当前位置:首页>文档>冲刺985、211名校之2023届新高考题型模拟训练专题21指数对数幂函数综合问题(单选+多选+填空)(新高考通用)解析版_2.2025数学总复习_2023年新高考资料_专项复习

冲刺985、211名校之2023届新高考题型模拟训练专题21指数对数幂函数综合问题(单选+多选+填空)(新高考通用)解析版_2.2025数学总复习_2023年新高考资料_专项复习

  • 2026-04-05 18:28:28 2026-03-19 08:35:02

文档预览

冲刺985、211名校之2023届新高考题型模拟训练专题21指数对数幂函数综合问题(单选+多选+填空)(新高考通用)解析版_2.2025数学总复习_2023年新高考资料_专项复习
冲刺985、211名校之2023届新高考题型模拟训练专题21指数对数幂函数综合问题(单选+多选+填空)(新高考通用)解析版_2.2025数学总复习_2023年新高考资料_专项复习
冲刺985、211名校之2023届新高考题型模拟训练专题21指数对数幂函数综合问题(单选+多选+填空)(新高考通用)解析版_2.2025数学总复习_2023年新高考资料_专项复习
冲刺985、211名校之2023届新高考题型模拟训练专题21指数对数幂函数综合问题(单选+多选+填空)(新高考通用)解析版_2.2025数学总复习_2023年新高考资料_专项复习
冲刺985、211名校之2023届新高考题型模拟训练专题21指数对数幂函数综合问题(单选+多选+填空)(新高考通用)解析版_2.2025数学总复习_2023年新高考资料_专项复习
冲刺985、211名校之2023届新高考题型模拟训练专题21指数对数幂函数综合问题(单选+多选+填空)(新高考通用)解析版_2.2025数学总复习_2023年新高考资料_专项复习
冲刺985、211名校之2023届新高考题型模拟训练专题21指数对数幂函数综合问题(单选+多选+填空)(新高考通用)解析版_2.2025数学总复习_2023年新高考资料_专项复习
冲刺985、211名校之2023届新高考题型模拟训练专题21指数对数幂函数综合问题(单选+多选+填空)(新高考通用)解析版_2.2025数学总复习_2023年新高考资料_专项复习
冲刺985、211名校之2023届新高考题型模拟训练专题21指数对数幂函数综合问题(单选+多选+填空)(新高考通用)解析版_2.2025数学总复习_2023年新高考资料_专项复习
冲刺985、211名校之2023届新高考题型模拟训练专题21指数对数幂函数综合问题(单选+多选+填空)(新高考通用)解析版_2.2025数学总复习_2023年新高考资料_专项复习
冲刺985、211名校之2023届新高考题型模拟训练专题21指数对数幂函数综合问题(单选+多选+填空)(新高考通用)解析版_2.2025数学总复习_2023年新高考资料_专项复习
冲刺985、211名校之2023届新高考题型模拟训练专题21指数对数幂函数综合问题(单选+多选+填空)(新高考通用)解析版_2.2025数学总复习_2023年新高考资料_专项复习
冲刺985、211名校之2023届新高考题型模拟训练专题21指数对数幂函数综合问题(单选+多选+填空)(新高考通用)解析版_2.2025数学总复习_2023年新高考资料_专项复习
冲刺985、211名校之2023届新高考题型模拟训练专题21指数对数幂函数综合问题(单选+多选+填空)(新高考通用)解析版_2.2025数学总复习_2023年新高考资料_专项复习
冲刺985、211名校之2023届新高考题型模拟训练专题21指数对数幂函数综合问题(单选+多选+填空)(新高考通用)解析版_2.2025数学总复习_2023年新高考资料_专项复习
冲刺985、211名校之2023届新高考题型模拟训练专题21指数对数幂函数综合问题(单选+多选+填空)(新高考通用)解析版_2.2025数学总复习_2023年新高考资料_专项复习
冲刺985、211名校之2023届新高考题型模拟训练专题21指数对数幂函数综合问题(单选+多选+填空)(新高考通用)解析版_2.2025数学总复习_2023年新高考资料_专项复习
冲刺985、211名校之2023届新高考题型模拟训练专题21指数对数幂函数综合问题(单选+多选+填空)(新高考通用)解析版_2.2025数学总复习_2023年新高考资料_专项复习
冲刺985、211名校之2023届新高考题型模拟训练专题21指数对数幂函数综合问题(单选+多选+填空)(新高考通用)解析版_2.2025数学总复习_2023年新高考资料_专项复习
冲刺985、211名校之2023届新高考题型模拟训练专题21指数对数幂函数综合问题(单选+多选+填空)(新高考通用)解析版_2.2025数学总复习_2023年新高考资料_专项复习
冲刺985、211名校之2023届新高考题型模拟训练专题21指数对数幂函数综合问题(单选+多选+填空)(新高考通用)解析版_2.2025数学总复习_2023年新高考资料_专项复习
冲刺985、211名校之2023届新高考题型模拟训练专题21指数对数幂函数综合问题(单选+多选+填空)(新高考通用)解析版_2.2025数学总复习_2023年新高考资料_专项复习
冲刺985、211名校之2023届新高考题型模拟训练专题21指数对数幂函数综合问题(单选+多选+填空)(新高考通用)解析版_2.2025数学总复习_2023年新高考资料_专项复习
冲刺985、211名校之2023届新高考题型模拟训练专题21指数对数幂函数综合问题(单选+多选+填空)(新高考通用)解析版_2.2025数学总复习_2023年新高考资料_专项复习
冲刺985、211名校之2023届新高考题型模拟训练专题21指数对数幂函数综合问题(单选+多选+填空)(新高考通用)解析版_2.2025数学总复习_2023年新高考资料_专项复习
冲刺985、211名校之2023届新高考题型模拟训练专题21指数对数幂函数综合问题(单选+多选+填空)(新高考通用)解析版_2.2025数学总复习_2023年新高考资料_专项复习
冲刺985、211名校之2023届新高考题型模拟训练专题21指数对数幂函数综合问题(单选+多选+填空)(新高考通用)解析版_2.2025数学总复习_2023年新高考资料_专项复习
冲刺985、211名校之2023届新高考题型模拟训练专题21指数对数幂函数综合问题(单选+多选+填空)(新高考通用)解析版_2.2025数学总复习_2023年新高考资料_专项复习
冲刺985、211名校之2023届新高考题型模拟训练专题21指数对数幂函数综合问题(单选+多选+填空)(新高考通用)解析版_2.2025数学总复习_2023年新高考资料_专项复习
冲刺985、211名校之2023届新高考题型模拟训练专题21指数对数幂函数综合问题(单选+多选+填空)(新高考通用)解析版_2.2025数学总复习_2023年新高考资料_专项复习
冲刺985、211名校之2023届新高考题型模拟训练专题21指数对数幂函数综合问题(单选+多选+填空)(新高考通用)解析版_2.2025数学总复习_2023年新高考资料_专项复习
冲刺985、211名校之2023届新高考题型模拟训练专题21指数对数幂函数综合问题(单选+多选+填空)(新高考通用)解析版_2.2025数学总复习_2023年新高考资料_专项复习
冲刺985、211名校之2023届新高考题型模拟训练专题21指数对数幂函数综合问题(单选+多选+填空)(新高考通用)解析版_2.2025数学总复习_2023年新高考资料_专项复习
冲刺985、211名校之2023届新高考题型模拟训练专题21指数对数幂函数综合问题(单选+多选+填空)(新高考通用)解析版_2.2025数学总复习_2023年新高考资料_专项复习
冲刺985、211名校之2023届新高考题型模拟训练专题21指数对数幂函数综合问题(单选+多选+填空)(新高考通用)解析版_2.2025数学总复习_2023年新高考资料_专项复习
冲刺985、211名校之2023届新高考题型模拟训练专题21指数对数幂函数综合问题(单选+多选+填空)(新高考通用)解析版_2.2025数学总复习_2023年新高考资料_专项复习
冲刺985、211名校之2023届新高考题型模拟训练专题21指数对数幂函数综合问题(单选+多选+填空)(新高考通用)解析版_2.2025数学总复习_2023年新高考资料_专项复习
冲刺985、211名校之2023届新高考题型模拟训练专题21指数对数幂函数综合问题(单选+多选+填空)(新高考通用)解析版_2.2025数学总复习_2023年新高考资料_专项复习

文档信息

文档格式
docx
文档大小
1.809 MB
文档页数
38 页
上传时间
2026-03-19 08:35:02

文档内容

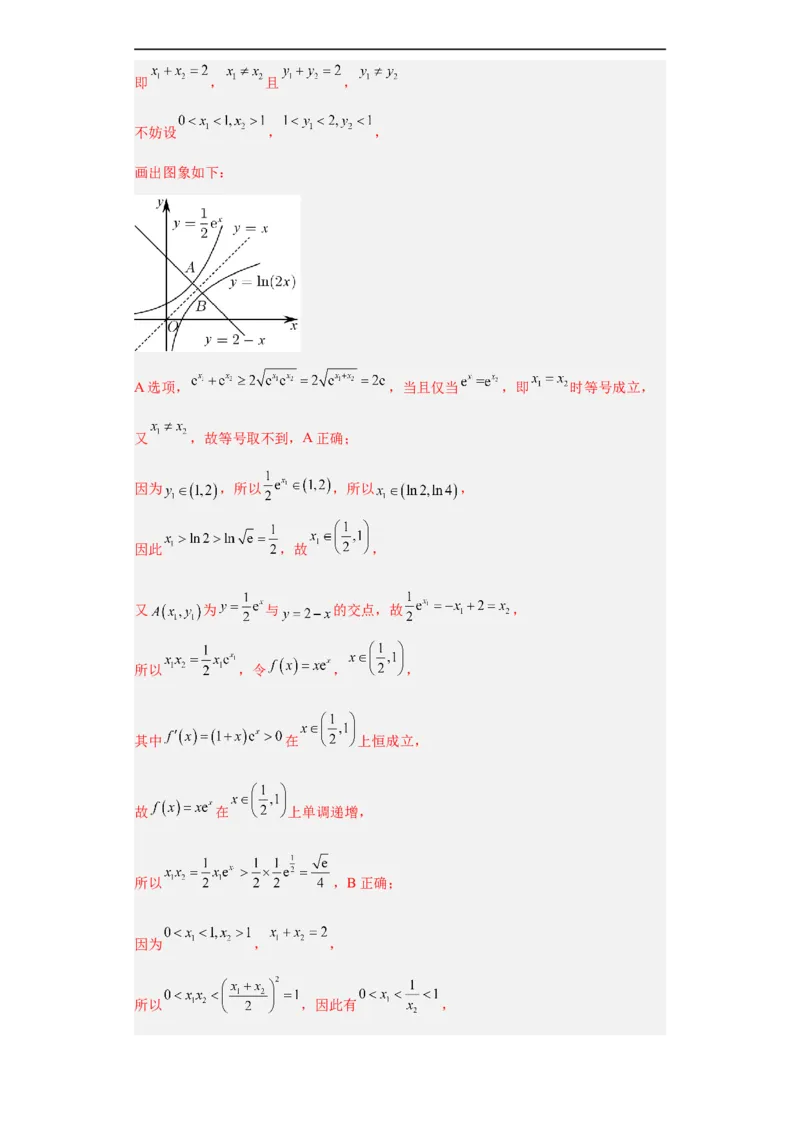
【冲刺985、211名校之2023届新高考题型模拟训练】 专题21 指数对数幂函数综合问题(单选+多选+填空) (新高考通用) 一、单选题 1.(2023秋·河北衡水·高三河北衡水中学校考期末)若集合 , ,则( ) A. B. C. D. 【答案】B 【分析】先求出集合 ,然后再逐个分析判断即可. 【详解】由 ,得 , 解得 或 , 所以 或 , 因为 , 所以 , 对于A,因为 ,所以 ,所以A错误, 对于B,因为 或 , , 所以 ,所以B正确, 对于C,因为 ,所以C错误, 对于D,因为 或 ,所以 ,因为 ,所以 ,所以D错误, 故选:B 2.(2023·安徽合肥·统考一模)已知p: ,q: ,则p是q的( ) A.充分不必要条件 B.必要不充分条件 C.充要条件 D.既不充分也不必要条件 【答案】C 【分析】令 ,结合该函数的奇偶性,单调性判断不等式是否 成立. 【详解】令 , , 且 , 故 为奇函数, 时, 递增,则 也递增, 又 为奇函数,则 在 上递增, ,若 ,则 , 则 ,即 即 ; ,若 , 则等价于 ,即 , 由 在 上递增,则 , 即 , 故p是q的充要条件, 故选:C. 3.(2023春·湖北襄阳·高三襄阳市襄州区第一高级中学校考开学考试)已知函数 ,则 的图象( )A.关于直线 对称 B.关于点 对称 C.关于直线 对称 D.关于原点对称 【答案】A 【分析】求出 以及 的表达式,根据函数的对称性,即可判断各项,得 到结果. 【详解】对于A项,由已知可得, , 所以 的图象关于直线 对称,故A项正确; 对于B项,因为 ,则 ,故B项错误; 对于C项, ,则 ,故C错误; 对于D项,因为 ,则 ,故D错误. 故选:A. 【点睛】设 的定义域为 . 对于 ,若 恒成立,则 的图象关于直线 对称; 对于 ,若 恒成立,则 的图象关于点 对称. 4.(2023·福建莆田·统考二模)若 ,则( ) A. 是等差数列 B. 是等比数列 C. 是等差数列 D. 是等比数列 【答案】A 【分析】根据已知指数式,求出 ,结合对数的运算法则及等差数列与等比数列的 定义逐项判断即可得结论. 【详解】因为 , 所以 ,则 ,故 是等差数列,故A正确; 因为 , 所以 ,故 不是等比数列,故B不正确; 因为 , 所以 ,故 不是等差数列,故C不正确; 因为 , 所以 ,故 不是等比数列,故D不正确. 故选:A. 5.(2023秋·山西运城·高三统考期末)已知实数 满足 ,其中 是自然对数的底数,则 的值为( ) A. B. C. D. 【答案】C 【分析】由题知 ,进而构造函数 ,再根据函数 的单调性得 ,再与 求和整理 即可得答案. 【详解】解:由题知 , 所以 ,所以 令 ,则 , 因为, 恒成立, 所以, 在 上单调递减, 所以, ,即 因为 , 所以 ,即 故选:C 6.(2023春·广东·高三校联考阶段练习)“打水漂”是一种游戏,通过一定方式投掷石 片,使石片在水面上实现多次弹跳,弹跳次数越多越好.小赵同学在玩“打水漂”游戏时, 将一石片按一定方式投掷出去,石片第一次接触水面时的速度为 ,然后石片在水面 上继续进行多次弹跳.不考虑其他因素,假设石片每一次接触水面时的速度均为上一次的 ,若石片接触水面时的速度低于 ,石片就不再弹跳,沉入水底,则小赵同学这次 “打水漂”石片的弹跳次数为( )(参考数据: ). A.6 B.7 C.8 D.9 【答案】C 【分析】设这次“打水漂”石片的弹跳次数为 ,根据题意得 ,即 ,根据指数函数的单调性和对数换底公式求解即可. 【详解】设这次“打水漂”石片的弹跳次数为 , 由题意得 , 即 , 得 . 因为 , 所以 ,即 . 故选:C. 7.(2023春·浙江温州·高三统考开学考试)通过长期数据研究某人驾驶汽车的习惯, 发现其行车速度v(公里/小时)与行驶地区的人口密度p(人/平方公里)有如下关系: ,如果他在人口密度为 的地区行车时速度为65公里/小时,那 么他在人口密度为 的地区行车时速度约是( ) A.69.4公里/小时 B.67.4公里/小时 C.62.5公里/小时 D.60.5公里/小时 【答案】B 【分析】由题知 ,进而得 ,进而代入计算即可得答案. 【详解】解:由题知 ,整理得 所以 所以,当他在人口密度为 的地区行车时速度 公里/小时, 故选:B 8.(2023·山西·统考一模)在天文学中,常用星等 ,光照度 等来描述天体的明暗 程度.两颗星的星等与光照度满足星普森公式 .已知大犬座天狼星的 星等为 ,天狼星的光照度是织女星光照度的4倍,据此估计织女星的星等为(参 考数据 )( ) A.2 B.1.05 C.0.05 D. 【答案】C 【分析】根据题意,代入数据计算即可得答案. 【详解】解:设天狼星的星等为 ,光照度为 ,织女星的星等为 ,光照度为 ,因为天狼星的光照度是织女星光照度的4倍,所以 , 因为两颗星的星等与光照度满足星普森公式 , 所以 ,解得 . 所以,织女星的星等为 故选:C 9.(2023·云南红河·统考一模)中国是茶的故乡,也是茶文化的发源地,茶文化是把 茶、赏茶、闻茶、饮茶、品茶等习惯与中国的文化内涵相结合而形成的一种文化现象, 具有鲜明的中国文化特征.其中沏茶、饮茶对水温也有一定的要求,把物体放在空气 中冷却,如果物体原来的温度是 ,空气的温度是 ,经过t分钟后物体的温度为 θ℃,满足公式 .现有一壶水温为92℃的热水用来沏茶,由经验 可知茶温为52℃时口感最佳,若空气的温度为12℃,那从沏茶开始,大约需要( ) 分钟饮用口感最佳.(参考数据; , ) A.2.57 B.2.77 C.2.89 D.3.26 【答案】B 【分析】有题意,根据公式 代入数据得 , 变形、化简即可得出答案. 【详解】由题意得 ,代入数据得 , 整理得 ,即 ,解得 ; 所以若空气的温度为12℃,从沏茶开始,大约需要2.77分钟饮用口感最佳. 故选:B. 10.(2023·重庆沙坪坝·高三重庆八中校考阶段练习)2022年诺贝尔物理学奖授予在 量子领域做出贡献的法国、美国、奥地利科学家,我国于2021年成功研制出目前国际 上超导量子比特数量最多的量子计算原型机“祖冲之号”,操控的超导量子比特为66 个.已知1个超导量子比特共有“ , ”2种叠加态,2个超导量子比特共有“, , , ”4种叠加态,3个超导量子比特共有“ , , , , , , , ”8种叠加态,…,只要增加1个超导 量子比特,其叠加态的种数就呈指数级增长.设M个超导量子比特共有N种叠加态, 且N是一个20位的数,则这样的M有( )个.(参考数据: ) A.2 B.3 C.4 D.5 【答案】B 【分析】根据题意可得 个超导量子比特共有 中叠加态,结合指、对数的运算即 可求解. 【详解】根据题意,设 个超导量子比特共有 中叠加态, 也即 ,两边同时取以10为底的对数得, , 所以 ,因为 是一个 位的数,所以 , 也即 ,解得 , 所以这样的 有64,65,66这3个, 故选: . 11.(2023·福建泉州·高三统考阶段练习)萃取是有机化学实验室中用来提纯和纯化化 合物的手段之一.研究发现,用总体积相同的有机萃取液对某化合物进行萃取,采用 少量多次的方法比全量一次的萃取率高.已知萃取率 与萃取次数 满足 , 为分配比、现欲用有机萃取液 ,对含四氧化锇 的 水溶液进行萃取,每次所用有机萃取液 的体积为 ,分配比 为14.要使萃取率达到 以上,则至少需要经过的萃取次数为(参考数据: )( ) A.4 B.5 C.6 D.7 【答案】B【分析】根据题意确定各参数值,代入等式 ,利用指对互 化和对数函数运算即可得所求. 【详解】解:由题可知萃取率 与萃取次数 满足 , 其中分配比 ,萃取率 , , 则 ,所以 ,则 , 即 , 所以至少需要经过的萃取次数为 . 故选:B. 12.(2023·江苏南通·统考模拟预测)传说国际象棋发明于古印度,为了奖赏发明者, 古印度国王让发明者自己提出要求,发明者希望国王让人在他发明的国际象棋棋盘上 放些麦粒,规则为:第一个格子放一粒,第二个格子放两粒,第三个格子放四粒,第 四个格子放八粒……依此规律,放满棋盘的64个格子所需小麦的总重量大约为( ) 吨.(1kg麦子大约20000粒,lg2=0.3) A.105 B.107 C.1012 D.1015 【答案】C 【分析】由等比数列求和公式结合对数的运算求解即可. 【详解】64个格子放满麦粒共需 , 麦子大约20000粒,1吨麦子大约 粒, , 故选:C. 13.(2023·重庆沙坪坝·重庆南开中学校考模拟预测)已知函数,则 的解集是( ) A. B. C. D. 【答案】C 【分析】根据函数 解析式,作出函数图象,继而作出 的图象,数形结合,求得不等式的解集. 【详解】根据题意当 时, , 当 时, , 作出函数 的图象如图, 在同一坐标系中作出函数 的图象, 由图象可得不等式 解集为 ,故选:C 【点睛】关键点点睛:解答本题的关键是正确的作出函数的图象,数形结合,求得不 等式解集. 14.(2023秋·湖北十堰·高三统考阶段练习)已知函数 若函数 恰有4个不同的零点,则 的取值范围是( ) A. B. C. D. 【答案】C 【分析】将 看做整体,先求出 对应的 ,再根据方程的解得个数确 定对应的 的取值范围即可得解. 【详解】令 , 得 或 , 画出 的大致图象. 设 ,由图可知, 当 或 时, 有且仅有1个实根; 当 或 时, 有2个实根; 当 时, 有3个实根. 则 恰有4个不同的零点等价于 或 或 或 解得 或 . 故选:C.15.(2023·云南·统考一模)已知a,b,c满足 , ,则 ( ) A. , B. , C. , D. , 【答案】B 【分析】构造函数 ,利用其单调性,分 , , 讨论即可. 【详解】由题意得 ,即 ,则 ,则 , 令 ,根据减函数加减函数为减函数的结论知: 在 上单调递减, 当 时,可得 , ,两边同取以5为底的对数得 ,对 通过移项得 , 两边同取以3为底的对数得 , 所以 ,所以 ,所以 ,且 , 故此时, ,故C,D选项错误, 时, ,,且 ,故A错误, 下面严格证明当 时, , , 根据函数 在 上单调递增,且 , 则当 时,有 , , , 下面证明: , 要证: , 即证: ,等价于证明 , 即证: ,此式开头已证明, 对 ,左边同除分子分母同除 ,右边分子分母同除 得 , 则故当 时, ,则 当 时,可得 , ,两边同取以5为底的对数得 ,对 通过移项得 , 两边同取以3为底的对数得 , 所以 ,所以 ,所以 ,且 , 故 ,故此时, , 下面严格证明当 时, , 当 时,根据函数 ,且其在 上单调递减,可知 ,则 ,则 , 根据函数函数 在 上单调递增,且 , 则当 时, , 下面证明: , 要证: 即证: ,等价于证 , 即证: ,此式已证明, 对 ,左边同除分子分母同除 ,右边分子分母同除 得, 则 , 故 时, ,则 当 时, ,则 , , 综上 , , 故选:B. 【点睛】关键点睛:本题的关键在于构造函数 ,利用其单调性及 ,从而得到 之间的大小关系,同时需要先求出 的范围,然后再对 进行 分类讨论. 二、多选题 16.(2023·湖南·模拟预测)已知 ,则下列结论正确的是 ( ) A. B. C. D. 【答案】ACD 【分析】由 可得 ,进而可借助导数、指数函数的单调 性及不等式的基本性质对选项逐一进行分析. 【详解】 可得 ,时, 为递减函数,故 ,故A正确; 取 ,则 ,故B错误; 令 时, 恒成立, 故 在 上单调递增, 时,有 ,故 ,故C正确; , ,则 , 则 ,又 则 ,故 ,故D正确; 故选:ACD. 17.(2023·广东茂名·统考一模)e是自然对数的底数, ,已知 ,则下列结论一定正确的是( ) A.若 ,则 B.若 ,则 C.若 ,则 D.若 ,则 【答案】BC 【分析】构建函数 根据题意分析可得 ,对A、D:取特值 分析判断;对B、C:根据 的单调性,分类讨论分析判断. 【详解】原式变形为 , 构造函数 ,则 , ∵ , 当 时, ,则 ,即 ;当 时, ,则 ,即 ; 故 在 上单调递减,在 上单调递增, 对于A:取 ,则 ∵ 在 上单调递增,故 , 即 满足题意,但 ,A错误; 对于B:若 ,则有: 当 ,即 时,则 ,即 ; 当 ,即 时,由 在 时单调递增,且 , 故 ,则 ; 综上所述: , B正确; 对于C:若 ,则有: 当 ,即 时, 显然成立; 当 ,即 时,令 , ∵ ,当且仅当 ,即 时等号成立, ∴当 时,所以 ,即 , 由 可得 ,即 又∵由 在 时单调递增,且 , ∴ ,即 ; 综上所述: ,C正确; 对于D:取 , ,则 , ∵ 在 上单调递减,故 , ∴故 , 满足题意,但 ,D错误. 故选:BC. 【点睛】结论点睛:指对同构的常用形式:(1)积型: , ①构造形式为: ,构建函数 ; ②构造形式为: ,构建函数 ; ③构造形式为: ,构建函数 . (2)商型: , ①构造形式为: ,构建函数 ; ②构造形式为: ,构建函数 ; ③构造形式为: ,构建函数 . 18.(2023·安徽宿州·统考一模)已知 ,且 ,则下列不等关系成立的 是( ) A. B. C. D. 【答案】ABC 【分析】利用基本不等式易知选项AB正确;利用对数运算法则和重要不等式可知C 正确;将不等式 化简整理可得 ,构造函数 利用函数单调性即可证明D错误. 【详解】由基本不等式可知, ,当且仅当 时,等号 成立,即A正确; 易知 ,当且仅当 时,等号成立,即B正确; 由重要不等式和对数运算法则可得:,当且仅当且仅当 时, 等号成立,即C正确; 由 可得 ,所以 , 若 ,即证明 ,即 即需证明 , 令函数 ,则 , 当 时, ,即 在 上单调递增, 所以 时,解不等式 可得 即可,即 时不等式 成立; 当 时, ,即 在 上单调递减,解不等式 可得 ,即 时不等式 才成立; 综上可知,当 时,不等式 才成立,所以D错误. 故选:ABC 19.(2023秋·辽宁葫芦岛·高三葫芦岛第一高级中学校考期末)函数 ,则( ) A.f(x)的定义域为R B. 值域为 C. 为偶函数 D. 在区间 上是增函数 【答案】ACD 【分析】根据函数的定义域、值域、奇偶性、单调性等知识进行分析,从而确定正确 答案. 【详解】对于函数 , 由于 恒成立,所以 的定义域为 ,A选项正确., 由于 ,当且仅当 时等号成立, 所以 ,B选项错误. 由于 ,所以 为偶函数,C选项正确. 对于函数 , 任取 , , 由于 ,所以 , 所以 在区间 上递增. 当 时,令 ,则 在区间 上递增, 根据复合函数单调性同增异减可知 在区间 上是增函数,D选项正确. 故选:ACD 20.(2023·河北邯郸·统考一模)已知函数 ,则( ) A. 的定义域是 B. 有最大值 C.不等式 的解集是 D. 在 上单调递增 【答案】AB 【分析】根据函数解析式,求解函数定义域,利用复合函数单调性求解单调区间及最 值,利用单调性解函数不等式。 【详解】由题意可得 ,解得 ,即 的定义域是 ,则A正 确; ,因为 在 上单调递增,在 上单调递减, 在 上单调递增,所以 在 上单调递增,在 上单调递减,所以 ,则B正确; 因为 在 上单调递增,在 上单调递减,且 ,所以不 等式 的解集是 ,则C错误; 因为 在 上单调递减,所以D错误. 故选:AB. 21.(2023·重庆·统考一模)已知m,n关于x方程 的两个根,且 ,则( ) A. B. C. D. 【答案】ACD 【分析】根据函数的图象可得 ,结合条件可得 , ,利用对 勾函数的性质可判断A,构造函数 ,根据函数的单调性可判断B,构 造函数 ,利用导数研究函数的性质结合条件可判断CD. 【详解】画出函数 与 的大致图象,由题可知 ,即 , 所以 ,又 , 所以 ,可得 , , 由对勾函数的性质可知 ,故A正确; 设函数 ,因为函数 在 上单调递增,所以函 数 在 上单调递增, 又 , 所以 , ,即 , 故B错误; 设函数 ,则 , 由 ,可得 单调递增, 由 ,可得 单调递减, 因为 , 所以 ,即 , 所以 ,即 ,故C正确; 又 , , 所以 ,即 , 所以 ,即 ,故D正确. 故选:ACD.【点睛】关键点点睛: 本题关键点是构造合适的函数,构造函数时往往从两方面着手:①根据不等式的“形 状”变换函数“形状”;②若是选择题,可根据选项的共性归纳构造恰当的函数. 22.(2023春·辽宁·高三朝阳市第一高级中学校联考阶段练习)已知函数 ( 且 ),下列说法正确的是( ) A. 为偶函数 B. 为非奇非偶函数 C. 为偶函数( 为 的导函数) D.若 ,则 对任意 成立 【答案】ACD 【分析】先证明函数 为奇函数,再根据函数奇偶性的定义即可判断AB;求出函 数 的导函数,再根据函数奇偶性的定义即可判断C;易得 ,再根据 ,可得 ,即可判断D. 【详解】因为 ,所以 的定义域为 , 因为 , 所以 ,所以 为奇函数, 对于A,因为 ,所以 为偶函数,故A正确; 对于B,因为 , 所以 为奇函数,故B错误; 对于C, , 因为 , 所以 为偶函数,故C正确; 对于D,因为 ,所以 , 因为 , 所以 , 又 , , 所以 ,即 , 所以 ,故D正确. 故选:ACD. 【点睛】关键点点睛,解决本题AB的关键在于证明 为奇函数,解决D选项的关 键是由 ,结合换底公式转化.23.(2023·山东潍坊·统考一模)已知 ,过点 和 的直线为 .过点 和 的直线为 , 与 在 轴上的截距相等,设函数 .则( ) A. 在 上单调递增 B.若 ,则 C.若 ,则 D. 均不为 ( 为自然对数的底 数) 【答案】CD 【分析】由题意可推得 , .令 ,可得 ,根 据导函数可得出 的单调性,进而判断A项;先根据导数求解函数 的 零点,可求出 ,代入即可得出 的值,判断B项;由已知可得 , 平方变形即可求出 ,可得出C项;分别求解 时, 的值以及 时, 的值,即可说明D项. 【详解】由已知可得,直线 的方程为 , 由 ,可得 ; 直线 的方程为 , 由 ,可得 . 由已知可得, , 整理可得, . 因为,函数 在 上单调递增,所以 , 所以 .对于A项,令 , ,则 , . 令 ,则 在R上恒成立, 所以, 在R上单调递增,即 在R上单调递增. 又 ,所以当 时, ,所以 在 上单调递增; 当 时, ,所以 在 上单调递减,故A项错误; 对于B项,设 ,则 . 令 ,则 , 显然 在 上单调递增, 且 , , 根据零点存在定理,可得 ,有 , 且当 时,有 ,即 在 上单调递减,所以 在 上单 调递减; 当 时,有 ,即 在 上单调递增,所以 在 上单调 递增. 因为 , , , 根据零点存在定理,可得 ,有 , 且当 时,有 ,即 在 上单调递减; 当 时,有 ,即 在 上单调递增. 因为 , , , . 所以有 ,可得 或 ,因为 ,所以有 可得, ,所以 或 (舍去). 所以, , 所以, ,故B项错误; 对于C项,因为 ,则由 可知, . 所以, ,所以 ,故C项 正确; 对于D项,因为 ,所以 ,所以 . ①当 时,则有 . 令 ,则 在 上恒成立, 所以 在 上单调递增,所以 恒成立, 所以,方程 在 上无解,即 不存在; ②当 时,则有 . 令 ,则 在 上恒成立, 所以 在 上单调递减,所以 恒成立, 所以,方程 在 上无解,即 不存在. 综上所述, 均不为 ,故D项正确. 故选:CD. 【点睛】关键点点睛:由已知求出直线 与 的方程,根据已知,结合对数函数的性质 以及对数运算性质,即可得出 ,进而得到 . 24.(2023·江苏连云港·统考模拟预测)利用“ ”可得到许多与n( 且 )有关的结论,则正确的是( ) A. B.C. D. 【答案】ABD 【分析】先证明出 ,当且仅当 时,等号成立,A选项,令 , 得到 ,累加后得到A正确;B选项,推导出 , ,当且仅当 时等号成立,令 ,可得 ,累加后得到B 正确;C选项,推导出 ,累加后得到C错误;D选项,将 中的 替换为 ,推导出 ,故 ,当且仅当 时,等 号成立,累加后得到D正确. 【详解】令 ,则 , 当 时, ,当 时, , 故 在 上单调递减,在 上单调递增, 故 在 处取得极小值,也时最小值, , 故 ,当且仅当 时,等号成立, A选项,令 ,所以 , 故 , 其中 ,所以 ,A正确; B选项,将 中的 替换为 ,可得 , , 当且仅当 时等号成立, 令 ,可得 , 所以 , 故 , 其中 所以 ,B正确; C选项,将 中的 替换为 ,显然 , 则 , 故 , 故 ,C错误; D选项,将 中的 替换为 ,其中 , ,则 , 则 ,故 ,当且仅当 时,等号成立, 则 ,D正确. 故选:ABD 【点睛】导函数证明数列相关不等式,常根据已知函数不等式,用关于正整数 的不 等式代替函数不等式中的自变量,通过多次求和(常常用到裂项相消法求和)达到证 明的目的. 25.(2023春·江苏镇江·高三扬中市第二高级中学校考开学考试)已知直线分别与函数 和 的图象交于点 , ,则( ) A. B. C. D. 【答案】ABD 【分析】A选项,看出 与 互为反函数,确定 也关于 对称,求出 , 两点关于 对称, , , , A选项,利用基本不等式进行证明;B选项,得到 , , ,构造 , ,求导得到其单调性,从而求出 ; C选项,由基本不等式得到 ,构造 ,求导得到其单 调性,得到 ,得到 ;D选项,先根据 得到 ,再用作差法比较大小. 【详解】 与 互为反函数,即两函数关于 对称, 而 与 垂直,故 也关于 对称, 联立 ,解得: , 故 , 两点关于 对称,即 , 且 , 不妨设 , , 画出图象如下: A选项, ,当且仅当 ,即 时等号成立, 又 ,故等号取不到,A正确; 因为 ,所以 ,所以 , 因此 ,故 , 又 为 与 的交点,故 , 所以 ,令 , , 其中 在 上恒成立, 故 在 上单调递增, 所以 ,B正确; 因为 , , 所以 ,因此有 ,设 , , 因为 ,所以 ,因此 在 上单调递增, 当 时,有 ,即 , 因此 ,C错误; 因为 ,所以 , 所以 , 即 ,D正确. 故选:ABD 【点睛】互为反函数的两个函数的性质:①反函数的定义域和值域分别为原函数的值 域与定义域; ②严格单调的函数存在反函数,但有反函数的函数不一定是单调的(比如反比例函 数); ③互为反函数的两个函数关于 对称, ④奇函数不一定有反函数,若有反函数,则反函数也时奇函数; ⑤如果一个函数图象关于 对称,那么这个函数一定存在反函数,并且其反函数就 是它本身. 三、填空题 26.(2023·湖南娄底·高三涟源市第一中学校联考阶段练习)若 是定义在 上的 奇函数,且 是偶函数,当 时, ,则 __________. 【答案】【分析】由奇、偶函数和周期函数的定义,可得 的最小正周期,结合对数的运算 性质可得答案. 【详解】解:由 是定义在 上的奇函数, 为偶函数, 可得 , ,即 , 所以 ,可得 , 则 的最小正周期为4, 当 时, , 则 . 故答案为: . 27.(2023·浙江·永嘉中学校联考模拟预测)若实数 ,且 , 则 ______. 【答案】0 【分析】由 ,可得 ,据此可得答案. 【详解】因 ,则 , , 又由换底公式推论可得 ,设 ,则 , 故 , 由换底公式,则 . 故答案为:0 28.(2023·山东济宁·统考一模)已知函数 且 的图象过定点A,且点 A在直线 上,则 的最小值是______. 【答案】 【分析】求出函数所过的定点 ,则有 ,则 ,则,化简整理,分离常数再结合基本不等式求解即可. 【详解】函数 且 的图象过定点 , 则 ,所以 , 由 ,得 , 则 令 ,则 , 则 , 当且仅当 ,即 ,即 时,取等号, 所以 的最小值是 . 故答案为: . 29.(2023·山西·校联考模拟预测)已知实数 , 满足 ,则 的取值范围是___________. 【答案】 【分析】将等式化为 ,设 ,利用导数研究函数的 单调性,根据函数的单调性可得 ,代入 可得 ,利用导数求 其值域即可.【详解】因为 , 所以 , 设 ,则 , 所以函数 在 上单调递增, 所以 , 所以 , , 设 , 则 , 当 时, ,函数 在 上单调递增, 当 时, ,函数 在 上单调递减, 又 , , 当 时, ,当 时, , 当 时, ,当 且 时, , 所以函数 的值域为 , 所以 的取值范围为 . 故答案为: . 【点睛】关键点睛:解决的关键在于将条件等式化为同构形式,利用函数的性质化简 已知条件,再结合函数性质求目标函数的值域. 30.(2023秋·黑龙江齐齐哈尔·高三校联考期末)意大利数学家斐波那契 年~ 年)以兔子繁殖数量为例,引人数列: ,该数列从第三项起,每一 项都等于前两项之和,即 ,故此数列称为斐波那契数列,又称“兔子数列”,其通项公式为 .设 是不等式 的正整数解,则 的最小值为__________. 【答案】8 【分析】将不等式 化为 ,即 ,再根据斐波那契数列为递增数列,且 , 可得答案. 【详解】由 ,得 , 得 ,得 , 得 , , 所以 , 令 ,则数列 即为斐波那契数列, ,则 ,显然数列 为递增数列且 ,所以数列 亦为递增 数列, 由 ,得 , , , , , , 因为 , , 所以使得 成立的 的最小值为8. 故答案为: . 【点睛】关键点点睛:根据斐波那契数列的通项公式,利用对数知识将不等式化为斐 波那契数列进行求解是本题解题关键.