当前位置:首页>文档>湖北省荆州市沙市中学2024-2025学年高三上学期12月月考历史+答案_2024-2025高三(6-6月题库)_2024年12月试卷_1230湖北省荆州市沙市中学2024-2025学年高三上学期12月月考(全科)

湖北省荆州市沙市中学2024-2025学年高三上学期12月月考历史+答案_2024-2025高三(6-6月题库)_2024年12月试卷_1230湖北省荆州市沙市中学2024-2025学年高三上学期12月月考(全科)

  • 2026-04-21 05:52:06 2026-02-19 02:19:00

文档预览

湖北省荆州市沙市中学2024-2025学年高三上学期12月月考历史+答案_2024-2025高三(6-6月题库)_2024年12月试卷_1230湖北省荆州市沙市中学2024-2025学年高三上学期12月月考(全科)
湖北省荆州市沙市中学2024-2025学年高三上学期12月月考历史+答案_2024-2025高三(6-6月题库)_2024年12月试卷_1230湖北省荆州市沙市中学2024-2025学年高三上学期12月月考(全科)
湖北省荆州市沙市中学2024-2025学年高三上学期12月月考历史+答案_2024-2025高三(6-6月题库)_2024年12月试卷_1230湖北省荆州市沙市中学2024-2025学年高三上学期12月月考(全科)
湖北省荆州市沙市中学2024-2025学年高三上学期12月月考历史+答案_2024-2025高三(6-6月题库)_2024年12月试卷_1230湖北省荆州市沙市中学2024-2025学年高三上学期12月月考(全科)
湖北省荆州市沙市中学2024-2025学年高三上学期12月月考历史+答案_2024-2025高三(6-6月题库)_2024年12月试卷_1230湖北省荆州市沙市中学2024-2025学年高三上学期12月月考(全科)
湖北省荆州市沙市中学2024-2025学年高三上学期12月月考历史+答案_2024-2025高三(6-6月题库)_2024年12月试卷_1230湖北省荆州市沙市中学2024-2025学年高三上学期12月月考(全科)
湖北省荆州市沙市中学2024-2025学年高三上学期12月月考历史+答案_2024-2025高三(6-6月题库)_2024年12月试卷_1230湖北省荆州市沙市中学2024-2025学年高三上学期12月月考(全科)
湖北省荆州市沙市中学2024-2025学年高三上学期12月月考历史+答案_2024-2025高三(6-6月题库)_2024年12月试卷_1230湖北省荆州市沙市中学2024-2025学年高三上学期12月月考(全科)
湖北省荆州市沙市中学2024-2025学年高三上学期12月月考历史+答案_2024-2025高三(6-6月题库)_2024年12月试卷_1230湖北省荆州市沙市中学2024-2025学年高三上学期12月月考(全科)

文档信息

文档格式
docx
文档大小
0.832 MB
文档页数
9 页
上传时间
2026-02-19 02:19:00

文档内容

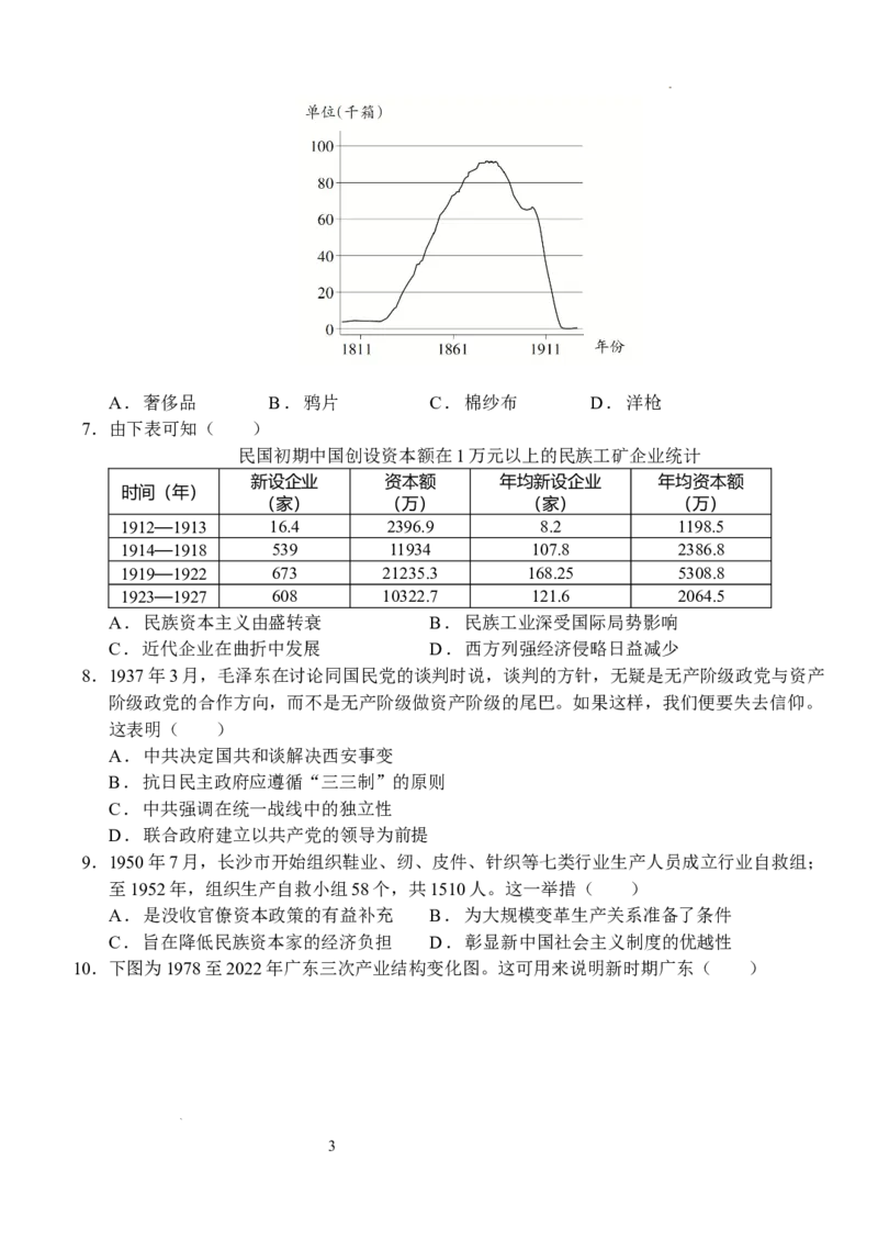
2024—2025 学年度上学期 2022 级 12 月月考历史试卷 命题人:罗虹 审题人:闫哲锋 考试时间:2024年12月26日 一、选择题(每题3分,共45分) 1.表1所示为《左传》中记录的春秋时期的部分史实。这可用于说明,春秋时期( ) 表1 襄公十四年(前559年),师旷说:“天生民而立君……天之爱民甚矣,岂使一 1 人肆与民上,以纵其淫” 昭公十三年(前529年),楚国内乱时,右尹子革等谏楚灵王说:“请待于 2 郊,以听国人” A.君权神授观念渐趋盛行 B.传统政治秩序受到冲击 C.诸子学术思想融会贯通 D.列国争霸依赖民意基础 2.下边是西汉官盐、官铁的分布图。该图能够反映出西汉时期( ) A.中央对南方控制力度较弱 B.南方盐铁资源较匮乏 C.地区间经济发展程度不同 D.盐铁业得到迅速发展 3.白居易在《赠友》中评价某制度时指出,“胡(何)为秋夏税,岁岁输铜钱。钱力日已重, 农力日已殚”。柳宗元在《答元饶州论政理书》中也提及该制度导致“贫者愈困饿死亡而莫 之省,富者愈恣横侈泰而无所忌”。材料提及的该制度( ) A.一定程度上抑制了土地兼并 B.减轻了国家对农民的人身控制 C.阻碍了唐代商品经济的发展 D.有利于保障民众农业生产时间 1 学科网(北京)股份有限公司4.宋朝地方设路如图2,每路设四司,分管路内事务;四司互不统属,在不同州独立办公,分 别隶属于不同中央部门。宋代路的设置( ) 图2 A.吸取外重内轻历史教训 B.以山川形便为划分原则 C.提高了地方的行政效率 D.兼具中央和地方双重性 5.清中期,朝廷开始为书写“国史”准备材料,要修本朝人物的传记时,清帝下令把曾经为清 朝立下汗马功劳的明朝降臣们统统编入《贰臣传》,把史可法等当初誓死抵抗清军的前明官 员列为忠臣。这说明当时( ) A.修史指导思想发生转变 B.传统价值观念根深蒂固 C.人物评价标准出现偏差 D.社会秩序逐渐出现动荡 6.下图反映了19世纪西方某项商品对华出口的状况。据此判断,该商品是( ) 2 学科网(北京)股份有限公司A.奢侈品 B.鸦片 C.棉纱布 D.洋枪 7.由下表可知( ) 民国初期中国创设资本额在1万元以上的民族工矿企业统计 新设企业 资本额 年均新设企业 年均资本额 时间(年) (家) (万) (家) (万) 1912—1913 16.4 2396.9 8.2 1198.5 1914—1918 539 11934 107.8 2386.8 1919—1922 673 21235.3 168.25 5308.8 1923—1927 608 10322.7 121.6 2064.5 A.民族资本主义由盛转衰 B.民族工业深受国际局势影响 C.近代企业在曲折中发展 D.西方列强经济侵略日益减少 8.1937年3月,毛泽东在讨论同国民党的谈判时说,谈判的方针,无疑是无产阶级政党与资产 阶级政党的合作方向,而不是无产阶级做资产阶级的尾巴。如果这样,我们便要失去信仰。 这表明( ) A.中共决定国共和谈解决西安事变 B.抗日民主政府应遵循“三三制”的原则 C.中共强调在统一战线中的独立性 D.联合政府建立以共产党的领导为前提 9.1950年7月,长沙市开始组织鞋业、纫、皮件、针织等七类行业生产人员成立行业自救组; 至1952年,组织生产自救小组58个,共1510人。这一举措( ) A.是没收官僚资本政策的有益补充 B.为大规模变革生产关系准备了条件 C.旨在降低民族资本家的经济负担 D.彰显新中国社会主义制度的优越性 10.下图为1978至2022年广东三次产业结构变化图。这可用来说明新时期广东( ) 3 学科网(北京)股份有限公司A.市场经济逐步形成 B.对外开放不断深化 C.产业结构趋于均衡 D.经济发展成效显著 11.对于希腊人在希波战争中取得胜利的原因,古希腊历史学家希罗多德摒弃了神秘主义的认知 倾向,将它归之为希腊装备精良、纪律严明、行动敏捷、领导有方以及处于防御优势的结 果。希罗多德的上述观点反映出( ) A.希腊取得战争胜利具有必然性 B.民主政治提高了希腊作战实力 C.史学观念从神本向人本的转变 D.经济繁荣促进历史认识的发展 12.中世纪后期的英法等国国王,经常向工商业城市颁布特许状,批准其获得自治权,从当地封 建领主的统治下解脱。作为回报,这些城市向国王缴纳大量工商税。这说明( ) A.城市自治激化王权与教权的矛盾 B.欧洲资本原始积累逐步完成 C.自治城市是国王集权的重要支持 D.城市自治推动君主立宪建立 13.1742年,沃波尔的下台开创了英国内阁首相在失去下院多数支持时应当辞职的先例。1746 年,首相佩勒姆与内阁成员集体辞职的事件开创了内阁集体辞职的先例。这主要表明当时英 国( ) A.责任内阁制遭到了破坏 B.议会主权原则影响深远 C.内阁运行机制趋于成型 D.君主立宪制仍有待完善 14.维多利亚女王(1837年继位)统治时期,英国出现了反殖民思潮。这些反殖民者中既有学者 也有当权的官员,他们甚至主张应该把殖民地当做多余的负担加以甩掉。英国反殖民思潮兴 起的根源是( ) A.发展模式的革新 B.思想解放的推动 C.亚非民众的反抗 D.英国国力的衰败 15.20世纪70年代以来,随着科学技术尤其是人工智能等技术的突飞猛进,劳动收入占比不断 发生变化。下图是全球主要经济体的劳动收入占比图,据此可以推断( ) 4 学科网(北京)股份有限公司全球主要经济体的劳动收入占比图 A.劳动者收入下降 B.贫富差距拉大 C.南北差距扩大 D.经济持续增长 二、非选择题 16.【中国古代史家观念】(阅读材料,按要求作答。(15分) 材料一 司马彪出身于西晋皇族,著有《续汉书》《战略》等。只有《续汉书》八志因附于范晔《后 汉书》中而得以保存。在《续汉书·百官志》中司马彪认为,圣人应当不刻意建立各种功勋以立 名,这在政治实践上表现为精简机构及政令、与民休息、崇尚节约等。他批判汉武帝“多所改 作”,使百姓的负担大大增加;他盛赞汉光武帝“务从节约,并官省职”,使百姓得以休养生 息。《续汉书·礼仪志》还记载了他在晋武帝泰始年间上表反对将祭祀六宗立为新礼的理由:三代 时并无祭祀六宗之制,且后来实行的所谓六宗之祀其实已涵盖在其他祭祀制度之中。 ——摘编自李毅婷《西晋前期政治思想的玄学化——以司马彪为中心》 材料二 《后汉书》的作者范晔认为,刘秀之所以能“系隆我汉”,天命只是其中的一个方面,另外 一个重要的方面则是“人为"。范晔不仅认可刘秀称帝后的功业,也对刘秀“发奋兴兵……平定天 下,海内蒙恩”等诏语多有引述。他把东汉帝王“人为”的根本归之于“帝德”之善,强调帝王 在因应天命的同时,还应当以德行之,从而创建和恪守功业。基于这一认识,曹操等人成了范晔 批评的对象。范晔还在论及东汉一代女主专权、宦官干政时,取儒家所强调的“夫妇之际,人道 之大伦也”为评判的准绳。 ——摘编自王亮军《论范晔〈后汉书〉中的“大一统”意识》 材料三 西晋时,陈寿写《三国志》,以曹魏为正统;东晋史家习凿齿写《晋承汉统论》,认为曹魏 并没有统一天下,不得为正统,晋朝应该直接继承汉朝而为正统。唐朝官方编纂的一系列史书中 以“大一统”王朝的眼光平视南北朝的政权,并上推唐朝的授受关系,以北朝为正统。到北宋时 期,以统一天下为标准的正统论占了主流,欧阳修、司马光的著作都体现了这一思想。 ——摘编自江湄《正统论:深入理解中国文明的关键概念》 5 学科网(北京)股份有限公司(1)根据材料一、二,概括《续汉书》和《后汉书》思想倾向上的异同。(6分) (2)根据材料三,指出西晋至北宋史家正统观的变化趋向,并对此进行简要评价。(9分) 17.【近代中国民营工业的变迁】(以下材料是1890年至1936年近代中国民营电力工业的发展 状况。阅读材料,回答问题。(14分) 材料一 1890年—1936年近代中国新设电力工业数量(民营) ——建设委员会出版“中国电气事业统计”和“中国工业电厂统计” 材料二 表4 1890年—1936年不同省份新设电力工业数量累计(民营) 省份 数量(家) 省份 数量(家) 省份 数量(家) 安徽 14 江西 14 河南 9 察哈尔 2 辽宁 1 黑龙江 7 福建 27 热河 1 湖北 15 甘肃 1 山东 27 湖南 15 广东 39 山西 10 吉林 16 广西 3 陕西 1 江苏 107 河北 25 四川 18 浙江 88 云南 3 绥远 2 西康 1 ——建设委员会出版“中国电气事业统计”和“中国工业电厂统计” (1)结合材料,概括指出1890年至1936年近代中国民营电力工业发展的特点。(6分) (2)结合材料和所学知识,概括影响1890年至1936年近代中国民营电力工业发展的主要因素并 加以说明。(8分) 18.【二战后的大西洋史学】(阅读材料,完成下列要求。(14分) 材料一 大西洋史学主张把大西洋内部及其周边的岛屿、国家和区域等作为一个整体来进行研究。二 战后,欧美史学家共同推动了大西洋史研究的兴起。大西洋共同体意识的兴起对于大西洋史研究 的兴起也起到了助推作用。有学者提出“大西洋文明”“民主革命的时代”和“大西洋革命”等 术语,他们都极力强调美国和西欧国家的共同价值观。 ——据魏涛《二战以来欧美学界大西洋史的研究路径和发展趋势》等整理 材料二 自20世纪90年代以来,一些非洲史学家以及关注美洲与非洲之间历史联系的美洲史学家对 6 学科网(北京)股份有限公司以往大西洋史研究存在的“欧洲中心论”提出质疑,他们倡导“黑色大西洋”的概念。这些研究 在强调大西洋世界形成过程对于非洲造成严重暴力与剥削的前提下,尤其关注非洲社会在跨大西 洋联系形成过程中的能动作用。相关研究涉及非洲奴隶贸易与大西洋世界的形成、与非洲联系对 美洲文明的影响、非洲裔美洲移民文化的起源、大西洋联系对于非洲社会的影响等重要论题。 ——摘编自李鹏涛《“黑色大西洋”:近年来国外学界有 关非洲在大西洋史中的地位与作用的研究》 (1)结合材料一和所学知识,分析二战后大西洋史研究兴起的原因。(8分) (2)结合材料二和所学知识,分析学者提出“黑色大西洋”概念的意义。(6分) 19.【甲午战争与中国社会心理】阅读材料,回答问题(12分) 材料一 “日人本短小若侏儒,从无高至四尺以上者,不似华人之身材高大体态昂藏(仪表雄伟、气 宇不凡的样子)。”“以我堂堂天朝,幅员之广大,人民之多,财赋之厚,兵卒之精,十倍与 尔,尔乃不自量力,轻启兵端是不明乎大小之势矣。 ——摘自《申报》(1894年7月20、28日载文) 材料二 夫华夏夷狄者,内外(居住地理位置有内外之别)之词也,居乎内,即不得不谓外此者为 夷。苟平心论之,实我夷而彼犹不失为夏。中国尝笑西人冠服简陋,西人即诘我之发辫有何用 处,亦无以答也。无怪西人谓中国不虚心,不自反,不自愧,不好学,不耻不若人,至目为不痛 不痒顽钝无耻之国。 ——谭嗣同《思纬氤氲台短书》(1895年) 材料三 日本之步武泰西至速也。故自维新至今三十年,而治艺已成。大地之中,变法而骤强者,惟 俄与日也,俄远而治效不著,文字不同也。吾今取之至近之日本,察其变法之条理先后,则吾之 治效,可三年而成,尤为捷疾也。 ——梁启超《读〈日本书目志〉书后》(1897年) 根据材料并结合所学知识,自拟论题,并结合所学加以论述(观点正确,史论结合,表述成 文 )。 高三 12 月月考历史参考答案 一、选择题 题号 1 2 3 4 5 6 7 8 9 10 11 12 13 14 15 答案 B C B A B B B C B D C C C A B 二、非选择题 16.【答案】(15分) (1)同:深受儒学影响;侧重人事,带有民本(人本)色彩;关注统治者的德行;重视政 7 学科网(北京)股份有限公司治垂训作用。(4分,答出两点即可,其他答案言之有理亦可) 异:《续汉书》受道家(玄学)的无为影响更深,《后汉书》更崇尚人道有为的儒学 观念;《续汉书》和《后汉书》在评判帝王功绩时,分别以休养生息和建功立业 为标准。(2分,答出一点即可,其他答案言之有理亦可) (2)变化趋向:从以占据中原地区的政权为正统转向以统一王朝为正统。(2分) 评价:传播了统一多民族国家理念;肯定了民族交融的成果;有利于增强中华文明的 凝聚力、向心力;体现了人文主义精神的发展;对偏安王朝统治者有一定劝谏 作用;(6分,答出三点即可) 深受现实政治环境影响,根本上还是为统治阶级服务。(1分,其他答案言之有 理亦可) 17.【答案】(14分) (1)特点:受政治经济等因素影响呈呈现发展的阶段性;沿海与内地发展的不平衡 性;整体曲折性。(6分) (2)①国内政治局势的变动:如辛亥革命,民国的建立;南京国民政府形式上的统 一,政局的稳定,奠定了良好的政治局面; ②国际局势的影响:一战期间,西方列强放松了对中国的经济侵略,促进了电力工业 的发展。 ③政府政策:清末新政采取一系列奖励实业的措施;北洋政府采取的鼓励创办实业的 措施;南京国民政府颁发了有关电力工业的法律法规。 ④经济发展:随近代民族工业的不断发展,工业用电量出现了急剧的增加,推动电力 工业发展。 ⑤自然资源:各地区煤炭资源分布、水力资源分布和交通便利性的差异。 (任答4个方面即可,共8分) 18.【答案】(14分) (1)二战期间,美国与西欧国家结盟,共同打败法西斯势力;美苏冷战使美国与西欧国家 之间的合作加强;马歇尔计划和北约密切了美国与西欧国家之间的合作;美国与西欧 各国拥有共同的文化;欧美史学家们的推动。(8分,每点2分,任答四点即可) (2)有利于更广泛、深入地研究非洲文明对世界的贡献;维护非洲各国的独立和发展;增 强非洲人民的文化自信;纠正大西洋史研究中“欧洲中心论”的弊端。(6分,每点2 分,任答三点即可) 19.【答案】 (12分) 8 学科网(北京)股份有限公司示例:甲午战争推动中国人社会心理的嬗变(2分)。 甲午战争前后,中国社会心理由战前虚骄心理逐渐转变为重新思考华夷观念、虚心向日本学 习(2分)。 甲午战争之前,受天朝上国传统观念以及洋务运动取得较大成效的影响,加之此时中国人对 明治维新后日本社会的变化缺乏了解,中国民众轻视日本,认为日本是蛮夷小邦,如果中日开 战,日本不堪一击,中国必胜(2分)。但是甲午战争中中国战败,《马关条约》的签订使民族 危机进一步加深,谭嗣同、梁启超等先进的中国人开始突破传统的华夷观念的束缚,重新审视日 本,承认日本的强盛并提出向日本学习的新思想(2分)。梁启超等知识分子社会心理变化推动 了中国向西方学习的深化,为戊戌变法运动的兴起提供了思想基础,推动了中华民族救亡图存运 动的发展。(2分) 综上所述,甲午战争前后中国人社会心理的嬗变,记录了那个时代逸出旧轨的阵痛与努力, 折射出民族意识的不屈与觉醒(2分)。 9 学科网(北京)股份有限公司