当前位置:首页>文档>重庆市巴蜀中学校2025-2026学年高二上学期10月月考地理试题Word版含解析_2025年11月高二试卷_251111重庆市巴蜀中学教育集团2025-2026学年高二上学期10月月考试题(全)

重庆市巴蜀中学校2025-2026学年高二上学期10月月考地理试题Word版含解析_2025年11月高二试卷_251111重庆市巴蜀中学教育集团2025-2026学年高二上学期10月月考试题(全)

  • 2026-03-29 22:26:59 2026-02-19 11:53:42

文档预览

重庆市巴蜀中学校2025-2026学年高二上学期10月月考地理试题Word版含解析_2025年11月高二试卷_251111重庆市巴蜀中学教育集团2025-2026学年高二上学期10月月考试题(全)
重庆市巴蜀中学校2025-2026学年高二上学期10月月考地理试题Word版含解析_2025年11月高二试卷_251111重庆市巴蜀中学教育集团2025-2026学年高二上学期10月月考试题(全)
重庆市巴蜀中学校2025-2026学年高二上学期10月月考地理试题Word版含解析_2025年11月高二试卷_251111重庆市巴蜀中学教育集团2025-2026学年高二上学期10月月考试题(全)
重庆市巴蜀中学校2025-2026学年高二上学期10月月考地理试题Word版含解析_2025年11月高二试卷_251111重庆市巴蜀中学教育集团2025-2026学年高二上学期10月月考试题(全)
重庆市巴蜀中学校2025-2026学年高二上学期10月月考地理试题Word版含解析_2025年11月高二试卷_251111重庆市巴蜀中学教育集团2025-2026学年高二上学期10月月考试题(全)
重庆市巴蜀中学校2025-2026学年高二上学期10月月考地理试题Word版含解析_2025年11月高二试卷_251111重庆市巴蜀中学教育集团2025-2026学年高二上学期10月月考试题(全)
重庆市巴蜀中学校2025-2026学年高二上学期10月月考地理试题Word版含解析_2025年11月高二试卷_251111重庆市巴蜀中学教育集团2025-2026学年高二上学期10月月考试题(全)
重庆市巴蜀中学校2025-2026学年高二上学期10月月考地理试题Word版含解析_2025年11月高二试卷_251111重庆市巴蜀中学教育集团2025-2026学年高二上学期10月月考试题(全)
重庆市巴蜀中学校2025-2026学年高二上学期10月月考地理试题Word版含解析_2025年11月高二试卷_251111重庆市巴蜀中学教育集团2025-2026学年高二上学期10月月考试题(全)
重庆市巴蜀中学校2025-2026学年高二上学期10月月考地理试题Word版含解析_2025年11月高二试卷_251111重庆市巴蜀中学教育集团2025-2026学年高二上学期10月月考试题(全)
重庆市巴蜀中学校2025-2026学年高二上学期10月月考地理试题Word版含解析_2025年11月高二试卷_251111重庆市巴蜀中学教育集团2025-2026学年高二上学期10月月考试题(全)
重庆市巴蜀中学校2025-2026学年高二上学期10月月考地理试题Word版含解析_2025年11月高二试卷_251111重庆市巴蜀中学教育集团2025-2026学年高二上学期10月月考试题(全)
重庆市巴蜀中学校2025-2026学年高二上学期10月月考地理试题Word版含解析_2025年11月高二试卷_251111重庆市巴蜀中学教育集团2025-2026学年高二上学期10月月考试题(全)

文档信息

文档格式
docx
文档大小
0.513 MB
文档页数
13 页
上传时间
2026-02-19 11:53:42

文档内容

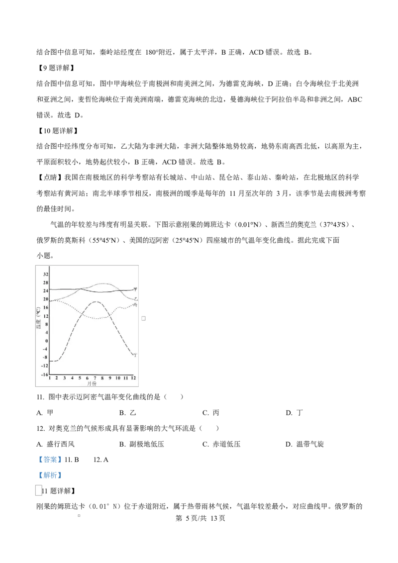
巴蜀中学高 2027 届高二(上)月考 地理试卷 注意事项: 1.答题前,考生务必用黑色碳素笔将自己的姓名、准考证号、考场号、座位号在答题卡上填写 清楚。 2.每小题选出答案后,用 2B 铅笔把答题卡上对应题目的答案标号涂黑。如需改动,用橡皮擦 干净后,再选涂其他答案标号。在试题卷上作答无效。 3.考试结束后,请将本试卷和答题卡一并交回。满分 100 分,考试用时 75 分钟 一、单项选择题:本题共 20 小题,每小题 3 分,共 60 分。在每小题给出的四个选项中,只 有一项是符合题目要求的。 瑞士小镇瓦尔斯地处阿尔卑斯山峡谷之中,温泉资源丰富。下图为瓦尔斯温泉浴场位置示意图。据此 完成下面小题。 1. 温泉浴场建筑群的最大高差约为( ) A. 10 米 B. 21 米 C. 42 米 D. 50 米 2. 推测图示河流总体流向为( ) A. 自西南向东北 B. 自东北向西南 C. 自东南向西北 D. 自西北向东南 3. 温泉浴场最可能遭遇的自然灾害是( ) A. 风暴潮 B. 洪涝 C. 滑坡 D. 飓风 【答案】1. B 2. A 3. C 【解析】 【1 题详解】 图中相邻等高线的高差为 20 米,温泉浴场建筑群所在区域最高点范围为 1280