升落、昼夜长短变化规律进行研究。2023年9月29日中 秋节当晚,地理小组记录南京的月出时间约为北京时间17:57。据此完成1~2题。 1.中秋节武汉的月出地方时最接近 A.17:57 B.18:15 C.17:35 D.18:00 2.能正确示意南京、广州的昼长和正午太阳高度年变化范围的是 正午太阳高度 正午太阳高度 90° 90° 南京 南京 广州 广州 60° 60° 30° 30° 昼 长 ( 小 昼 长 ( 小 6 12 18 24时) 6 12 18 24时) A B 正午太阳高度 正午太阳高度 90° 90° 南京 南京 广州 广州 60° 60° 30° 30° 昼 长 ( 小 昼 长 ( 小 6 12 18 24时) 6 12 18 24时) C D 高三地理 第 1 页 共 13 页 学科网(北京)股份有限公司冰碛土主要来自于冰川表面差异消融产生的碎屑物质、汇入冰川体系中的周围碎屑 物及细粒粘土。图1为冰碛土滑坡-泥石流-堰塞湖灾害过程示意图。据此完成3~4题。 冰雪覆盖区 冰川 ( 新 冰 碛 累 积) 形成区 基岩 (新冰碛累积) 冰崩碎屑物 物 水力侵蚀 源 古冰碛物 集 流通放大区 中 (冰水搬运) 沟道冲刷搬运 区 滑坡堆积区 搬运+堆积 (冰水堆积) 河道堵塞 图1 3.影响同一冰川末端表面差异消融的主要因素是 A.地质构造 B.地面反射 C.海拔高度 D.光照强度 4.冰碛土滑坡-泥石流-堰塞湖灾害过程是 A.气温回升—冰碛物形成—流水侵蚀搬运、堆积 B.降水增多—水力侵蚀冰碛土—风力搬运、堆积 C.地震发生—冰水沉积物增多—流水侵蚀、搬运 D.冻融风化—冰屑沉积物增多—冰川搬运、堆积 广州市从化区观测站于某年10月15日—11月16日对当地山谷风进行研究,发现当 背景风小于1.5m/s时,局地风明显。图2示意从化区观测点山谷风风频平均日变化。据 此完成5~7题。 图2 5.该观测点山风转为谷风的时刻约为 A.0:00 B.10:00 C.18:00 D.22:00 6.能正确表示观测点位置的是 高三地理 第 2 页 共 13 页 学科网(北京)股份有限公司观测点 观测点 观测点 观测点 A B C D 7.图示昼夜最大风频存在差异的主要原因是 A.北坡日照时间较长 B.白天阳坡与山谷温差大 C.南坡季风影响变小 D.夜晚山谷降温速度更快 图3为世界部分区域1月和7月海平面气压分布图,①~⑥的箭头表示盛行风向。据 此完成8~9题。 图3 8.风向形成与气压带、风带季节移动有关的是 A.②④ B.②⑤ C.③⑤ D.③⑥ 9.与气温高、气流辐合下沉特点相符的气压中心是 A.甲 B.乙 C.丙 D.丁 高黎贡山位于我国西南山区,呈南北走向,垂直带谱明显。图4为高黎贡山南段东、 西坡观察样地总物种丰富度垂直分布示意图。据此完成10~11题。 图4 10.该观察样地总物种丰富度 A.随着海拔的升高明显增加 B.最高值出现在东坡海拔2200米处 C.低海拔处东西坡差异不大 D.西坡比东坡垂直梯度变化更显著 11.影响东、西坡总物种丰富度差异的主导因素是 高三地理 第 3 页 共 13 页 学科网(北京)股份有限公司A.降水 B.热量 C.坡度 D.岩性 广西地形以山地、丘陵为主,中部与南部分布有平原和台地。图5为广西表层土壤有 机质含量空间分布图。表1为广西不同土地利用类型的表层土壤有机质含量。据此完成 12~13题。 土地利用类型 土壤表有1机质含量(%) 水田 2.56 旱地 3.11 林地 4.24 灌木林 4.22 草地 5.37 图5 12.制作广西表层土壤有机质含量空间分布图所利用的地理信息技术主要是 A.RS B.VR C.GPS D.GIS 13.广西南部表层土壤有机质含量较低,主要原因是 A.气温低,微生物分解速度较慢 B.多水田旱地,作物消耗养分多 C.坡度大,径流侵蚀养分流失快 D.多灌丛草地,有机质输入量少 埋木种植床是一种用腐木制作高架栽培床来改良土壤的技术。图6示意阿尔卑斯山深 处科梅霍夫农场埋木种植床的剖面结构和排列分布。据此完成14~15题。 表层:覆盖物和土壤 中层:树枝和树干 底层:大块原木 图6 14.推测该地种植床底层需埋设大块原木是由于该地 A.地温较低 B.森林广布 C.风力强劲 D.土壤贫瘠 15.该地埋木种植床的排列方式主要是为了 A.保水保温 B.保土排水 C.调节气候 D.防风固沙 高能洪水是大量水体短时间内急剧释放且水流能量高的超常规洪水。青藏高原雅鲁 藏布江流域易发生高能洪水,导致河谷两侧巨型边滩分布较多。图7为雅鲁藏布江巨型边 滩景观。据此完成16~17题。 高三地理 第 4 页 共 13 页 学科网(北京)股份有限公司图7 16.雅鲁藏布江流域易发生高能洪水的直接原因是 A.流域面积广 B.堰塞湖溃决 C.滑坡体堵江 D.泥石流入江 17.区别一般河漫滩与巨型边滩的主要依据是 A.面积大小 B.土层厚度 C.沉积结构 D.物质来源 人口回流是指前往发达地区的务工人员返回户籍地的现象。随着粤港澳大湾区产业 结构升级,粤西农村流动人口回流现象逐渐显现,其回流人口主要向市辖区和经济强县 集聚。图8为2015~2019年粤西三地人口回流规模统计图。据此完成18~19题。 单位(万人) 6 2018年 2017年 4 2019年 2 2015年 2016年 0 -2 -4 -6 -8 -10 湛江 茂名 阳江 图8 -12 18.2015-2019年间,粤西地区 A.人口持续回流 B.阳江回流最少 C.湛江流失加剧 D.茂名回流显著 19.粤西地区出现人口回流现象的主要“拉力”是 A.返乡养老 B.乡村振兴 C.产业转入 D.医疗改善 运用出租车运营大数据,可以研究城市居民出行行为和城市空间结构特征。图9示意 我国某大城市出租车乘客出行方向分布。据此完成20~21题。 高三地理 第 5 页 共 13 页 学科网(北京)股份有限公司图9 20.根据出租车乘客出行数据推断 A.短、中距离出行的频率基本一致 B.短距离出行的热点集中在居住区 C.中距离出行频率波动小更为稳定 D.长距离出行主要方向在东南方向 21.该城市空间形态最可能为 A.条带状 B.组团式 C.团块状 D.分散式 高三地理 第 6 页 共 13 页 学科网(北京)股份有限公司为确定区域资源利用和生态建设方向,我国进行了生态功能区划分。图10为长江流 域一级生态功能区分布图,其中Ⅱ为川江段水源涵养与土壤保持生态功能区。据此完成 22~23题。 图10 22.图中生态功能区对应正确的是 A.Ⅰ—水环境功能保持区 B.Ⅲ—水源涵养生态功能区 C.Ⅳ—洪水调蓄生态功能区 D.V—三峡库区水土保持生态功能区 23.长江经济带高质量发展的合理方向是 A.Ⅱ区域禁止开发,以保护生态环境为主 B.Ⅲ区域大力发展水电,建能源生产基地 C.Ⅳ区域加大科技投入,建全球服务中心 D.Ⅴ区域优化产业结构,加强水污染治理 二、非选择题:本大题共3小题,共54分。 24.阅读材料,回答下列问题。(18分) 材料一 崖州湾是位于海南省三亚市崖州区南侧的一段海湾。2011年,崖州区依托岸 线资源修建人工岛,积极打造以中心渔港为核心,海陆统筹、港产城融合、渔工贸游一 体化的渔港经济区。2023年8月,中心渔港水产品交易中心建成。人工岛建成后东侧宁 远河口淤积加重。 材料二 图11为崖州城区及崖州湾区域简图。 宁 远 河 崖州城区 中心渔港 人工岛 等深线 河流 图11 高三地理 第 7 页 共 13 页 学科网(北京)股份有限公司高三地理 第 8 页 共 13 页 学科网(北京)股份有限公司(1)描述崖州湾海区海底地形特征。(6分) (2)在答题卡相应图中用虚线画出宁远河口河水与海水的分界面,分析宁远河口泥沙淤 积加重的原因。(6分) 宁远河 崖州湾 (3)简述渔港经济区的建设对崖州渔业产业的促进作用。(6分) 25.阅读材料,回答下列问题。(18分) 材料一 低空经济是以各类低空飞行活动为牵引,辐射带动相关领域发展的综合性经 济形态。近年来,珠三角地区大力引进低空经济优质项目,深圳和广州低空经济企业数 量位居全国前列,已形成完整产业链。2024年2月,自深圳出发的跨海电动“空中的 士”降落珠海,3小时行程缩短至20分钟。 材料二 图12为低空经济产业链示意图。图13为珠三角地理位置。 上游 中游 下游 研发 关键原材料 零部件 载荷 低空产品 地面系统 飞行审批 产业融合 (铝合金、 (芯片、 (摄像机、 (无人机、 (监测、 空域管控 (与应急抢险、物流、环 碳纤维等) 电池等) 传感器等) 航空器等) 指挥等) 境治理、旅游等融合) 图12 图13 (1)与传统地面交通运输方式相比,说明利用“空中的士”运输的优势。(6分) (2)分析珠三角地区发展低空经济的优势区位条件。(6分) (3)简述我国大力发展低空经济对城市公共服务业的积极意义。(6分) 高三地理 第 9 页 共 13 页 学科网(北京)股份有限公司高三地理 第 10 页 共 13 页 学科网(北京)股份有限公司26.阅读材料,回答下列问题。(18分) 材料一 树立大食物观,发展设施农业,构建多元化食物供给体系,有利于确保粮食 安全。图14为大食物观视角下中国耕地保护分区调控与协同机制图。 大食物观 保护现有耕地 内部制约 内部制约 耕地面积、质量、 城镇化、工业化、 生态…… 营养健康追求…… 耕地系统 食物系统 生命共同体 全球变化、人口 资源危机、食物 增长…… 安全…… 海洋 森林 山体 湖泊 外部压力 外部压力 耕地保护 图14 材料二 践行大食物观,需要立足广阔的国土空间、区域优势资源和农业新质生产力 新质生产力包括通过数字技术融合其他要素的“数字生产力”,在绿色、低碳理念和新 能源技术下的“绿色生产力”以及依托海洋科技、走向深海、实现海陆循环的“蓝色生 产力”。 (1)从耕地系统和食物系统的角度,分析我国“大食物观”形成地理背景。(8分) (2)从践行大食物观的角度,分析保障我国粮食安全的对策。(10分) 高三地理 第 11 页 共 13 页 学科网(北京)股份有限公司扬州市 2024 届高三考前调研测试 高三地理参考答案及评分标准 说明:1.试题分选择题和非选择题两类题型,请按参考答案及评价标准评分。在非选择 题中考生的答案与参考答案相近的,可酌情评分,但不得超过本题所分配的 分数。 2.考生答案中,中国地名出现错别字一般不给分;外国地名应以地图出版社的世 界地图集为依据评分,若出现同音字可酌情给分。 一、选择题:每题2分,共46分。 题号 1 2 3 4 5 6 7 8 9 10 11 12 答案 C D B A B A B C D D A D 题号 13 14 15 16 17 18 19 20 21 22 23 答案 B A B B C D C A C C D 二、非选择题:本大题共3小题,共54分。 24.共18分 题号 分值 参考答案与评分标准 地形类型为大陆架;地势北高南低;东西两侧等深线密集,坡度较 (1) 6分 大;中部等深线稀疏,坡度较小;(任答三点,得6分) 绘图2分 ,画出向海洋方向倾斜的虚线 宁远河 崖州湾 (2) 6分 入海口处水流速度减缓,海水对河水顶托作用增强,泥沙淤积加重; 人工岛及南山港建设削弱沿岸流(海浪、风暴潮)能量,泥沙淤积加 重(4分) 促进海产品加工业发展,增加附加值;带动冷链物流等服务业发展, 延长产业链;促进海产品贸易发展,提升渔业交易水平;促进渔业产 (3) 6分 业集群发展,形成规模效应;促进产业融合发展,利于产业结构升 级。(任答三点,得6分) 25.(18分) 题号 分值 参考答案与评分标准 速度快,运输效率高;受地面因素干扰小,适应范围广;运输成本 (1) 6分 低,绿色环保。(每点2分,共6分) (2) 6分 岛屿众多,“空中的士”对区域间联系更具优势;经济水平高,潜在市 高三地理 第 12 页 共 13 页 学科网(北京)股份有限公司场需求大;产业基础好,产业链完整;政策支持,发展前景好;科技 发达,创新环境好。(任答三点,得6分) 增强应急保障能力;提升城市公共服务效率;提升居民生活质量;打 (3) 6分 造综合立体交通新格局。(任答三点,得6分) 26.(18分) 题号 分值 参考答案与评分标准 人均耕地减少,耕地质量退化,粮食安全压力大;我国土地类型(地 形、气候、土壤)多样,适合发展多种经营;应对全球环境变化,促 (1) 8分 进耕地系统可持续发展。(任答两点,得4分) 居民追求营养健康,饮食结构多元化;粮食替代产品增多,可缓解粮 食安全危机。(4分) 调整农业生产结构,构建多元食物供给体系;优化农业政策,引导居 民调整膳食结构;强化农业科技创新,全面落实“藏粮于技”(提高农 (2) 10分 业新质生产力);促进农业绿色可持续发展,保障粮食安全;加强区 域联系,拓展农产品来源渠道多元化;拓展农业生产用地,实现耕地 资源向国土资源扩展。(任答五点,得10分) 高三地理 第 13 页 共 13 页 学科网(北京)股份有限公司