当前位置:首页>文档>专题24《第一篇热点、难点突破》模拟测试卷解析版_2.2025数学总复习_2023年新高考资料_二轮复习_备战2023年高考数学二轮复习考点精讲练(新教材·新高考)

专题24《第一篇热点、难点突破》模拟测试卷解析版_2.2025数学总复习_2023年新高考资料_二轮复习_备战2023年高考数学二轮复习考点精讲练(新教材·新高考)

  • 2026-04-12 22:03:56 2026-03-17 06:15:53

文档预览

专题24《第一篇热点、难点突破》模拟测试卷解析版_2.2025数学总复习_2023年新高考资料_二轮复习_备战2023年高考数学二轮复习考点精讲练(新教材·新高考)
专题24《第一篇热点、难点突破》模拟测试卷解析版_2.2025数学总复习_2023年新高考资料_二轮复习_备战2023年高考数学二轮复习考点精讲练(新教材·新高考)
专题24《第一篇热点、难点突破》模拟测试卷解析版_2.2025数学总复习_2023年新高考资料_二轮复习_备战2023年高考数学二轮复习考点精讲练(新教材·新高考)
专题24《第一篇热点、难点突破》模拟测试卷解析版_2.2025数学总复习_2023年新高考资料_二轮复习_备战2023年高考数学二轮复习考点精讲练(新教材·新高考)
专题24《第一篇热点、难点突破》模拟测试卷解析版_2.2025数学总复习_2023年新高考资料_二轮复习_备战2023年高考数学二轮复习考点精讲练(新教材·新高考)
专题24《第一篇热点、难点突破》模拟测试卷解析版_2.2025数学总复习_2023年新高考资料_二轮复习_备战2023年高考数学二轮复习考点精讲练(新教材·新高考)
专题24《第一篇热点、难点突破》模拟测试卷解析版_2.2025数学总复习_2023年新高考资料_二轮复习_备战2023年高考数学二轮复习考点精讲练(新教材·新高考)
专题24《第一篇热点、难点突破》模拟测试卷解析版_2.2025数学总复习_2023年新高考资料_二轮复习_备战2023年高考数学二轮复习考点精讲练(新教材·新高考)
专题24《第一篇热点、难点突破》模拟测试卷解析版_2.2025数学总复习_2023年新高考资料_二轮复习_备战2023年高考数学二轮复习考点精讲练(新教材·新高考)
专题24《第一篇热点、难点突破》模拟测试卷解析版_2.2025数学总复习_2023年新高考资料_二轮复习_备战2023年高考数学二轮复习考点精讲练(新教材·新高考)
专题24《第一篇热点、难点突破》模拟测试卷解析版_2.2025数学总复习_2023年新高考资料_二轮复习_备战2023年高考数学二轮复习考点精讲练(新教材·新高考)
专题24《第一篇热点、难点突破》模拟测试卷解析版_2.2025数学总复习_2023年新高考资料_二轮复习_备战2023年高考数学二轮复习考点精讲练(新教材·新高考)
专题24《第一篇热点、难点突破》模拟测试卷解析版_2.2025数学总复习_2023年新高考资料_二轮复习_备战2023年高考数学二轮复习考点精讲练(新教材·新高考)
专题24《第一篇热点、难点突破》模拟测试卷解析版_2.2025数学总复习_2023年新高考资料_二轮复习_备战2023年高考数学二轮复习考点精讲练(新教材·新高考)
专题24《第一篇热点、难点突破》模拟测试卷解析版_2.2025数学总复习_2023年新高考资料_二轮复习_备战2023年高考数学二轮复习考点精讲练(新教材·新高考)
专题24《第一篇热点、难点突破》模拟测试卷解析版_2.2025数学总复习_2023年新高考资料_二轮复习_备战2023年高考数学二轮复习考点精讲练(新教材·新高考)
专题24《第一篇热点、难点突破》模拟测试卷解析版_2.2025数学总复习_2023年新高考资料_二轮复习_备战2023年高考数学二轮复习考点精讲练(新教材·新高考)
专题24《第一篇热点、难点突破》模拟测试卷解析版_2.2025数学总复习_2023年新高考资料_二轮复习_备战2023年高考数学二轮复习考点精讲练(新教材·新高考)
专题24《第一篇热点、难点突破》模拟测试卷解析版_2.2025数学总复习_2023年新高考资料_二轮复习_备战2023年高考数学二轮复习考点精讲练(新教材·新高考)
专题24《第一篇热点、难点突破》模拟测试卷解析版_2.2025数学总复习_2023年新高考资料_二轮复习_备战2023年高考数学二轮复习考点精讲练(新教材·新高考)
专题24《第一篇热点、难点突破》模拟测试卷解析版_2.2025数学总复习_2023年新高考资料_二轮复习_备战2023年高考数学二轮复习考点精讲练(新教材·新高考)
专题24《第一篇热点、难点突破》模拟测试卷解析版_2.2025数学总复习_2023年新高考资料_二轮复习_备战2023年高考数学二轮复习考点精讲练(新教材·新高考)
专题24《第一篇热点、难点突破》模拟测试卷解析版_2.2025数学总复习_2023年新高考资料_二轮复习_备战2023年高考数学二轮复习考点精讲练(新教材·新高考)
专题24《第一篇热点、难点突破》模拟测试卷解析版_2.2025数学总复习_2023年新高考资料_二轮复习_备战2023年高考数学二轮复习考点精讲练(新教材·新高考)
专题24《第一篇热点、难点突破》模拟测试卷解析版_2.2025数学总复习_2023年新高考资料_二轮复习_备战2023年高考数学二轮复习考点精讲练(新教材·新高考)
专题24《第一篇热点、难点突破》模拟测试卷解析版_2.2025数学总复习_2023年新高考资料_二轮复习_备战2023年高考数学二轮复习考点精讲练(新教材·新高考)
专题24《第一篇热点、难点突破》模拟测试卷解析版_2.2025数学总复习_2023年新高考资料_二轮复习_备战2023年高考数学二轮复习考点精讲练(新教材·新高考)
专题24《第一篇热点、难点突破》模拟测试卷解析版_2.2025数学总复习_2023年新高考资料_二轮复习_备战2023年高考数学二轮复习考点精讲练(新教材·新高考)
专题24《第一篇热点、难点突破》模拟测试卷解析版_2.2025数学总复习_2023年新高考资料_二轮复习_备战2023年高考数学二轮复习考点精讲练(新教材·新高考)

文档信息

文档格式
docx
文档大小
1.819 MB
文档页数
29 页
上传时间
2026-03-17 06:15:53

文档内容

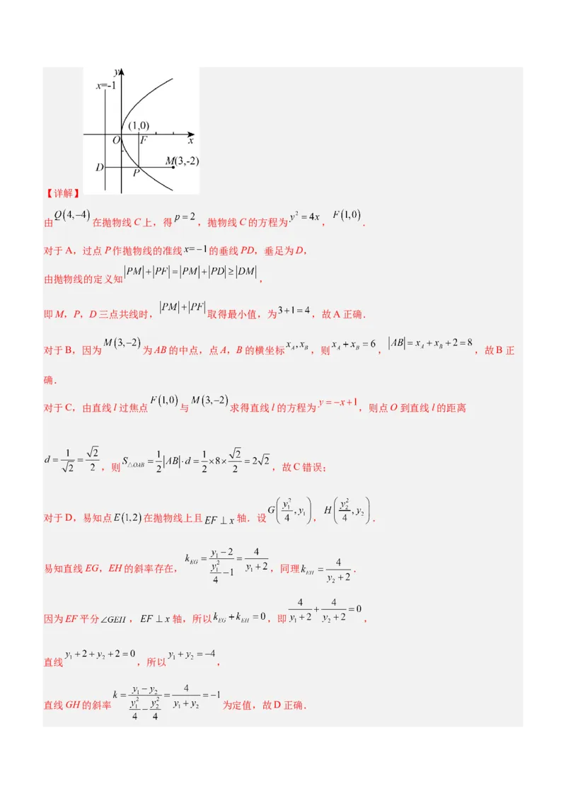
第一篇 热点、难点突破篇 专题 24 模拟测试卷(新高考地区专用) 注意事项: 1.答卷前,考生务必将自己的姓名、考生号等填写在答题卡和试卷指定位置上。 2.回答选择题时,选出每小题答案后,用铅笔把答题卡对应题目的答案标号涂黑。如需改动,用橡皮擦干净 后,再选涂其他答案标号。回答非选择题时,将答案写在答题卡上。写在本试卷上无效。 3.考试结束后,将本试卷和答题卡一并交回。 一、单项选择题:本题共8小题,每小题5分,共40分。在每小题给出的四个选项中,只有一项是符合题目 要求的。 1.(2023·陕西榆林·统考一模)已知集合 ,则 ( ) A. B. C. D. 【答案】D 【分析】先解出集合 ,再求 . 【详解】因为 , 所以 , 所以 . 故选:D 2.(2023春·浙江绍兴·高三统考开学考试)若 ( 是虚数单位),则 ( ) A. B.0 C.1 D.3 【答案】A 【分析】化简得 ,解出 的值即可. 【详解】因为 ,所以 , 则 ,所以 , 故选:A.3.(2023春·河南洛阳·高三栾川县第一高级中学校考开学考试)已知AB是 的直径,C,D是半圆弧AB上 的两个三等分点,设 ,则 ( ) A. B. C. D. 【答案】A 【分析】由平面向量的线性运算法则求解. 【详解】 是 的直径,C,D是半圆弧AB上的两个三等分点, 且 , . 故选:A. 4.(2022秋·辽宁丹东·高三校联考阶段练习)我国有着丰富悠久的“印章文化”,古时候的印章一般用贵重 的金属或玉石制成,本是官员或私人签署文件时代表身份的信物,后因其独特的文化内涵,也被作为装饰物来 使用.图1是明清时期的一个金属印章摆件,除去顶部的环以后可以看作是一个正四棱柱和一个正四棱锥组成 的几何体,如图2.已知正四棱柱和正四棱锥的高相等,且底面边长均为4,若该几何体的所有顶点都在同一个 球面上,则这个球的表面积是( ) 图1 图2 A. B. C. D. 【答案】C 【分析】结合勾股定理求得球的半径,进而求得球的表面积.【详解】底面边长为 ,底面的对角线长为 . 设正四棱柱和正四棱锥的高为 ,外接球的半径为 , 则 , 解得 , 所以外接球的表面积为 . 故选:C 5.(2022·广东广州·统考三模)“总把新桃换旧符”(王安石)、“灯前小草写桃符”(陆游),春节是中 华民族的传统节日,在宋代人们用写“桃符”的方式来祈福避祸,而现代人们通过贴“福”字、贴春联、挂灯 笼等方式来表达对新年的美好祝愿,某商家在春节前开展商品促销活动,顾客凡购物金额满80元,则可以从 “福”字、春联和灯笼这三类礼品中任意免费领取一件,若有5名顾客都领取一件礼品,则他们中恰有3人领 取的礼品种类相同的概率是( ) A. B. C. D. 【答案】D 【分析】先由组合及分步计数原理求出恰有3人领取的礼品种类相同的情况,再求出总情况,由古典概型求解 即可. 【详解】先考虑恰有3人领取的礼品种类相同的,先从5人中选取3人有 种,再从三类礼品中领取一件 有 , 另外2人从剩下的2类礼品中任意选择有 种,按照分步乘法计数原理可得 种, 又总情况有 种,故恰有3人领取的礼品种类相同的概率是 . 故选:D. 6.(2023秋·内蒙古包头·高三统考期末)若函数 与 都在区间 上单调递增,则 的最大值为( )A. B. C. D. 【答案】C 【分析】分析在一个较大区间内 的单调性,找出它们的公共增区间 ,分析出 的最大值. 【详解】 的周期为 , 的周期为 ,分析在 内两个函数的单调性, 函数 在 上单调递增, 函数 在 上单调递增, 所以函数 与 都在区间 上单调递增, 且 为 的最大公共增区间 所以则 , ,所以 的最大值为 . 故选:C. 7.(2023·全国·模拟预测)已知实数 ,且 , , , 则实数a,b,c的大小关系为( ) A. B. C. D. 【答案】D 【分析】将式子进行变形,构造函数 ,结合函数的单调性即可比较【详解】由 得 ,由 得 ,由 得 , 故构造函数 ,则 ,则当 时, 单调递减,当 时, 单调递增, 当 时, 取最大值 ,其图象如图所示: 分别取 ,由于 ,且 故 ,又 ,故 , 由于 时, 单调递减,在 时, 单调递增, 结合图象得: , 故选:D 8.(2023秋·浙江嘉兴·高三统考期末)如图,在棱长为2的正方体 中, 为棱 的中点, 分别是底面 与侧面 的中心, 为该正方体表面上的一个动点,且满足 ,记点 的 轨迹所在的平面为 ,则过 四点的球面被平面 截得的圆的周长是( )A. B. C. D. 【答案】B 【分析】建立空间直角坐标系,找到球心O和点 的轨迹,求出 到平面 的距离,利用几何法求截面圆的半 径和周长. 【详解】取面对角线 中点 ,连接 , , , , 分别在 上,且 , 以 为原点, 的方向分别为 轴, 轴, 轴正方向,建立如图所示的空间直角坐标系, , , , , , , , , , , , , , 三棱锥 中, 为直角三角形,所以 ,因此点 即为三棱锥 的外接球球心,球半径长为 , , , , , , 共面, , , , , 平面 , , 平面 , 平面 , 点 的轨迹为矩形 的四边,如图所示, , 为平面 的法向量, 则球心 到平面 的距离为 , 球面被平面 截得的圆的半径 ,圆的周长为 . 故选:B 【点睛】本题找球心O考查学生的空间想象能力,其余的计算和证明问题,则利用空间向量法. 二、多项选择题:本题共4小题,每小题5分,共20分.在每小题给出的选项中,有多项符合题目要求,全 部选对的得5分,部分选对的得2分,有选错的得0分. 9.(2023·江苏南通·统考一模)在棱长为2的正方体 中, 与 交于点 ,则( ) A. 平面 B. 平面 C. 与平面 所成的角为 D.三棱锥 的体积为 【答案】ABD 【分析】根据线面平行判定定理判断A,利用线面垂直判定定理判断B,利用线面夹角的定义判断C,根据等 体积法判断D. 【详解】∵ 平面 平面平面 ,A对; 因为 又 平面 , 平面 , 所以 平面 平面 ,B对; 因为 平面 与平面 所成角为 因为 , C错; 因为 ,D对. 故选: . 10.(2023秋·浙江·高三期末)已知函数 ,则( ) A.当 时,函数 的极大值为 B.若函数 图象的对称中心为 ,则 C.若函数 在 上单调递增,则 或 D.函数 必有3个零点 【答案】BD 【分析】根据函数极大值的定义,结合函数的导数的性质、函数零点的定义逐一判断即可. 【详解】A项:当 时, ,则 ,所以 在 单调递增,在 单调递 减,在 单调递增,所以 极大值为 ,故错误;B项:因为函数 图象的对称中心为 , 所以有 ,故正确; C项: 恒成立,显然 必有两根 ,则 在 递 减,故错误; D项: 必有2相异根,且非零,故 必有 3个零点,故正确. 故选择:BD 11.(2023·黑龙江·黑龙江实验中学校考一模)已知P为抛物线 上的动点, 为坐标原点, 在抛物线C上,过抛物线C的焦点F的直线l与抛物线C交于A,B两点, ,则( ) A. 的最小值为4 B.若线段AB的中点为M,则弦长AB的长度为8 C.若线段AB的中点为M,则三角形OAB的面积为 D.过点 作两条直线与抛物线C分别交于点G,H,且满足EF平分 ,则直线GH的斜率为定值 【答案】ABD 【分析】先求出抛物线的方程 ,利用抛物线的定义转化即可求出最小值可判断A;由直线与抛物线相 交的弦长公式判断B;由点到直线的距离公式可求三角形OAB的面积判断C;设 , ,将已 知转化为 结合两点连线的斜率公式即可判断直线GH的斜率是否为定值判断D.【详解】 由 在抛物线C上,得 ,抛物线C的方程为 , . 对于A,过点P作抛物线的准线 的垂线PD,垂足为D, 由抛物线的定义知 , 即M,P,D三点共线时, 取得最小值,为 ,故A正确. 对于B,因为 为AB的中点,点A,B的横坐标 ,则 , ,故B正 确. 对于C,由直线l过焦点 与 求得直线l的方程为 ,则点O到直线l的距离 ,则 ,故C错误; 对于D,易知点 在抛物线上且 轴.设 , . 易知直线EG,EH的斜率存在, ,同理 . 因为EF平分 , 轴,所以 ,即 , 直线 ,所以 , 直线GH的斜率 为定值,故D正确.故选:ABD 12.(2023秋·浙江绍兴·高三统考期末)已知函数 及其导函数 的定义域均为 为奇函数且 时 ,则( ) A. 为偶函数 B. C.当 时, D.存在实数 ,使得 【答案】ACD 【分析】由题意可得 ,求导后可得 ,判断A;由题意设设 ,可 推得 ,结合题意推出 ,可得 ,判断B;结合 的性质采用赋值法推得当 时, ,即 ,判断C;利用 的单调性,结 合 的性质推出 ,可判断D. 【详解】对于A, 为奇函数,则 ,求导得 , 即 ,所以 为偶函数,故 正确; 对于B,设 ,因为 为奇函数,所以 也是奇函数; , ,即 , 所以 关于 对称,即 ,又 关于 对称,即 , 故 ,即 ,所以 的周期为2,故 ,故B不正确; 对于C,因为 是奇函数,所以 , 令 ,则 ,又 的周期为2, 所以当 为奇数时, ;当 为偶数时, , 故当 时, ,即 ,故C正确; 对于D,由 时 ,可知 单调递增,且由C选项知 , 所以当 时, , 所以 , 同理,当 时, ,所以 , 所以 时, ,根据 的周期为2知, , 故存在 ,使得 ,故D正确; 故选:ACD. 【点睛】关键点点睛: 选项的判断比较困难,因此要根据函数性质结合函数结构特点设出 ,结合 的性质,判断出函数 的性质,特别困难的是判断D选项,要结合 的单 调性以及函数值情况推出 ,继而解决问题. 三、填空题:本题共4小题,每小题5分,共20分. 13.(2023春·湖南·高三校联考阶段练习) 的展开式中, 项的系数为_________. 【答案】40 【分析】根据题意可得 ,结合二项式展开式的通项公式计算即可求解. 【详解】 ,的展开式中 项为 , 的展开式中没有 项, 所以 的展开式中含 项的系数为40. 故答案为:40. 14.(2023春·广东揭阳·高三校考阶段练习)直线 与圆 相交于 两点,且 .若 ,则直线 的斜率为_________. 【答案】 【分析】设直线方程,结合弦长求得圆心到直线的距离,利用点到直线的距离公式列出等式,即可求得答案. 【详解】根据题意,直线l与圆 相交于 两点,且 , 当直线斜率不存在时,直线 即y轴,显然与圆相切,不符合题意; 故直线斜率存在,设直线l的方程为 ,即 , 因为圆 的圆心为 ,半径为 , 又弦长 ,所以圆心到直线的距离为 , 所以 ,解得 , 故答案为: . 15.(2023秋·江西吉安·高三统考期末)已知函数 , ,函数 的图象在点 和点 处的两条切线互相垂直,且分别交 轴于 , 两点,则 的取值范围是 _______. 【答案】【分析】设 , ,由导数法得到 , ,再由垂直得到 ,然后 写出直线AM,BN的方程,得到M,N的坐标,建立模型,用导数法求解. 【详解】解:由题意, ,则 ∴ , , , , 由 ,得 , ∴ : ,则 , : ,则 , ∴ , , 令 ( ), , ∴ 在 上递增,又 , , ∴ 的取值范围是 . 故答案为: 【点睛】方法点睛:求解切线有关的问题,关键点有两个,一个是切点,另一个是斜率.切点即是要看清题目 给的已知条件所给点是在曲线上,还是在曲线外;斜率是将切点的横坐标代入导函数求得的 16.(2023秋·内蒙古阿拉善盟·高三阿拉善盟第一中学校考期末)已知椭圆C: 的左、右 焦点分别为 , ,C的下顶点为A,离心率为 ,过 且垂直于 的直线与C交于D,E两点, , 则 的周长为______.【答案】 ## 【分析】利用 可得椭圆 的方程为 , 为正三角形,通过几何关系可得到直线 的方程为 ,与椭圆进行联立可得到 , ,结合弦长公式和椭圆的定义 即可求解 【详解】因为椭圆 的离心率 ,所以 , ,所以椭圆 的方程为 , 即 , 在 中, , ,所以 为正三角形, 过 且垂直于 的直线与C交于D,E两点,所以DE为线段 的垂直平分线,直线DE的斜率为 ,所以直线 的方程为 , 设 , ,由 ,得 , 所以 , , 所以 ,解得 ,所以 , 因为 为线段 的垂直平分线,所以 , , 所以 的周长为 .故答案为: 【点睛】方法点睛:利用韦达定理法解决直线与圆锥曲线相交问题的基本步骤如下: (1)设直线方程,设交点坐标为 ; (2)联立直线与圆锥曲线的方程,得到关于 (或 )的一元二次方程,必要时计算 ; (3)列出韦达定理; (4)将所求问题或题中的关系转化为 、 (或 、 )的形式; (5)代入韦达定理求解. 四、解答题:本题共6小题,共70分.解答应写出文字说明、证明过程或演算步骤. 17.(2023春·湖南·高三校联考阶段练习)已知正项数列 的前 项和为 ,且 . (1)求 的通项公式; (2)求数列 的前 项和 . 【答案】(1) (2) 【分析】(1)利用和与项的公式 ,即可求 的通项公式; (2)先求得 ,再裂项求和即可. 【详解】(1)当 时, ,得 .由 ,有 ,① 当 时, ,② 由①-②得 , 即 ,化简得 . 因为 ,所以 , 所以 是以1为首项,2为公差的等差数列,故 (2)由(1)知, . , 所以 . 18.(2023春·重庆·高三统考开学考试)如图,△ABC中,角A,B,C的对边分别为a,b,c,且 . (1)求角B的大小; (2)已知 ,若D为△ABC外接圆劣弧AC上一点,求AD+DC的最大值. 【答案】(1) ; (2) . 【分析】(1) 法一:利用正弦定理和两角和的正弦公式可得 ,再利用三角形内角的取值范围即可求解; 法二:利用余弦定理得出 ,根据三角形内角的取值范围即可求解; (2) 方法一:设 ,则 ,利用正弦定理得出 , , 然后利用辅助角公式和正弦函数的图象和性质即可求解;方法二:利用余弦定理和基本不等式即可求解. 【详解】(1)法一:∵ ,由正弦定理得 , ∴ , ∴ ,∵ , ∴ ,又∵ ,∴ , 法二:∵ , 由余弦定理得 , ∴ ,∴ , ∵ ,∴ . (2)由(1)知, ,面四边形ABCD内角互补,则 , 法一:设 ,则 , 由正弦定理得 , ∴ , , ∴ ,当且仅当 时, 的最大值为 . 法二:在△ADC中, , , 由余弦定理得 , ∴ ,∴ , 当且仅当 时, 的最大值为 . 19.(2023秋·内蒙古包头·高三统考期末)如图,直四棱柱 的底面是平行四边形, , , , , , 分别是 , , 的中点. (1)证明: 平面 ; (2)求平面 与平面 所成二面角的正弦值. 【答案】(1)证明见解析 (2) 【分析】(1)取 的中点 ,连接 、 、 ,即可得到 ,再证明 ,由直棱柱的性 质证明 ,即可得到 平面 ,从而得证; (2)建立空间直角坐标系,利用空间向量法计算可得.【详解】(1)取 的中点 ,连接 、 、 , 又因为 , 分别是 , 的中点, 所以 且 , 且 , 所以 且 , 所以四边形 为平行四边形,所以 , 又在直四棱柱 的底面是平行四边形, , , 所以 为等边三角形,所以 ,又 ,所以 , 又 平面 , 平面 ,所以 , , 平面 , 所以 平面 , 所以 平面 . (2)如图建立空间直角坐标系,则 , , , , , 所以 , , , ,设平面 的法向量为 ,则 ,令 ,则 , ,所以 , 设平面 的法向量为 ,则 ,令 ,则 , ,所以 , 设平面 与平面 所成二面角为 ,则 , 所以 ,即平面 与平面 所成二面角的正弦值为 . 20.(2023秋·浙江嘉兴·高三统考期末)为积极响应“反诈”宣传教育活动的要求,某企业特举办了一次“反 诈”知识竞赛,规定:满分为100分,60分及以上为合格.该企业从甲、乙两个车间中各抽取了100位职工的竞 赛成绩作为样本.对甲车间100位职工的成绩进行统计后,得到了如图所示的成绩频率分布直方图.(1)估算甲车间职工此次“反诈”知识竞赛的合格率; (2)若将频率视为概率,以样本估计总体.从甲车间职工中,采用有放回的随机抽样方法抽取3次,每次抽1人, 每次抽取的结果相互独立,记被抽取的3人次中成绩合格的人数为 .求随机变量 的分布列; (3)若乙车间参加此次知识竞赛的合格率为 ,请根据所给数据,完成下面的 列联表,并根据列联表判 断是否有 的把握认为此次职工“反计”知识竞赛的成绩与其所在车间有关? 2×2列联表 乙车 甲车间 合计 间 合格人数 不合格人数 合计 附参考公式:① ,其中 . ②独立性检验临界值表 【答案】(1) (2)分布列见解析 (3)表格见解析,有 【分析】(1)根据频率分布直方图的性质,可得答案; (2)根据二项分布的分布列的解题步骤,可得答案;(3)由题意,补全列联表,利用独立性检验的解题步骤,可得答案. 【详解】(1)根据频率分布直方图可求得甲车间此次参加“反诈”知识竞赛的合格率 ,即 . (2)由题意可知 ,由于每次抽取的结果是相互独立的,故 , 所以 , 故随机变量 的分布列为 0 1 2 3 (3)根据题中统计数据可填写 列联表如下, 乙车 甲车间 合计 间 合格人数 80 60 140 不合格人数 20 40 60 合计 100 100 200 所以有 的把握认为“此次职工‘反计’知识竞赛的成绩与职工所在车间有关系”. 21.(2023春·全国·高三校联考开学考试)已知双曲线 的渐近线方程为 ,点 , 分别为双曲线 的左、右焦点,过 且垂直于 轴的直线与双曲线交于第一象限的点 ,且 的周长 为 . (1)求双曲线 的方程;(2)若直线 与双曲线的左支、右支分别交于 , 两点,与直线 , 分别交于P,Q两点, 求 的取值范围. 【答案】(1) (2) 【分析】(1)根据渐近线方程得 ,设 ,则 ,代入双曲线方程求出 ,得 , 利用双曲线定义求出 ,根据 的周长为 列式求出 ,可得双曲线方程; (2)联立直线与椭圆,根据题意求出 的范围,由弦长公式求出 ,再求出 坐标和 ,根据 的 范围可求出 的取值范围. 【详解】(1)因为双曲线 的渐近线方程为 ,所以 , 设 ,则 , 所以 ,因为点 在第一象限,所以 ,即 , 所以 ,又 , 所以 ,所以 , 所以双曲线 的方程为 . (2)设 , ,联立 ,消去 并整理得 , 所以 ,解得 , , , 所以 , 联立 ,解得 ,所以 , 联立 ,解得 ,所以 , 所以 , 所以 ,其中 , 因为 ,所以 , . 所以 的取值范围为 . 【点睛】关键点睛:(2)中,求解关键是求出 和 关于 的函数关系式以及利用直线 与双 曲线的左支、右支分别交于 , 两点,求出 的取值范围. 22.(2023春·江苏南京·高三校考开学考试)已知函数 .(1)若 ,求函数 的单调区间; (2)若 ,且 在区间 上恒成立,求a的取值范围; (3)若 ,判断函数 的零点的个数. 【答案】(1)单调增区间为 ;单调减区间为 (2) (3)有1个零点 【分析】(1)求出导函数 ,由 得增区间,由 得减区间; (2)求得 的根,然后按照根与已知区间的关系分类讨论确定 的正负得单调性,从而函数的最小 值,由最小值大于0得参数; (3)求出 ,对 再求导得出其最小值,由最小值大于0得 ,从而得 的单调性,然后结合 零点存在定理确定零点个数,为此计算 时的函数值(小于0), ,可得零点存在且唯一. 【详解】(1)若 ,则 , 由 得, ;由 得, . 所以函数 的单调增区间为 ;单调减区间为 . (2)依题意,在区间 上 . . 令 得, 或 . 若 即 ,则由 得, , 递增;由 得, , 递减. 所以 ,满足条件; 若 ,则由 得 或 ,在 时 递增或 时 递增;由得 , 递减. , 依题意 ,即 ,所以 . 若 ,则 . 所以 在区间 上单调递增, ,不满足条件; 综上, . (3) . 所以 .设 , . 令 得 . 当 时, ;当 时, . 所以 在 上单调递减,在 上单调递增. 所以 的最小值为 . 因为 ,所以 . 所以 的最小值 . 从而, 在区间 上单调递增. 又 , 设 .则 .令 得 .由 ,得 ; 由 ,得 .所以 在 上单调递减,在 上单调递增. 所以 . 所以 恒成立.所以 . 所以 . 又 ,所以当 时,函数 恰有1个零点. 【点睛】方法点睛:用导数研究函数零点个数问题,主要是由导数确定函数的单调性,然后结合零点存在定理 得零点个数.难点是在确定零点存在时,零点两边函数值异号时点的取得.