当前位置:首页>文档>华师一附中二月月考2025届高三数学答案_2024-2025高三(6-6月题库)_2025年02月试卷_0214湖北省武汉市华中师范大学第一附属中学2024-2025学年高三下学期开学考试题

华师一附中二月月考2025届高三数学答案_2024-2025高三(6-6月题库)_2025年02月试卷_0214湖北省武汉市华中师范大学第一附属中学2024-2025学年高三下学期开学考试题

  • 2026-03-28 09:58:02 2026-02-18 05:18:05

文档预览

华师一附中二月月考2025届高三数学答案_2024-2025高三(6-6月题库)_2025年02月试卷_0214湖北省武汉市华中师范大学第一附属中学2024-2025学年高三下学期开学考试题
华师一附中二月月考2025届高三数学答案_2024-2025高三(6-6月题库)_2025年02月试卷_0214湖北省武汉市华中师范大学第一附属中学2024-2025学年高三下学期开学考试题
华师一附中二月月考2025届高三数学答案_2024-2025高三(6-6月题库)_2025年02月试卷_0214湖北省武汉市华中师范大学第一附属中学2024-2025学年高三下学期开学考试题
华师一附中二月月考2025届高三数学答案_2024-2025高三(6-6月题库)_2025年02月试卷_0214湖北省武汉市华中师范大学第一附属中学2024-2025学年高三下学期开学考试题
华师一附中二月月考2025届高三数学答案_2024-2025高三(6-6月题库)_2025年02月试卷_0214湖北省武汉市华中师范大学第一附属中学2024-2025学年高三下学期开学考试题
华师一附中二月月考2025届高三数学答案_2024-2025高三(6-6月题库)_2025年02月试卷_0214湖北省武汉市华中师范大学第一附属中学2024-2025学年高三下学期开学考试题
华师一附中二月月考2025届高三数学答案_2024-2025高三(6-6月题库)_2025年02月试卷_0214湖北省武汉市华中师范大学第一附属中学2024-2025学年高三下学期开学考试题
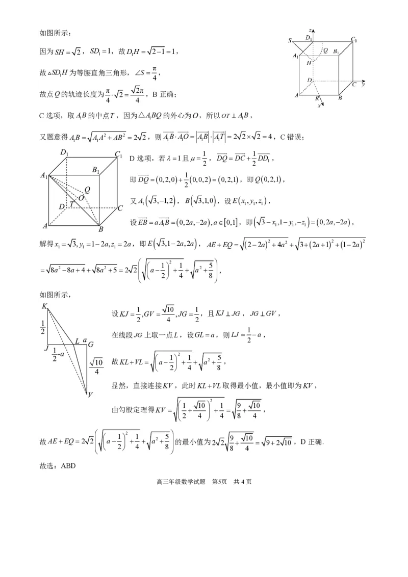
华师一附中二月月考2025届高三数学答案_2024-2025高三(6-6月题库)_2025年02月试卷_0214湖北省武汉市华中师范大学第一附属中学2024-2025学年高三下学期开学考试题
华师一附中二月月考2025届高三数学答案_2024-2025高三(6-6月题库)_2025年02月试卷_0214湖北省武汉市华中师范大学第一附属中学2024-2025学年高三下学期开学考试题
华师一附中二月月考2025届高三数学答案_2024-2025高三(6-6月题库)_2025年02月试卷_0214湖北省武汉市华中师范大学第一附属中学2024-2025学年高三下学期开学考试题
华师一附中二月月考2025届高三数学答案_2024-2025高三(6-6月题库)_2025年02月试卷_0214湖北省武汉市华中师范大学第一附属中学2024-2025学年高三下学期开学考试题
华师一附中二月月考2025届高三数学答案_2024-2025高三(6-6月题库)_2025年02月试卷_0214湖北省武汉市华中师范大学第一附属中学2024-2025学年高三下学期开学考试题

文档信息

文档格式
pdf
文档大小
1.149 MB
文档页数
12 页
上传时间
2026-02-18 05:18:05

文档内容

高三数学限时训练 时限:120 分钟 满分:150 分 一、单选题(本大题共8小题,每小题5分,共40分.在每小题给出的四个选项中,只有一项是符合题 目要求的.) 1.已知集合Ax 1 x1,Bx a1 x2a1,若B A,则实数a取值范围是( ) A.a1 B.a1 C.0a1 D.0a1 【答案】A 2.已知m,n,p,qN*,且数列a 是等比数列,则“a a a a ”是“mn pq”的( ) n m n p q A.充分不必要条件 B.必要不充分条件 C.充要条件 D.既不充分又不必要条件 【答案】B 3.设函数 f xmx2mx1,命题“x1,3, f xm2”是假命题,则实数m的取值范围为( ) .  3 3  A.,  B.,3 C. , D.3,  7 7  【答案】D 1 2 1 3 4.a0,b0,  1,则  的最小值为( ) a b a1 b2 A. 3 B.2 3 C. 6 D.6 【答案】C  5.阅读材料:空间直角坐标系Oxyz中,过点Px ,y ,z 且一个法向量为na,b,c的平面的方程为 0 0 0 axx byy czz 0,阅读上面材料,解决下面问题:直线l是两平面x3y70与 0 0 0 4y2z10的交线,则下列向量可以为直线l的方向向量的是( ) A.(3,1,2) B.(3,1,2) C.(2,1,3) D.(2,1,3) 【答案】B 6.已知函数 f x3x3 2 2,且 f  a2  f 3a42,则实数a的取值范围是( ) ex 1 A.4,1 B.,14, C. ,41, D.1,4 【答案】C 高三年级数学试题 第1页 共4页7.设mR,过定点A的动直线xmy0和过定点B的动直线mx ym30交于点P,点P到直线 x3y90的距离为d ,则d 的取值范围为( ) A.[0, 10) B.[0, 10] C.[0,2 10) D.[0,2 10] 【答案】A 8.在  ABC中,a2b2c2 2 3absinC,则  ABC的形状是( ) A.等腰直角三角形 B.直角三角形 C.钝角三角形 D.等边三角形 【答案】D 【详解】  在  ABC中,a2b2c2 2 3absinC, 又由余弦定理知,b2a2c2 2abcosC,  两式相加得:2(a2b2)2ab( 3sinCcosC)4absin(C ), 6  a2b2 2ab  sin(C 6 ) 2ab 2ab 1(当且仅当cb时取“” ),又sin(C 6 )  1,  sin(C )1(当且仅当ab时成立),C为ABC的内角, 6    C  ,C ,又ab, 6 2 3  ABC的形状为等边△.故选:D.  二、多选题(本大题共3小题,每小题6分,共18分.在每小题给出的四个选项中,有多项符合题目要 求的.全部选对的得6分,部分选对的得部分分,有选错的得0分.) 9.下列说法正确的是( ) A.在使用经验回归方程进行预测时,经验回归方程只适用于所研究的样本的总体 n (y yˆ )2 i i B.决定系数R2 1 i1 ,可以作为衡量一个模型拟合效果的指标,它越大说明拟合效果越好 n y y2 i i1 C.样本相关系数r[1,1],当r 0时,表明成对样本数据间没有相关关系 D.经验回归方程y3x1相对于点2,6.5的残差为-0.5 【答案】ABD 10.声音中包含着正弦函数,声音是由于物体的振动产生的能引起听觉的波.每个音都是由纯音合成的, 纯音的数学模型是y Asint.其中响度与振幅有关,振幅越大,响度越大.音调与频率有关,频率低的声 高三年级数学试题 第2页 共4页1 1 1 音低沉,频率高的声音尖锐,我们平时听到的音乐函数是ysinx sin2x sin3x sin4x ,某声  2 3 4 1 1 音函数 f(x)sinx sin2x sin 3x,下列说法正确的是( ) 2 3  π π A.函数 f(x)在区间 , 单调递增  6 6 B.函数 f(x)的最小正周期为2π C.函数 f(x)的声音比纯音g(x)sin2x的尖锐 D.函数 f(x)的响度比纯音g(x)sin2x的响度大 【答案】ABD  π π 【详解】选项A:当x , 时,sinx,sin2x,sin3x均单调递增,  6 6  π π 1 1 则当x , 时, f(x)sinx sin2x sin 3x单调递增.判断正确;  6 6 2 3 2π 选项B:ysinx,ysin2x,ysin3x的最小正周期分别为2π,π, , 3 则函数 f(x)的最小正周期为2π. 判断正确; 1 选项C:函数 f(x)的周期为2π,频率为 ; 2π 1 1 1 函数g(x)的周期为π,频率为 ,由  , π 2π π 可得函数 f(x)的声音比纯音g(x)sin2x的低沉.判断错误; 选项D:g(x)sin2x的振幅为1, π π 1  π 1  π 3 3 3 3 f( )sin  sin2  sin3    1, 3 3 2  3 3  3 2 4 4 则函数 f(x)的振幅大于g(x)的振幅, 则函数 f(x)的响度比纯音g(x)sin2x的响度大.判断正确. 故选:ABD 11.如图,在直四棱柱ABCDABCD 中,底面ABCD为菱形,BAD60,AB AA 2,P为CC 的中 1 1 1 1 1 1 点,点Q满足  D  Q    D  C    D  D  1    0,1,0,1   ,则下列结论正确的是( ) 高三年级数学试题 第3页 共4页1 A.若 ,则四面体ABPQ的体积为定值 3 1 B.若AQ 5,则点Q的轨迹为一段圆弧 1   C.若△ABQ的外心为O,则ABAO为定值2 1 1 1 1 D.若1且 ,则存在点EAB,使得AEEQ的最小值为 2 1 92 10 【答案】ABD 1 1 【详解】A选项,在CD,DD上分别取F,W ,使得DF  DC,DW  DD , 1 3 3 1       因为DQDCDD ,所以DQ3DF3DW, 1 1    因为 ,所以331,即DQ3DF13DW, 3       故DQDW 3DF3DW ,即WQ3WF, 所以W,Q,F 三点共线, 因为WF//CD ,AB//CD,所以WF//AB , 1 1 1 1 故WF//平面PAB,故点Q为平面PAB的距离为定值, 1 1 又S 为定值,故四面体ABPQ的体积为定值,A正确; PA1B 1 B选项,取AB的中点R,因为底面ABCD为菱形,BAD60,故DR⊥DC, 以D为坐标原点,以DR,DC,DD 分别为x,y,z轴,建立空间直角坐标系, 1 故A  3,1,2  ,设Q0,2,2,则AQ 3212 222  5, 1 1 化简得212222 2,点Q满足  D  Q    D  C    D  D  1    0,1,0,1   , 即点Q在正方形CDDC 内,包括边界, 1 1 故Q点的轨迹为以S1,2为圆心, 2为半径的圆,落在正方形CDDC 内的部分, 1 1 高三年级数学试题 第4页 共4页如图所示: 因为SH  2,SD 1,故DH  211, 1 1 π 故  SD 1 H为等腰直角三角形,S  4 , π 2π 故点Q的轨迹长度为  2  ,B正确; 4 4 C选项,取AB的中点T,因为△ABQ的外心为O,所以OT ⊥AB, 1 1 1     又题意得AB AA2AB2 2 2,则ABAO AB  AT 2 2 2 4,C错误; 1 1 1 1 1 1 1   1 D选项,若1且 ,DQDC DD , 2 2 1  1 即DQ0,2,0 0,0,20,2,1,即Q0,2,1, 2 又A  3,1,2  ,B  3,1,0  ,设Ex,y,z , 1 1 1 1 设  E  B  a  A  B  0,2a,2a,a0,1,即  3x,1y ,z  0,2a,2a, 1 1 1 1   解得x  3,y 12a,z 2a,即E 3,12a,2a ,AEEQ 22a2 4a2  32a12 12a2 1 1 1  2   1 1 5  8a28a4 8a25 2 2 a    a2 ,   2 4 8   如图所示, 1 10 1 设KJ  ,GV  ,JG ,且KJ ⊥JG,JG⊥GV , 2 4 2 1 在线段JG上取一点L,设GLa,则LJ  a, 2  1 2 1 5 故KLVL a    a2 ,  2 4 8 显然,直接连接KV ,此时KLVL取得最小值,最小值即为KV , 2 1 10 1 9 10 由勾股定理得KV        , 2 4  4 8 4    2  故AEEQ2 2  a 1   1  a2 5 的最小值为2 2 9  10  92 10 ,D正确.   2 4 8 8 4   故选:ABD 高三年级数学试题 第5页 共4页三、填空题(本大题共3小题,每小题5分,共15分) 12.已知a 1,2,b  x,4,若a与b  的夹角是钝角,则实数x的取值范围是 . 【答案】,22,8 x2 y2 13.设A为双曲线Γ:  1a0,b0的一个实轴顶点,B,C为Γ的渐近线上的两点,满足 a2 b2   BC 4AC, AC a,则Γ的渐近线方程是 . 【答案】 2x y 0 14.一只口袋装有形状、大小完全相同的3只小球,其中红球、黄球、黑球各1只.现从口袋中先后有 X,X为奇数 放回地取球2n次  nN* ,且每次取1只球,X 表示2n次取球中取到红球的次数,Y  , 0,X为偶数 则X 的数学期望为 (用n表示),Y的数学期望为 (用n表示). 2n n n 【答案】  3 3 32n  1 2n 【详解】由题知X B2n, ,Y 0,1,0,3,  0,2n1,0,则EX  3 3 1 1 2 2n1 1 3 2 2n3 1 2n1 2 1 EY1C1 2n  3    3   3C3 2n  3    3     2n1C 2 2 n n1  3    3   1  C1 22n13C3 22n3 2n1C2n121 32n  2n 2n  2n  2n kCk 2nCk1 ,EY  C0 22n1C2 22n3 C2n221 ,  2n 2n1 32n 2n1 2n1  2n1 (21)2n1 C0 22n1C1 22n2C2 22n3 C2n221C2n120,  2n1 2n1 2n1  2n1 2n1 (21)2n1 C0 22n1C1 22n2 C2 22n3 C2n221C2n120, 2n1 2n1 2n1  2n1 2n1 32n11 2n 32n11 n n C0 22n1C2 22n3 C2n221 ,EY    . 2n1 2n1  2n1 2 32n 2 3 32n n n 故答案为:  . 3 32n 四、解答题(本大题共5小题,共77分.解答应写出必要的文字说明、证明过程或演算步骤) 15.已知函数 f xx3ax2bxa2(a,bR) (1)若函数 f x在x1处有极值为10,求b的值; 高三年级数学试题 第6页 共4页(2)对任意a[1,), f x在区间0,2单调递增,求b的最小值; 16 【答案】(1)b=-11 (2) 3 【详解】解:(1)f′(x)=3x2+2ax+b, f132ab0 于是,根据题设有{ , f 11aba2 10 a4 a3 解得{ 或{ . b11 b3 a4 当{ 时,f′(x)=3x2+8x-11,Δ=64+132>0,所以函数有极值点; b11 a3 当{ 时,f′(x)=3(x-1)2≥0,所以函数无极值点. b3 所以b=-11. (2)由题意知f′(x)=3x2+2ax+b≥0对任意的a∈[-1,+∞),x∈(0,2)都成立, 所以F(a)=2xa+3x2+b≥0对任意的a∈[-1,+∞),x∈(0,2)都成立. 因为x>0,所以F(a)在a∈[-1,+∞)上为单调递增函数 F(a) =F(-1)=-2x+3x2+b≥0, min 即b≥(-3x2+2x) 对任意x∈(0,2)都成立, max 1 1 1 又-3x2+2x=-3(x- )2+ ≤ , 3 3 3 1 1 1 所以当x= 时,(-3x2+2x) = ,所以b≥ . max 3 3 3 1 所以b的最小值为 . 3 16.在五面体ABCDEF中,CD平面ADE,EF 平面ADE. (1)求证:AB//CD; (2)若AB2AD2EF2,DE 1,ADECBF 90,求二面角ABFC的大小. . 5π 【答案】(1)证明见解析 (2) 6 【详解】(1)证明:因为CD平面ADE,EF 平面ADE,所以CD//EF, 因为CD 平面ABEF,EF 平面ABEF, 高三年级数学试题 第7页 共4页所以CD//平面ABEF, 因为平面ABEF平面ABCD  AB,AB平面ABCD, 所以AB//CD. (2)由于CD平面ADE,AB//CD,所以AB平面ADE,AE 平面ADE,故AB AE, 又因为CD平面ADE,AD,ED平面ADE, 所以CDAD,CDED, 如图以D为坐标原点,DA,DC,DE所在的直线分别为x,y,z轴建系, 设DC c,则A1,0,0,B1,2,0,D0,0,0,C0,c,0,E0,0,1,F0,1,1,   故BF 1,1,1,BC 1,c2,0,   由于CBF 90,所以BFBC1,1,11,c2,012c0,故c3,   设平面BFA的法向量为m(x,y ,z),平面BFC的法向量为n(x ,y ,z ), 1 1 1 2 2 2   因为AB0,2,0,BF 1,1,1,    A  B  m 0 x y z 0, 所以   B  F  m 0 ,即 2y 1 1 0 1 , 1 令x 1,则m (1,0,1), 1   因为BC1,1,0,BF 1,1,1,    B  C  n0 x  y 0, 所以   B  F  n0 ,即 x 2 2 y 2 2 z 2 0,  令x 1,则n(1,1,2), 2 设ABFC成的角为,由图可知为钝角,   mn 3 3 5π 所以cos   ,故   m n 2 6 2 6 17.已知数列a 为等差数列,前n项和为S ,且S 60,a 3a 48. n n 6 3 5 数列 b n  满足:2nb 1 2n1b 2   2b n 3n1(nN) 高三年级数学试题 第8页 共4页(1)求数列a 、b 的通项公式; n n 2b 12a 2 (2)若c  n n ,求数列c 的前n项和T . n a a n n n n1 【详解】(1)设等差数列a 的首项为a ,公差为d, n 1  65 6a  d 60 a 5 由S 60,a 3a 48,可得 1 2  1 , 6 3 5 a 2d3a 4d48 d 2  1 1 故数列a 的通项公式为a 5n122n3. n n 1 2nb 2n1b  2b 3n1,两边同时乘以 , 1 2  n 2n 1 1 1 则b  b   b   3n1  1 2 2  2n1 n 2n 当n1时,b 1, 1 1 1 1 当n2时,b  b   b   3n11  , 1 2 2  2n2 n1 2n1 1 1 1 3n11 3n11 两式相减,可得 b   3n1    3n11   ,所以b  , 2n1 n 2n 2n1 2n n 2 3n11 当n1时,b 1,故b 满足b ,故b  . 1 1 n n 2 2b 12a 2 3n14n4 3n 3n1 (2)c  n n =   , n a a 2n32n5 2n5 2n3 n n1 所以T n =c 1 c 2 c 3   c n1 c n 3 1 32 3 33 32 3n1 3n2 3n 3n1 =  +  +  + +  +   7 5 9 7 11 9 2n3 2n1 2n5 2n3 1 3n = + . 5 2n5 1 3n 故T = + . n 5 2n5 1 18.为了合理配置旅游资源,管理部门对首次来武汉旅游的游客进行了问卷调查,据统计,其中 的人计 3 2 划只参观黄鹤楼,另外 的人计划既参观黄鹤楼又游览晴川阁.每位游客若只参观黄鹤楼,则记1分;若 3 既参观黄鹤楼又游览晴川阁,则记 2 分.假设每位首次来武汉旅游的游客计划是否游览晴川阁相互独立, 视频率为概率. (1)从游客中随机抽取2人,记这2人的合计得分为X ,求X 的分布列和数学期望; 高三年级数学试题 第9页 共4页n (2)从游客中随机抽取n人  nN ,记这n人的合计得分恰为n1分的概率为P,求P; n i i1 (3)从游客中随机抽取若干人,记这些人的合计得分恰为n分的概率为a ,求数列{a }的通项公式 n n 【详解】(1)由题意得,随机变量X 的可能取值为2,3,4, 1 2 1 1 2 4 2 2 4 可得P(X 2) 3    9 ,P(X 3)C1 2  3  3  9 ,P(X 4) 3    9 . 所以X 的分布列如下表所示: X 2 3 4 1 4 4 P 9 9 9 1 4 4 10 所以,数学期望为E(X)2 3 4  . 9 9 9 3 (2)由这n人的合计得分为n1分,则其中只有1人计划既参观黄鹤楼又游览晴川阁, 2 1 n1 2n n 2 22 23 2n 所以P C1     ,P     , n n 3 3 3n i 3 32 33 3n i1 1 n 2 22 23 2n 则 P     , 3 i 32 33 34 3n1 i1 1 1 由两式相减,可得 2  n P  2  2  2  2  2n  2  3n  2n , 3 i 3 32 33 3n 3n1 3 1 3n1 i1 1 3 n 3 1  n 所以P  1  . i 2 3n  3n i1 (3)在随机抽取的若干人的合计得分为n1分的基础上再抽取1人,则这些人的合计得分可能为n分或 n1分, 记“合计得n分”为事件A,“合计得n1分”为事件B,A与B是对立事件, 2 因为P(A)a ,P(B) a , n 3 n1 2 3 2 3 所以a  a 1(n2),即a   a  (n2), n 3 n1 n 5 3 n1 5 1 3 1 3 4 因为a  ,a     , 1 3 1 5 3 5 15  3 4 2 则数列a  是首项为 ,公比为 的等比数列,  n 5 15 3 高三年级数学试题 第10页 共4页3 4  2 n1 4  2 n1 3 所以a     (n1),a     (n1) n 5 15 3 n 15 3 5 19.如图,已知圆锥PO的高PO与母线所成的角为,过A的平面与圆锥的高所成的角为,该平面截这 1 个圆锥所得的截面为椭圆C ,椭圆C 的长轴为AA ,短轴为BB ,长轴长为2a,C 的中心为N,再以BB 1 2 1 2 1 2 为弦且垂直于PO的圆截面,记该圆与直线PA交于C ,与直线PA 交于C , 1 1 2 2 (1)用a,,分别表示|NC |,|NC | 1 2 1 1 (2)若cos ,cos ,a 3,    3 9 (i)求椭圆C的焦距; (ii)椭圆C 左右焦点分别为F , F ,C上不同两点D,E在长轴同侧,且 1 2 DF //EF ,设直线FE,FD交于点Q,记S s, 1 2 1 2 QDE 设S  f(s),请写出 f(s)的解析式(不要求求出定义域) 四边形EDFF 1 2 asin() asin() 19.【答案】(1)|C N | ,|C N| 1 cos 2 cos 576s (2)(i)2(ii) f (s) 9s2 128 【 解析 】(1)在 AC N 中, C AN , NA a ,由 正弦 定理得 1 1 1 1 1 NA sinC AN asin() asin() |C N | 1 1 1   1 sinPC N  cos 1 sin( ) 2 asin() 同理,在AC N 中,由正弦定理得|C N| …………………………2分 2 2 2 cos (2)(i)在点C ,C ,B,B 四点所构成的圆中,由圆幂定理得 1 2 1 2 a2sin()sin() b2 |NB |2|NC ||NC | 1 1 2 cos2 1 [cos2cos2] cos 1 e2 1 b2 1 sin()sin() 1 2 ( cos )2 e cos  3 a2 cos2 cos2 cos 又 a 3c1, 故求椭圆C 的焦距2c为2 ……………………………………6分  高三年级数学试题 第11页 共4页  (ii)依题意,设FDF E (0), 1 2 1 1 S  S s S (1 )S (1 )s DQE F 1 QF 2 EF 1 F 2  QF 1 F 2  1 1 S  S S (1 1)s s EQF 2 EF 1 F 2 QF 1 F 2   S 2S s DQF EQF 1 2 1 S  f(s)( 2)s………………………………………………………………………9分 四边形EDF 1 F 2    以 N 为坐标原点,以向量 AA ,BB 方向分别为 x轴, y 轴正方向,建立平面直角坐标系,则 1 2 1 2 x2 y2 C:  1………………………………………………………………………………………………10分 9 8   延长DF 交C 于E 点,由对称性知DF FE , 1 1 1 1 1  x x x2 y2 1 1 2 1  1 1   1   9 8 x2 y2 x2 y2 设D(x 1 ,y 1 ),E 1 (x 2 ,y 2 ),则  0 y 1 y 2  x 2 2  y 2 2 1 ( 9 1  8 1 )2( 9 2  8 2 )12  1  9 8 x 45 (x x )(x x ) (y y )(y y )  1 即 1 2 1 2  1 2 1 2 12 x x 9(1)  4 9 8 1 2 x 5   2  x2 (45)2 S (1)s c| y || y | (1)2s2  y2 8(1 1 )8[1 ]  DF 1 F 2 1 1 1 9 9 9(1)2s2 9(2 21)s2 8[9(45)2]8(162 4016)64(22 52) 1 2 1 两边同除以,得9( 2)s2 64(2 5) 设t  2,其中t 4,则有    649 9ts2 64(2t9) 可得t  ………………………………………………………………15分 9s2 128 1 649s 576s  f(s)( 2)st s  …………………………………………………17分  9s2 128 9s2 128 高三年级数学试题 第12页 共4页