当前位置:首页>文档>微专题解三角形与三角恒等变换综合问题学案——2023届高考数学一轮《考点·题型·技巧》精讲与精练_2.2025数学总复习_赠品通用版(老高考)复习资料_一轮复习

微专题解三角形与三角恒等变换综合问题学案——2023届高考数学一轮《考点·题型·技巧》精讲与精练_2.2025数学总复习_赠品通用版(老高考)复习资料_一轮复习

  • 2026-04-02 18:35:07 2026-03-20 07:33:08

文档预览

微专题解三角形与三角恒等变换综合问题学案——2023届高考数学一轮《考点·题型·技巧》精讲与精练_2.2025数学总复习_赠品通用版(老高考)复习资料_一轮复习
微专题解三角形与三角恒等变换综合问题学案——2023届高考数学一轮《考点·题型·技巧》精讲与精练_2.2025数学总复习_赠品通用版(老高考)复习资料_一轮复习
微专题解三角形与三角恒等变换综合问题学案——2023届高考数学一轮《考点·题型·技巧》精讲与精练_2.2025数学总复习_赠品通用版(老高考)复习资料_一轮复习
微专题解三角形与三角恒等变换综合问题学案——2023届高考数学一轮《考点·题型·技巧》精讲与精练_2.2025数学总复习_赠品通用版(老高考)复习资料_一轮复习
微专题解三角形与三角恒等变换综合问题学案——2023届高考数学一轮《考点·题型·技巧》精讲与精练_2.2025数学总复习_赠品通用版(老高考)复习资料_一轮复习
微专题解三角形与三角恒等变换综合问题学案——2023届高考数学一轮《考点·题型·技巧》精讲与精练_2.2025数学总复习_赠品通用版(老高考)复习资料_一轮复习
微专题解三角形与三角恒等变换综合问题学案——2023届高考数学一轮《考点·题型·技巧》精讲与精练_2.2025数学总复习_赠品通用版(老高考)复习资料_一轮复习
微专题解三角形与三角恒等变换综合问题学案——2023届高考数学一轮《考点·题型·技巧》精讲与精练_2.2025数学总复习_赠品通用版(老高考)复习资料_一轮复习
微专题解三角形与三角恒等变换综合问题学案——2023届高考数学一轮《考点·题型·技巧》精讲与精练_2.2025数学总复习_赠品通用版(老高考)复习资料_一轮复习
微专题解三角形与三角恒等变换综合问题学案——2023届高考数学一轮《考点·题型·技巧》精讲与精练_2.2025数学总复习_赠品通用版(老高考)复习资料_一轮复习
微专题解三角形与三角恒等变换综合问题学案——2023届高考数学一轮《考点·题型·技巧》精讲与精练_2.2025数学总复习_赠品通用版(老高考)复习资料_一轮复习
微专题解三角形与三角恒等变换综合问题学案——2023届高考数学一轮《考点·题型·技巧》精讲与精练_2.2025数学总复习_赠品通用版(老高考)复习资料_一轮复习
微专题解三角形与三角恒等变换综合问题学案——2023届高考数学一轮《考点·题型·技巧》精讲与精练_2.2025数学总复习_赠品通用版(老高考)复习资料_一轮复习
微专题解三角形与三角恒等变换综合问题学案——2023届高考数学一轮《考点·题型·技巧》精讲与精练_2.2025数学总复习_赠品通用版(老高考)复习资料_一轮复习
微专题解三角形与三角恒等变换综合问题学案——2023届高考数学一轮《考点·题型·技巧》精讲与精练_2.2025数学总复习_赠品通用版(老高考)复习资料_一轮复习
微专题解三角形与三角恒等变换综合问题学案——2023届高考数学一轮《考点·题型·技巧》精讲与精练_2.2025数学总复习_赠品通用版(老高考)复习资料_一轮复习
微专题解三角形与三角恒等变换综合问题学案——2023届高考数学一轮《考点·题型·技巧》精讲与精练_2.2025数学总复习_赠品通用版(老高考)复习资料_一轮复习
微专题解三角形与三角恒等变换综合问题学案——2023届高考数学一轮《考点·题型·技巧》精讲与精练_2.2025数学总复习_赠品通用版(老高考)复习资料_一轮复习
微专题解三角形与三角恒等变换综合问题学案——2023届高考数学一轮《考点·题型·技巧》精讲与精练_2.2025数学总复习_赠品通用版(老高考)复习资料_一轮复习
微专题解三角形与三角恒等变换综合问题学案——2023届高考数学一轮《考点·题型·技巧》精讲与精练_2.2025数学总复习_赠品通用版(老高考)复习资料_一轮复习
微专题解三角形与三角恒等变换综合问题学案——2023届高考数学一轮《考点·题型·技巧》精讲与精练_2.2025数学总复习_赠品通用版(老高考)复习资料_一轮复习
微专题解三角形与三角恒等变换综合问题学案——2023届高考数学一轮《考点·题型·技巧》精讲与精练_2.2025数学总复习_赠品通用版(老高考)复习资料_一轮复习
微专题解三角形与三角恒等变换综合问题学案——2023届高考数学一轮《考点·题型·技巧》精讲与精练_2.2025数学总复习_赠品通用版(老高考)复习资料_一轮复习
微专题解三角形与三角恒等变换综合问题学案——2023届高考数学一轮《考点·题型·技巧》精讲与精练_2.2025数学总复习_赠品通用版(老高考)复习资料_一轮复习
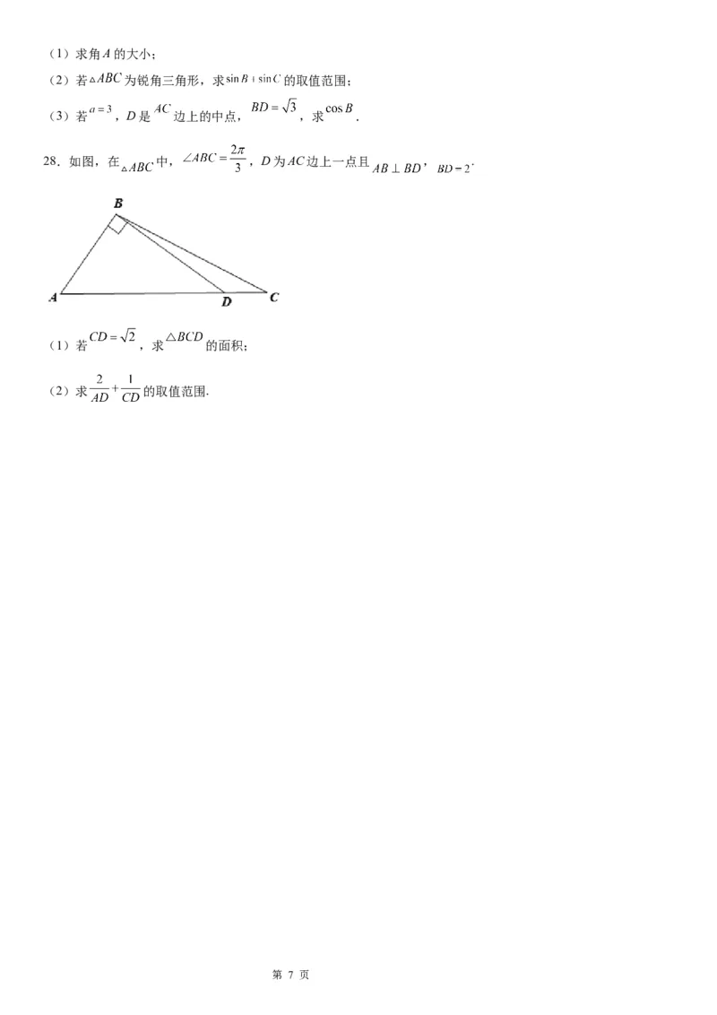
微专题解三角形与三角恒等变换综合问题学案——2023届高考数学一轮《考点·题型·技巧》精讲与精练_2.2025数学总复习_赠品通用版(老高考)复习资料_一轮复习
微专题解三角形与三角恒等变换综合问题学案——2023届高考数学一轮《考点·题型·技巧》精讲与精练_2.2025数学总复习_赠品通用版(老高考)复习资料_一轮复习
微专题解三角形与三角恒等变换综合问题学案——2023届高考数学一轮《考点·题型·技巧》精讲与精练_2.2025数学总复习_赠品通用版(老高考)复习资料_一轮复习
微专题解三角形与三角恒等变换综合问题学案——2023届高考数学一轮《考点·题型·技巧》精讲与精练_2.2025数学总复习_赠品通用版(老高考)复习资料_一轮复习
微专题解三角形与三角恒等变换综合问题学案——2023届高考数学一轮《考点·题型·技巧》精讲与精练_2.2025数学总复习_赠品通用版(老高考)复习资料_一轮复习
微专题解三角形与三角恒等变换综合问题学案——2023届高考数学一轮《考点·题型·技巧》精讲与精练_2.2025数学总复习_赠品通用版(老高考)复习资料_一轮复习
微专题解三角形与三角恒等变换综合问题学案——2023届高考数学一轮《考点·题型·技巧》精讲与精练_2.2025数学总复习_赠品通用版(老高考)复习资料_一轮复习
微专题解三角形与三角恒等变换综合问题学案——2023届高考数学一轮《考点·题型·技巧》精讲与精练_2.2025数学总复习_赠品通用版(老高考)复习资料_一轮复习
微专题解三角形与三角恒等变换综合问题学案——2023届高考数学一轮《考点·题型·技巧》精讲与精练_2.2025数学总复习_赠品通用版(老高考)复习资料_一轮复习
微专题解三角形与三角恒等变换综合问题学案——2023届高考数学一轮《考点·题型·技巧》精讲与精练_2.2025数学总复习_赠品通用版(老高考)复习资料_一轮复习

文档信息

文档格式
docx
文档大小
1.908 MB
文档页数
34 页
上传时间
2026-03-20 07:33:08

文档内容

微专题:解三角形与三角恒等变换综合问题 【考点梳理】 在含有边角关系的等式中,利用正弦定理的变形a=2RsinA,b=2RsinB,c=2RsinC,可直接将等式两边的边 化为角;也能利用余弦定理的变形如cosA=将角化为边. 在三角形中利用三角变换求三角式的值时,要注意角的 范围的限制. 【典例分析】 典例1.△ABC的内角A,B,C所对的边分别是a,b,c,且 . (1)若 ,且 ,求△ABC的面积; (2)求 的最大值. 典例2.为迎接冬奥会,石家庄准备进行城市绿化升级,在矩形街心广场 中,如图,其中 , ,现将在其内部挖掘一个三角形空地 进行盆景造型设计,其中点 在 边上,点 在 边上, 要求 . (1)若 ,判断 是否符合要求,并说明理由; (2)设 ,写出 面积的 关于 的表达式,并求 的最小值. 第 1 页 学学科科网网((北北京京))股股份份有有限限公公司司典例3.为提升城市旅游景观面貌,城建部门拟对一公园进行改造,已知原公园是直径为 百米的半圆,出入口在 圆心 处, 点为一居民小区, 距离为2百米,按照设计要求,取圆弧上一点A,并以线段 为一边向圆外 作等边三角形 ,使改造之后的公园成四边形 ,并将 区域建成免费开放的植物园,如图所示.设 . (1)当 ,求四边形 的面积; (2)当 为何值时,线段 最长并求最长值 【双基达标】 4.在① ,② ,③ 三个条件中任选一个,补充到下面问题中,并解答. 已知锐角 的内角 , , 的对边分别为 , , ,满足___________(填写序号即可) (1)求 ; (2)若 ,求 的取值范围. 注:若选择不同的条件分别解答,则按第一个解答计分. 5.在 中,角A,B,C所对的边分别为a,b,c,已知 . (1)求角A的大小; (2)若 ,求 的取值范围. 6. 内角 , , 的对边分别为 , , ,已知 . (1)求 的值; (2)若 ,求 的取值范围. 7.如图,在平面凸四边形ABCD中(凸四边形指没有角度数大于 的四边形),AB=2,BC=5,CD=6. 第 2 页 学学科科网网((北北京京))股股份份有有限限公公司司(1)若 , ,求AD; (2)已知AD=3,记四边形ABCD的面积为S. ①求 的最大值; ②若对于常数 ,不等式 恒成立,求实数 的取值范围.(直接写结果,不需要过程) 8.△ABC的内角A,B,C的对边分别为a,b,c, , . (1)求角C; (2)求△ABC的外接圆的半径R,并求△ABC的周长的取值范围. 9.已知函数 . (1)求 的单调递减区间; (2)在锐角 中, , , 分别为角 , , 的对边,且满足 ,求 的取值 范围. 10.在△ABC中,a,b,c分别是角A,B,C的对边,且acosC=(2b﹣c)cosA. (1)若 3,求△ABC的面积; (2)若∠B<∠C,求2cos2B+cos2C的取值范围. 【高分突破】 11.已知函数 的最大值为 ,且 的最小正周期为 . (1)若 ,求 的最小值和最大值; (2)设 的内角 、 、 的对应边分别为 、 、 , 为 的中点,若 , , , 求 的面积 . 12.如图所示,经过村庄B有两条夹角为 的公路BA和BC,根据规划拟在两条公路之间的区域内建一工厂F, 分别在两条公路边上建两个仓库D和E(异于村庄B),设计要求 (单位:千米). 第 3 页 学学科科网网((北北京京))股股份份有有限限公公司司(1)若 ,求 的值(保留根号); (2)若设 ,当 为何值时,工厂产生的噪音对村庄B的居民影响最小(即工厂F与村庄B的距离最远), 并求其最远距离.(精确到0.1,取 ) 13.在① ;② ;③ 中选个条件补充在下 面问题中,并解答下面的问题. 问题:设钝角 的内角 , , 的对边分别为 , , . 为 的面积,______. (1)求 ; (2)若点 为 的外心, 的面积为 ,求 与 的面积之和的最大值. 14.在 中,设内角 , , 的对边分别为 , , ,且 . (1)若 , , 成等比数列,求证: ; (2)若 ( 为锐角), .求 中 边上的高 . 15.已知 , ,令 . (1)求 的最小正周期及 的解集; (2)锐角 中, ,边 ,求 周长最大值. 16.在 中, 分别为角 所对的边.在① ;② ;③ 这三个条件中任选一个,作出解答. (1)求角 的值; (2)若 为锐角三角形,且 ,求 的面积的取值范围. 第 4 页 学学科科网网((北北京京))股股份份有有限限公公司司17.在① ,② ,③ 这三个条件中任选一个,补充到下面问题中,并解答问题. 在 中,内角 的对边分别为 ,且___________. (1)求A; (2)若 ,求 周长的取值范围. 注:如果选择多个条件分别解答,按第一个解答计分. 18.在如图所示的平面图形中, , , , 与 交于点 ,若 , (1)用 表示 、 ; (2)求 取最大值时 的值. 19.已知 的内角 , , 的对边分别为 , , ,且 . (1)求 ; (2)若 为锐角三角形,求 的取值范围. 20.已知 中,a,b,c分别为角A,B,C的对边,且 (1)求角C; (2)若 ,求 的最大值. 21.已知在△ABC中,角A,B,C的对边分别为a,b,c,且 . (1)求C; 第 5 页 学学科科网网((北北京京))股股份份有有限限公公司司(2)若 ,求 的最大值. 22.三角形 的内角 所对的边分别是 , , ,且 (1)若三角形是锐角三角形,且 ,求 的取值范围; (2)若 , ,求三角形 的面积. 23.在 中,角 、 、 所对的边分别是 、 、 .且 . (1)求角 的大小; (2)求 的取值范围; (3)若 , , 为 中点, 为线段 上一点,且满足 .求 的值,并求此时 的 面积 . 24.下图所示的毕达格拉斯树画是由图(i)利用几何画板或者动态几何画板Geogebra做出来的图片,其中四边形 ABCD,AEFG,PQBE都是正方形.如果改变图(i)中 的大小会得到更多不同的“树形”. (1)在图(i)中, ,且 ,求 ; (2)在图(ii)中, ,设 ,求 的最大值. 25.在 中,内角A,B,C所对的边分别为a,b,c,且 . (1)求角B; (2)若 , ,求 的取值范围. 26.在 中, , , 分别是角 , , 的对边,已知向量 , ,且 . (1)求角 的大小; (2)若 ,求 的周长的取值范围. 27.在 中,角A,B,C所对的边分别为a,b,c,且 . 第 6 页 学学科科网网((北北京京))股股份份有有限限公公司司(1)求角A的大小; (2)若 为锐角三角形,求 的取值范围; (3)若 ,D是 边上的中点, ,求 . 28.如图,在 中, ,D为AC边上一点且 , . (1)若 ,求 的面积; (2)求 的取值范围. 第 7 页 学学科科网网((北北京京))股股份份有有限限公公司司参考答案 1.(1) ; (2) . 【解析】 【分析】 (1)由余弦定理及已知可得 ,再应用三角形面积公式求面积即可. (2)由题设有 ,根据已知及余弦定理有 ,再由正弦边角关系及和差角正弦公式可得 ,即可得 ,进而求 最值. (1) 由 ,故 ,而 , 所以 ,故 . (2) 由 ,故 ,即 , 由余弦定理知: ,即 , 所以 ,即 ,又 , 故 , 由 ,则 或 (舍), 所以 ,则 ,即 , ,而 , 所以,当 时 有最大值为 . 【点睛】 关键点点睛:第二问,注意综合应用正余弦定理得到 ,再根据三角形内角的性质、三角 恒等变换得到 的关系及角的范围,进而求最值. 2.(1)不符合要求,理由见解析. (2) (平方米) 【解析】 【分析】 (1)由 百米,得到 百米, 百米,求得 ,在 中,由余弦定理求得 的值,即可求解. (2)因为 ,得到 ,进而得出 的面积,结合三角函数的性质,即可求解. (1) 第 8 页解:由题意,某城市有一矩形街心广场 ,其中 百米, 百米, 现将在其内部挖掘一个三角形水池 进行盆景造型设计, 其中点 在 边上,点 在 边上,要求 且 百米, 可得 百米, 百米, 所以 , 在 中,可得 , 所以 不符合要求. (2) 解:因为 且 ,可得 , 所以 , 所以 的面积为: , 又因为 , 所以 ,即 的最小值 平方米. 3.(1) 平方百米 (2)当 时, 的最大值为3百米 【解析】 【分析】 (1)在 中,由余弦定理得 ,再由面积公式得四边形 的面积 ,计算即可求解; (2)由余弦定理计算得到 ,再由正弦定理得到 ,根据同角的平方关系得到 ,再由两角和的 余弦公式求得 ,最后在 中利用余弦定理得到 ,结合三角恒等变换得到关于 的式子,利用正 弦三角函数的图像及性质求 的最值. (1) 由题意得, 百米, 百米, , 所以在 中,由余弦定理得 百米, 第 9 页于是四边形 的面积为 平方百米. (2) 在 中,由余弦定理得: ,∴ 百米, 在 中,由正弦定理得 ,即 , 又 ,所以 为锐角,∴ , ∴ , 在 中,由余弦定理得: . ∵ ,∴当 时, 的最大值为3百米. 4.(1)条件选择见解析; ;(2) . 【解析】 【分析】 (1)选①,利用正弦定理化简已知条件,由此求得 ,进而求得 .选②,利用正弦定理、余弦定理化简已知 条件,求得 ,进而求得 .选③,先求得 ,由此求得 . (2)用 表示出 ,结合 的取值范围,求得 的取值范围. 【详解】 (1)若选①,由正弦定理得 , 因为 ,所以 , 又因为 ,所以 . 若选②,由正弦定理得 ,即 , 第 10 页由余弦定理得 , 又因为 ,所以 . 若选③, , 从而得 ,又因为 ,所以 . (2)由正弦定理 得 , , 所以 , 由 是锐角三角形可得 ,得 ,则 , 因为 在 上单调递增,所以 ,从而 , 所以 的取值范围为 . 5.(1) (2) 【解析】 【分析】 (1)根据三角形中的射影定理 ,可以快速求解. (2)利用正弦定理,将 构造成与角B有关的函数,转化成值域问题即可. (1) ∵ ,∴ (2) , 第 11 页∵ ∴ 6.(1) ;(2) . 【解析】 【分析】 (1)由正弦定理的边化角公式求出 的值; (2)由 得出 ,再由 的范围结合余弦函数的性质得出答案. 【详解】 解:(1)因为 ,所以 . 又 ,所以 ,即 . 又 ,所以 . (2)因为 ,所以 所以 . 由题可知, ,则 , 故 的取值范围是 . 【点睛】 关键点睛:解决本题的关键在于利用正弦定理的边化角公式求出 ,再由三角函数的性质得出 的取值范围. 7.(1) (2)① ;② 【解析】 【分析】 (1)结合余弦定理列方程,化简求得 . (2)①先求得 的表达式,结合余弦定理列方程,化简求得 的最大值. ②通过研究 的范围来求得 的取值范围,从而求得 的取值范围. (1) , , ∴ , ∴ 或 (舍). 第 12 页(2) ① , . ∴ , ∵ , ∴ , ∴ , ∴由 ,得 , ∴当 时, 取得最大值 . ② . 由①知: ,则需研究 的范围. 当 增大时, 增大,从而B随之增大, 所以,当A,B,C趋于共线时, 趋于 ,其中钝角 满足 , 当 减小时, 减小,从而B随之减小, 所以,当A,B,D趋于共线时, 趋于 ,其中锐角 满足 , , 令 ,则 在 上递增,在 上递减 并且 , . 8.(1) (2) , 【解析】 【分析】 (1)由正弦定理结合和角公式得出角C; (2)由正弦定理得出 ,由正弦定理的边化角公式得出 ,结合三角函数的性质 得出△ABC的周长的取值范围. (1) 由题,因为 所以由正弦定理可得 即 第 13 页在△ABC中, ,且 ,B, 又 ,所以 ,则 (2) 由正弦定理得 ,所以 由(1)知 , , 所以 因为 ,所以 则 即△ABC的周长的取值范围为 9.(1) (2) 【解析】 (1)根据降幂公式化简 的解析式,再用整体代入法即可求出函数的单调递减区间; (2)由正弦定理边化角,从而可求得 ,根据锐角三角形可得 从而可求出答案. 【详解】 解:(1) , 由 得 所以 的单调递减区间为 ; (2)由正弦定理得 , ∵ ∴ , 即 , , 得 ,或 , 解得 ,或 (舍), 第 14 页∵ 为锐角三角形, ∴ 解得 ∴ ∴ 的取值范围为 . 【点睛】 本题主要考查三角函数的化简与性质,考查正弦定理的作用,属于基础题. 10.(1) (2)( , ). 【解析】 (1)利用正弦定理可求角A,结合数量积 3,可求△ABC的面积; (2)结合角之间的关系,把2cos2B+cos2C化简为 ,然后结合角 的范围可求. 【详解】 (1)∵acosC=(2b﹣c)cosA, ∴由正弦定理可得sinAcosC=(2sinB﹣sinC)cosA,可得sinAcosC+sinCcosA=sin(A+C)=sinB=2sinBcosA, ∵B为三角形内角,sinB≠0, ∴cosA , 又∵A∈(0,π), ∴A , ∵ bccosA bc=3,可得bc=6, ∴S ABC bcsinA . △ (2)∵∠B<∠C,C B,可得B∈(0, ), ∴2B ∈( , ), ∴cos(2B )∈( , ), ∴2cos2B+cos2C=1+cos2B cos2B cos2( B) cos2B cos2B sin2B cos (2B )∈( , ). 第 15 页∴2cos2B+cos2C的取值范围( , ). 【点睛】 本题主要考查求解三角形及范围问题,求解三角形时边角的转化是求解的关键,范围问题一般是把目标式化简为 标准型进行求解,侧重考查数学运算的核心素养. 11.(1) , ;(2) . 【解析】 【分析】 (1)利用辅助角公式化简函数 的解析式,根据已知条件求出 、 的值,可得出 ,由 求得 的取值范围,利用正弦型函数的基本性质可求得结果; (2)由 结合角 的取值范围可求得 的值,利用 ,结合平面向量数量积运算性质可求 得 的值,进而利用三角形的面积公式可求得 . 【详解】 (1) , 为锐角,且 . 所以, ,解得 , 由题意可得 ,因为 为锐角,且 ,可得 , . 当 时, , , ; (2) , ,即 , , ,则 , . , , 所以, , 即 ,即 , ,解得 . 因此, . 【点睛】 方法点睛:求函数 在区间 上值域的一般步骤: 第一步:三角函数式的化简,一般化成形如 的形式或 的形式; 第二步:由 的取值范围确定 的取值范围,再确定 (或 )的取值范围; 第 16 页第三步:求出所求函数的值域(或最值). 12.(1) (2) , 千米 【解析】 【分析】 (1)若 ,得到 ,在等边 中,得到 ,分别在直角 中,求得 , 再在直角 中,求得 的长; (2)若 ,在 中,利用正弦定理求得 ,在 中,利用余弦定理求得 ,进而求得 最大值,即可求解. (1) 解:若 ,又由 ,所以此时 , 又因为 为边长为3的等边三角形,所以 , 在直角 中,因为 ,所以 , 在直角 中,可得 . (2) 解:若 ,在 中, ,所以 , 在 中, ,其中 , 所以 , 即 , 当且仅当 时,即 时, 取得最大值27, 此时 (千米), 所以当 时,工厂产生的噪音对村庄B的居民影响最小, 此时工厂距离村庄B的最远距离约为5.2千米. 13.(1) (2) 【解析】 【分析】 (1)选①利用余弦定理求出 ;选②由正弦定理结合 求出 ;选③由三角形面积公式以及三角恒 等变换化简得出 ,最后由正弦定理求出 ; 第 17 页(2)先由面积公式得出 的外接圆的半径,进而讨论 为钝角的情况,结合三角函数的性质以及三角形 面积公式得出最值. 【详解】 (1)选①,因为 所以 ,所以 , 选②,由 可得 因为 ,所以 又 为钝角三角形,所以 ,即 选③,因为 ,所以 所以 ,所以 , (2)设 的外接圆的半径为 因为 的面积为 ,所以 ,所以 所以 为等边三角形,所以 因为 或 为钝角时, 与 的面积之和的最大值相同 所以不妨设 为钝角,如下图所示 设 ,则 所以 因为 , ,所以 所以当 , 与 的面积之和取最大值,最大值为 当 为钝角时,如下图所示 第 18 页设 ,则 所以 因为 ,所以当 时, 与 的面积之和取最大值,最大值为 因为 ,所以 与 的面积之和的最大值为 【点睛】 方法点睛:求三角形有关代数式的取值范围也是一种常见的类型,主要方法有两类: (1)找到边与边之间的关系,利用基本不等式来求解; (2)利用正弦定理,转化为关于某个角的三角函数,利用函数思想求解. 14.(1)见解析(2) 【解析】 (1)由 , , 成等比数列得 ,再利用余弦定理及基本不等式求出 的范围,从而证明 ; (2)先利用二倍角公式解 得 ;再由正弦定理求得 ;下面可采用种方法求解.方法一:由余 弦定理求得 ,再利用 边上的高 代入即得;方法二:先由同角的三角函数的基本关系算出 ,进而算出 ,再利用 边上的高 代入即得 【详解】 解:(1)证明:因为 , , 成等比数列,所以 而 (当且仅当 时取等号) 又因为 为三角形的内角,所以 (2)在 中,因为 ,所以 . 又因为 , , 第 19 页所以由正弦定理 ,解得 法1:由 , 得 . 由余弦定理 ,得 . 解得 或 (舍) 所以 边上的高 . 法2:由 , 得 . 又因为 ,所以 所以 或 (舍) (或:因为 ,且 ,所以 为锐角,) 又因为 所以 ∴ 所以 边上的高 . 【点睛】 本题主要考查了正余弦定理的应用,同角的三角函数基本关系式,二倍角公式等知识,考查了学生综合应用公式 的计算能力. 15.(1) , ;(2) . 【解析】 (1)由向量的数量积公式,求出 ,用降幂公式、二倍角公式和辅助角公式化简 为正弦型函数,即可求解; (2)依题意求 的最大值,由(1)求出角 ,利用正弦定理,将 用 表示,再把 转化为 角关系 式,利用三角恒等变换,化为关于 的正弦型函数,即可求解. 【详解】 (1) , ∴ ,∵ ,∴ , 第 20 页∴ , ∴ 的解集是 . (2) ,∴ , ∴ ,∵ , ∴ , ∵锐角三角形且角 , ∴ ,当 时, 最大为 , ∴ 周长最大值为 . 【点睛】 本题考查向量的数量积、三角恒等变换、三角函数性质、正弦定理,考查计算能力,属于中档题. 16.条件选择见解析;(1) ;(2) . 【解析】 (1)选择条件①,利用正弦定理化简已知条件,再利用两角和的正弦公式化简得 ,根据三角形 内角性质得出 且 ,即可求出角 的值;选择条件②,根据向量的数量积公式以及三角形的面积 公式,化简得出 ,即可求出角 的值;选择条件③,根据两角和的正弦公式和辅助角公式,化简的 出 ,从而可求出角 的值; (2)根据题意,利用正弦定理边角互化得出 , ,再根据三角形面积公式化简得出 ,由 为锐角三角形,求出角 的范围,从而得出 的面积的取值范围. 【详解】 解:(1)选① , 由正弦定理得: , ∴ , ∵ ,∴ ,∴ , 第 21 页∵ ,∴ ; 选② , ∴ , ∴ , ∵ ,∴ ,则 , ∴ ; 选③ , 得 , ∴ , ∴ , ∵ ,∴ , ∴ ,∴ . (2)已知 为锐角三角形,且 , 由正弦定理得: , ∴ , , ∴ , ∵ 为锐角三角形, ∴ , ∴ ,∴ . 【点睛】 关键点点睛:本题考查正弦定理的边角互化、两角和的正弦公式、辅助角公式、向量的数量积的应用,考查三角 形的面积公式以及三角形内角的性质,根据三角函数的性质求区间内的最值从而求出三角形的面积的取值范围是 解题的关键,考查转化思想和化简运算能力. 第 22 页17.(1) ;(2) . 【解析】 (1)若选①,利用正弦定理进行边化角,再结合三角形中 ,即得 , ;若选 ②,利用二倍角公式化简整理,再利用正弦定理进行角化边,利用余弦定理解出 , ;若选③,利 用二倍角公式化简整理 ,即得 , ; (2)利用正弦定理求得 ,化简计算 ,利用辅助角公式整理为 ,结合 角的范围,求其范围,最后求周长 的范围即可. 【详解】 (1)方案一:若选①,由已知及正弦定理得, ,所以 ,所以 ,又 ,所以 ,所以 ,即 ,所以 ; 方案二:若选②,由已知及倍角公式得 , 所以 , 所以 , 由正弦定理得 ,由余弦定理得 ,又 ,所以 ; 方案三:若选③,依题意 , 将 , 代入整理得, , ,因为 ,所以 ; (2)法一:由正弦定理 , , 故 ,即 , 所以周长为 . 【点睛】 方法点睛:在解三角形的问题中,若已知条件同时含有边和角,但不能直接使用正弦定理或余弦定理得到答案, 要选择“边化角”或“角化边”,变换原则如下: (1)若式子中含有正弦的齐次式,优先考虑正弦定理“角化边”; (2)若式子中含有 、 、c的齐次式,优先考虑正弦定理“边化角”; 第 23 页(3)若式子中含有余弦的齐次式,优先考虑余弦定理“角化边”; (4)代数式变形或者三角恒等变换前置; (5)含有面积公式的问题,要考虑结合余弦定理求解; (6)同时出现两个自由角(或三个自由角)时,要用到三角形的内角和定理. 18.(1) , ;(2) . 【解析】 【分析】 (1)本题首先可在 中通过余弦定理得出 、 ,然后在 中,通过正弦定理得出 ,最后在 中,根据 得出 ; (2)本题首先可根据 、 得出 ,然后通过三角恒等变换得出 ,最后根据正弦函数的性质即可得出结果. 【详解】 (1)在 中,由余弦定理可得: , 即 ,解得 , 因为 ,所以 , 在 中,因为 , ,所以 , 由正弦定理可得: ,即 , 在 中, ,即 . (2)因为 , , 所以 , , 则 , 因为 ,所以 , 第 24 页当 ,即 时, 取最大值 , 故当 时, 取最大值 . 【点睛】 关键点点睛:本题考查正弦定理以及余弦定理的应用,考查利用三角恒等变换以及正弦函数性质求最值,考查二 倍角公式以及两角和的正弦公式,考查计算能力,考查化归与转化思想,是难题. 19.(1) (2) 【解析】 【分析】 (1)根据余弦定理,将角化边,即可得到三边关系,进而转化成余弦定理形式求解. (2)用二倍角公式降幂,然后利用辅助角公式合并,根据角的范围求解. (1) 及 , ,化简得 , ,又 , . (2) 由(1)可得 为锐角三角形, 且 , , . , , 故 的取值范围为 . 20.(1) ;(2)最大值为4. 第 25 页【解析】 (1)利用正弦定理和三角函数的和差公式可得答案; (2)由 可求出 ,然后 ,然后可得答案. 【详解】 (1)∵ , ∴ , ∴ , ∵ ,∴ , ∴ ,∴ . (2)设 的外接圆半径为R,∵ , ∴ , ∴ . ∵ ,∴ , 当 ,即 时, ,即 的最大值为4 21.(1) ; (2) . 【解析】 【分析】 (1)将题设条件化为 ,结合余弦定理即可知C的大小. (2)由(1)及正弦定理边角关系可得 ,再应用辅助角公式、正弦函数的性质即可求 最大值. (1) 由 ,得 ,即 , 由余弦定理得: ,又 ,所以 . 第 26 页(2) 由(1)知: ,则 , . 设 ABC的外接圆半径为R,则 △ , 当 时, 取得最大值为 . 22.(1) ;(2) . 【解析】 (1)先利用 得出 ,再解出 ,将 用含 的式子表示,然后根 据角 的范围,求 的取值范围; (2)利用余弦定理将 化为关于三边的关系式,代入 , ,解出 ,然后再设法求 其面积. 【详解】 又 ,且 都为锐角,故 , , 又 , 所以 又 ,所以 ,得 , , 所以 , 故 . (2)由余弦定理得 , 代入 , 整理得: , 解得: 第 27 页则△ 为直角三角形,面积为 . 【点睛】 本题考查解三角形中的综合问题,考查学生的计算能力,最值、取值范围问题的分析与处理能力,难度较大. 解答 时,要注意利用余弦定理进行边角互化,取值范围问题要设法表示出所求量满足的关系式,然后利用函数的性质 或不等式等求解. 23.(1) (2) (3) , 的面积 为 【解析】 【分析】 (1)根据正弦定理与余弦定理求解即可; (2)根据(1)可得 ,得到 ,再根据正弦的和差角公式与辅助角公式, 根据角度的范围求解即可; (3)先根据直角三角形中的关系求解得 ,再设 ,推导可得 ,再根据 求解即可 (1) 由正弦定理及 ,得 , 即 ,化简得 ,故 . 又 ,故 . (2) 由(1)知, , 故 . 又 ,则 , , 故 . (3) 第 28 页∵ ,∴ ,∵ , 为 中点,∴ , ∵ ,∴ , ,∴ , , 设 ,则 , ∴ , , ∴ , 在直角 中, , ∴当 时, 的面积 为 . 24.(1) ;(2) . 【解析】 【分析】 (1)由已知条件结合诱导公式求得 ,在 中,利用余弦定理,即可求解; (2)由已知条件结合余弦定理,求得 ,再利用正弦定理、余弦定理及三角函数的性质,即可求解. 【详解】 (1)当 时, , 则 在 中,由余弦定理可得 , 所以 . (2)在 中,由余弦定理知, , 所以 在 中,由正弦定理知 ,可得 , 在 中,由余弦定理可得 , 第 29 页所以当 时, 的取最大值 . 答:(1) ;(2) 的最大值为 . 25.(1) (2) 【解析】 【分析】 (1)根据题意,利用正弦定理化简得到 ,求得 ,即可求解; (1)由正弦定理可得 ,化简 ,结合三角函数的性质,即可求解. , (1) 解:因为 , 由正弦定理得 , 因为 ,可得 ,所以 ,所以 . (2) 解:因为 , ,由正弦定理可得 , 所以 , , 所以 , 由 且 ,可得 ,所以 ,所以 , 所以 ,即 的取值范围为 . 26.(1) ;(2) . 【解析】 (1)根据向量平行列出方程,再利用正弦定理进行边角转化,然后求出角 的大小; (2)根据余弦定理求出 的取值范围,再根据三角形边的几何性质求出周长的取值范围. 【详解】 (1)由 得 , 第 30 页由正弦定理 , 得 , 即 , 因为在三角形中 , 则 , 又 , 故 ; (2)在 中,因 , , 由余弦定理得 , 即 ,当且仅当 时取等号, 解得 , 又由三角形性质得 , 故 , 则 , 即 的周长的取值范围为 . 【点睛】 本题主要考查了解三角形中正余弦定理的应用,结合考查了两向量平行,属于一般题. 第二问属于典型的已知三角形一角和该角所对边的问题,可以利用圆中弦所对圆周角相等的这个几何性质求出三 角形边长范围. 27.(1) ;(2) ;(3) . 【解析】 【分析】 (1)利用正弦定理可把边角关系转化为 ,从而可得 . (2)先根据锐角三角形可得 ,再利用三角变换公式可得 ,从而可求 的取值范围; (3)在 和 中分别用余弦定理可得关于 的方程,求解后可得 为直角三角形,从而可求 的值. 【详解】 (1)因为 , 由正弦定理可得 , 第 31 页而 为三角形内角,故 ,故 即 . (2)由(1)可得 , 因为 为锐角三角形,故 ,故 . 又 , 因为 ,故 ,故 . (3) 中,由余弦定理可得 , 在 中,由余弦定理可得 , 整理得到 ,解得 ,故 , , 故 ,故 ,故 . 【点睛】 方法点睛:在解三角形中,如果题设条件是边角的混合关系,那么我们可以利用正弦定理或余弦定理把这种混合 关系式转化为边的关系式或角的关系式.另外,在解三角形中,我们有时需要找出不同三角形之间相关联的边或角, 由它们沟通分散在不同三角形的几何量. 28.(1) ;(2) . 【解析】 【分析】 (1)在 中,利用正弦定理求得 ,进而通过二角和差公式求出 ,再通过面积公式得到答案; (2)由正弦定理求出 、 的表达式,求出 的代数式,在运用角的关系和范围求 的取值范 围. 【详解】 (1) , , , 在 中, ,解得: , 第 32 页; (2)在 中, 得: , 在 中, 得: , , , , , 整理得: , , , , 故 的取值范围为 . 【点睛】 思路点睛: 解三角形的基本策略:一是利用正弦定理实现“边化角”,二是利用余弦定理实现“角化边”;求三角形面积的 最大值也是一种常见类型,主要方法有两类,一是找到边之间的关系,利用基本不等式求最值,二是利用正弦定 理,转化为关于某个角的函数,利用函数思想求最值. 第 33 页第 34 页