当前位置:首页>文档>专题12特殊的平行四边形中的最值模型之费马点模型(教师版)_初中数学_八年级数学下册(人教版)_常见几何模型全归纳-V13_2024版

专题12特殊的平行四边形中的最值模型之费马点模型(教师版)_初中数学_八年级数学下册(人教版)_常见几何模型全归纳-V13_2024版

  • 2026-03-24 10:22:44 2026-03-22 03:22:52

文档预览

专题12特殊的平行四边形中的最值模型之费马点模型(教师版)_初中数学_八年级数学下册(人教版)_常见几何模型全归纳-V13_2024版
专题12特殊的平行四边形中的最值模型之费马点模型(教师版)_初中数学_八年级数学下册(人教版)_常见几何模型全归纳-V13_2024版
专题12特殊的平行四边形中的最值模型之费马点模型(教师版)_初中数学_八年级数学下册(人教版)_常见几何模型全归纳-V13_2024版
专题12特殊的平行四边形中的最值模型之费马点模型(教师版)_初中数学_八年级数学下册(人教版)_常见几何模型全归纳-V13_2024版
专题12特殊的平行四边形中的最值模型之费马点模型(教师版)_初中数学_八年级数学下册(人教版)_常见几何模型全归纳-V13_2024版
专题12特殊的平行四边形中的最值模型之费马点模型(教师版)_初中数学_八年级数学下册(人教版)_常见几何模型全归纳-V13_2024版
专题12特殊的平行四边形中的最值模型之费马点模型(教师版)_初中数学_八年级数学下册(人教版)_常见几何模型全归纳-V13_2024版
专题12特殊的平行四边形中的最值模型之费马点模型(教师版)_初中数学_八年级数学下册(人教版)_常见几何模型全归纳-V13_2024版
专题12特殊的平行四边形中的最值模型之费马点模型(教师版)_初中数学_八年级数学下册(人教版)_常见几何模型全归纳-V13_2024版
专题12特殊的平行四边形中的最值模型之费马点模型(教师版)_初中数学_八年级数学下册(人教版)_常见几何模型全归纳-V13_2024版
专题12特殊的平行四边形中的最值模型之费马点模型(教师版)_初中数学_八年级数学下册(人教版)_常见几何模型全归纳-V13_2024版
专题12特殊的平行四边形中的最值模型之费马点模型(教师版)_初中数学_八年级数学下册(人教版)_常见几何模型全归纳-V13_2024版
专题12特殊的平行四边形中的最值模型之费马点模型(教师版)_初中数学_八年级数学下册(人教版)_常见几何模型全归纳-V13_2024版
专题12特殊的平行四边形中的最值模型之费马点模型(教师版)_初中数学_八年级数学下册(人教版)_常见几何模型全归纳-V13_2024版
专题12特殊的平行四边形中的最值模型之费马点模型(教师版)_初中数学_八年级数学下册(人教版)_常见几何模型全归纳-V13_2024版
专题12特殊的平行四边形中的最值模型之费马点模型(教师版)_初中数学_八年级数学下册(人教版)_常见几何模型全归纳-V13_2024版
专题12特殊的平行四边形中的最值模型之费马点模型(教师版)_初中数学_八年级数学下册(人教版)_常见几何模型全归纳-V13_2024版
专题12特殊的平行四边形中的最值模型之费马点模型(教师版)_初中数学_八年级数学下册(人教版)_常见几何模型全归纳-V13_2024版
专题12特殊的平行四边形中的最值模型之费马点模型(教师版)_初中数学_八年级数学下册(人教版)_常见几何模型全归纳-V13_2024版
专题12特殊的平行四边形中的最值模型之费马点模型(教师版)_初中数学_八年级数学下册(人教版)_常见几何模型全归纳-V13_2024版
专题12特殊的平行四边形中的最值模型之费马点模型(教师版)_初中数学_八年级数学下册(人教版)_常见几何模型全归纳-V13_2024版
专题12特殊的平行四边形中的最值模型之费马点模型(教师版)_初中数学_八年级数学下册(人教版)_常见几何模型全归纳-V13_2024版
专题12特殊的平行四边形中的最值模型之费马点模型(教师版)_初中数学_八年级数学下册(人教版)_常见几何模型全归纳-V13_2024版
专题12特殊的平行四边形中的最值模型之费马点模型(教师版)_初中数学_八年级数学下册(人教版)_常见几何模型全归纳-V13_2024版
专题12特殊的平行四边形中的最值模型之费马点模型(教师版)_初中数学_八年级数学下册(人教版)_常见几何模型全归纳-V13_2024版
专题12特殊的平行四边形中的最值模型之费马点模型(教师版)_初中数学_八年级数学下册(人教版)_常见几何模型全归纳-V13_2024版
专题12特殊的平行四边形中的最值模型之费马点模型(教师版)_初中数学_八年级数学下册(人教版)_常见几何模型全归纳-V13_2024版
专题12特殊的平行四边形中的最值模型之费马点模型(教师版)_初中数学_八年级数学下册(人教版)_常见几何模型全归纳-V13_2024版
专题12特殊的平行四边形中的最值模型之费马点模型(教师版)_初中数学_八年级数学下册(人教版)_常见几何模型全归纳-V13_2024版
专题12特殊的平行四边形中的最值模型之费马点模型(教师版)_初中数学_八年级数学下册(人教版)_常见几何模型全归纳-V13_2024版
专题12特殊的平行四边形中的最值模型之费马点模型(教师版)_初中数学_八年级数学下册(人教版)_常见几何模型全归纳-V13_2024版
专题12特殊的平行四边形中的最值模型之费马点模型(教师版)_初中数学_八年级数学下册(人教版)_常见几何模型全归纳-V13_2024版
专题12特殊的平行四边形中的最值模型之费马点模型(教师版)_初中数学_八年级数学下册(人教版)_常见几何模型全归纳-V13_2024版
专题12特殊的平行四边形中的最值模型之费马点模型(教师版)_初中数学_八年级数学下册(人教版)_常见几何模型全归纳-V13_2024版
专题12特殊的平行四边形中的最值模型之费马点模型(教师版)_初中数学_八年级数学下册(人教版)_常见几何模型全归纳-V13_2024版
专题12特殊的平行四边形中的最值模型之费马点模型(教师版)_初中数学_八年级数学下册(人教版)_常见几何模型全归纳-V13_2024版
专题12特殊的平行四边形中的最值模型之费马点模型(教师版)_初中数学_八年级数学下册(人教版)_常见几何模型全归纳-V13_2024版
专题12特殊的平行四边形中的最值模型之费马点模型(教师版)_初中数学_八年级数学下册(人教版)_常见几何模型全归纳-V13_2024版
专题12特殊的平行四边形中的最值模型之费马点模型(教师版)_初中数学_八年级数学下册(人教版)_常见几何模型全归纳-V13_2024版
专题12特殊的平行四边形中的最值模型之费马点模型(教师版)_初中数学_八年级数学下册(人教版)_常见几何模型全归纳-V13_2024版
专题12特殊的平行四边形中的最值模型之费马点模型(教师版)_初中数学_八年级数学下册(人教版)_常见几何模型全归纳-V13_2024版
专题12特殊的平行四边形中的最值模型之费马点模型(教师版)_初中数学_八年级数学下册(人教版)_常见几何模型全归纳-V13_2024版

文档信息

文档格式
docx
文档大小
5.152 MB
文档页数
42 页
上传时间
2026-03-22 03:22:52

文档内容

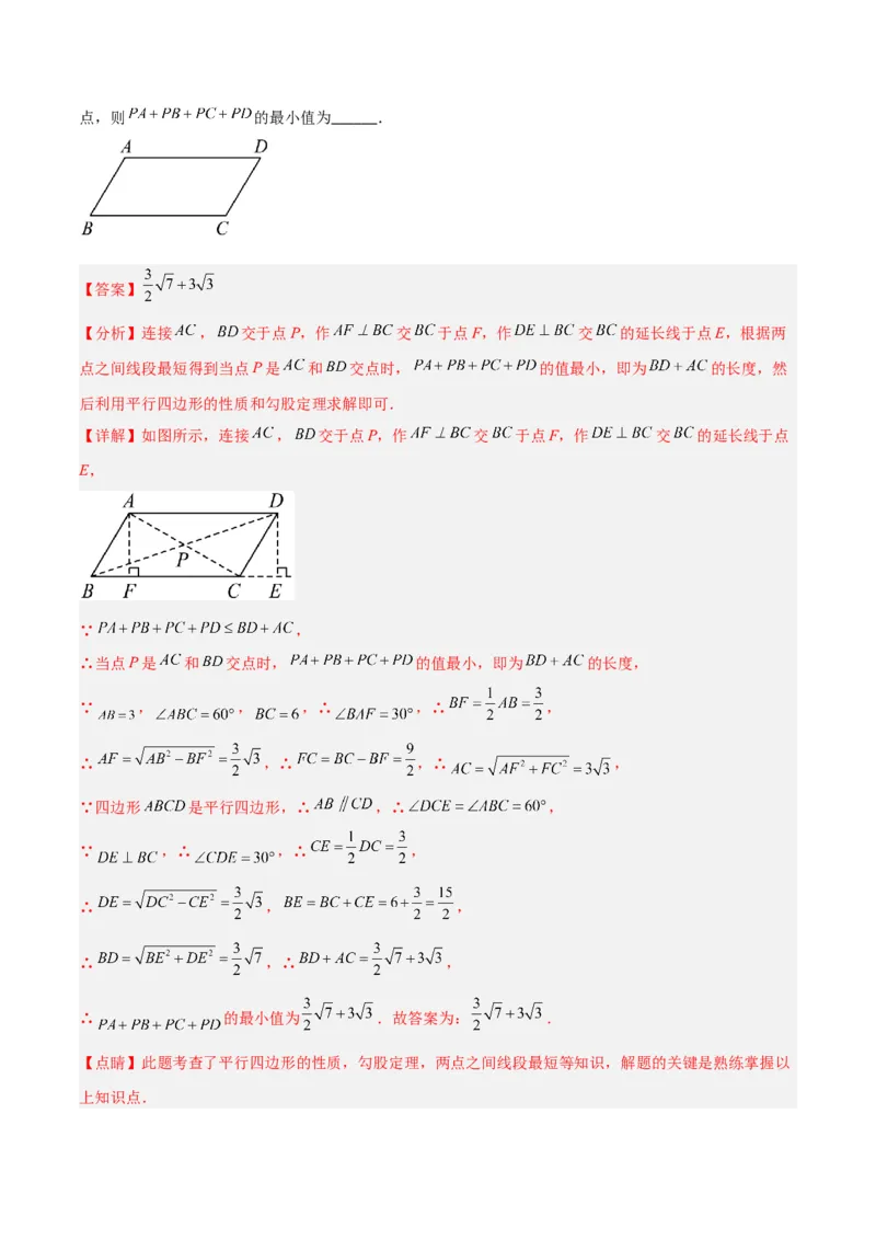
专题 12 特殊的平行四边形中的最值模型之费马点模型 费马点问题是由全等三角形中的手拉手模型衍生而来,主要考查转化与化归等的数学思想,在各类考 试中都以中高档题为主。本专题就特殊平行四边形中的最值模型-费马点问题进行梳理及对应试题分析, 方便掌握。 【模型背景】皮耶·德·费马,17世纪法国数学家,有“业余数学家之王”的美誉,之所以叫业余并非段位 不够,而是因为其主职是律师,兼职搞搞数学.费马在解析几何、微积分等领域都有卓越的贡献,除此之 外,费马广为人知的是以其名字命名的“费马小定理”、“费马大定理”等.费马点:三角形内的点到三 个顶点距离之和最小的点。 【模型解读】 结论:如图,点M为△ABC内任意一点,连接AM、BM、CM,当M与三个顶点连线的夹角为120°时, MA+MB+MC的值最小。 注意:上述结论成立的条件是△ABC的最大的角要小于120º,若最大的角大于或等于120º,此时费马点就 是最大角的顶点A。(这种情况一般不考,通常三角形的最大顶角都小于120°) 【模型证明】以AB为一边向外作等边三角形△ABE,将BM绕点B逆时针旋转60°得到BN,连接EN. ∵△ABE为等边三角形,∴AB=BE,∠ABE=60°.而∠MBN=60°,∴∠ABM=∠EBN. 在△AMB与△ENB中,∵ ,∴△AMB≌△ENB(SAS). 连接MN.由△AMB≌△ENB知,AM=EN.∵∠MBN=60°,BM=BN,∴△BMN为等边三角形. ∴BM=MN.∴AM+BM+CM=EN+MN+CM.∴当E、N、M、C四点共线时,AM+BM+CM的值最小. 此时,∠BMC=180°﹣∠NMB=120°;∠AMB=∠ENB=180°﹣∠BNM=120°; ∠AMC=360°﹣∠BMC﹣∠AMB=120°. 费马点的作法:如图3,分别以△ABC的AB、AC为一边向外作等边△ABE和等边△ACF,连接CE、BF, 设交点为M,则点M即为△ABC的费马点。【最值原理】两点之间,线段最短。 例1.(2023·福建泉州·八年级校考期末)如图, 是边长为2的正方形 内一动点, 为边 上一 动点,连接 ,则 的最小值为( ) A.4 B.3 C. D. 【答案】D 【分析】将 绕点A逆时针旋转 得到 ,则知 是等边三角形,转化为两定点之间的折 线,再利用“垂线段最短”求最小值. 【详解】如图,将 绕点A逆时针旋转 得到 ,则 是等边三角形, 作 于H,交 于G.则四边形 是矩形, ∴ , , ,∴ , ∴ , ∵ ,∴ , ∴ 的最小值 .故选:D. 【点睛】本题主要考查了正方形的性质,勾股定理,等边三角形的性质,两点之间线段最短时的位置的确 定,解本题的关键是确定取最小值时的位置. 例2.(2023·陕西西安·八年级校考阶段练习)两张宽为3cm的纸条交叉重叠成四边形ABCD,如图所示, 若∠ =30°,则对角线BD上的动点P到A,B,C三点距离之和的最小值是 . α【答案】 cm 【详解】解:如图,过D作DE⊥BC于E,DF⊥BA于F,把△ABP绕点B逆时针旋转60°得到△A'BP′, 则DE=DF=3cm,∵∠ =30°,∴CD=2DE=6cm, ∵AD∥BC,AB∥CD,∴α四边形ABCD是平行四边形,∴BC•DE=AB•DF, ∵DE=DF,∴BC=AB,∴平行四边形ABCD是菱形,∴BC=AD=CD=6cm, 由旋转的性质得:A′B=AB=CD=6cm,BP′=BP,A'P′=AP,∠P′BP=60°,∠A'BA=60°, ∴△P′BP是等边三角形,∴BP=PP',∴PA+PB+PC=A'P′+PP'+PC, 根据两点间线段距离最短可知,当PA+PB+PC=A'C时最短, 连接A'C,与BD的交点即为到A,B,C三点距离之和的最小的P点, 则点P到A,B,C三点距离之和的最小值是A′C. ∵∠ABC=∠DCE=∠ =30°,∠A′BA=60°,∴∠A′BC=90°, α ∴A′C= = = (cm), 因此点P到A,B,C三点距离之和的最小值是 cm,故答案为: cm. 例3.(2023上·湖北武汉·九年级校考阶段练习)如图,点 是矩形 内一点,且 , , 为边 上一点,连接 ,则 的最小值为 .【答案】 【分析】将 绕点 逆时针旋转 得到△ ,连接 、 ,根据旋转的性质得 为 等边三角形,同理 为等边三角形,进而有 ,当线段 、 、 三条线段在同一直线上,且该直线与 垂直时, 的值最小,问题随之得解. 【详解】解:如图所示,将 绕点 逆时针旋转 得到△ ,连接 、 , 根据旋转的性质有: , , , 为等边三角形,同理 为等边三角形, , , , 当线段 、 、 三条线段在同一直线上,且该直线与 垂直时, 的值最小, 即 的值最小,如图,过点 作 于点 ,交 于点 , 即 最小值为: ,在矩形 中, 于点 , 即可知四边形 是矩形, ,即 ,为等边三角形, , , , , 的最小值为 ,故答案为: . 【点睛】本题主要考查了旋转的性质,矩形的性质,等边三角形的判定性质与性质,勾股定理,垂线段最 短等知识,作出合理的辅助线是解答本题的关键. 例4.(2024·广东·九年级培优训练)如图,在正方形 中,点 为对角线 上一点, 为等边 三角形.(1)当点 在何处时, 的值最小,说明理由; (2)当正方形的边长为8时,求 的最小值是多少? 【答案】(1) 为 与 的交点.证明见解析(2) 的最小值为: . 【分析】(1)如图,将线段 顺时针旋转 得线段 ,连接 , ,证明 ,可得当 , , , 四点共线时,如图,此时 最小,可得 为 与 的 交点. (2)如图,过 作 交 的延长线于 ,证明 ,可得 , ,再利用勾股定理可得最小值. 【详解】(1)解:如图,将线段 顺时针旋转 得线段 ,连接 , , ∴ , ,∴ 为等边三角形,∴ ,∵ 为等边三角形.∴ , ,∴ , ∴ ,∴ ,∴ , 当 , , , 四点共线时,如图, 此时 最小,∴ 为 与 的交点. (2)如图,过 作 交 的延长线于 , ∵正方形 ,等边三角形 , ,∴ , , , ∴ ,∴ , , ∴ ,∴ 的最小值为: . 【点睛】本题考查的是旋转的性质,等边三角形的判定与性质,正方形的性质,全等三角形的判定与性质, 勾股定理的应用,二次根式的混合运算,作出合适的辅助线是解本题的关键. 例5.(2023·广东广州·校考二模)平行四边形 中,点E在边 上,连 ,点F在线段 上,连 ,连 .(1)如图1,已知 ,点E为 中点, .若 ,求 的长 度; (2)如图2,已知 ,将射线 沿 翻折交 于H,过点C作 交 于 点G.若 ,求证: ; (3)如图3,已知 ,若 ,直接写出 的最小值. 【答案】(1) (2)见解析(3) 【分析】(1)根据“直角三角形的中线等于斜边长一半”,可以得到 ,再在直角 中,利用勾股定理求出 ,则 ,即可求解; (2)由题意可得, 是 的角平分线,且 ,故延长 交于点M,可证 , 要证 ,而 ,即证明 即可,延长 交 于N,过E作 于 P,先证明 ,可以得到 ,再证明四边形 是正方形,得到 ,接着证明 即可解决; (3)如图3,分别以 和 为边构造等边三角形,构造“手拉手”模型,即可得到 ,所 以 ,则 ,当B,F,M,N四点共线时,所求线段和的 值最小,利用 ,解 即可解决. 【详解】(1)解:∵ ,如图1, ∴ ,E为 的中点, ,∴ , ∵ ,∴ ,在 中, ,∴ ; (2)证明:如图2,设射线 与射线 交于点M,由题可设 , ∵ ,∴ ,∴ ,∴ , ∵ ,∴ ,∴ , ∵ ,∴ ,∴ , ∵ ,∴ ,延长 交 于N, ∴ ,过E作 于P,则 , 在 与 中, ,∴ ,∴ , 过E作 于Q,∴ ,∴四边形 为矩形, ∵ ,∴ ,∴ , ∴矩形 为正方形,∴ ,∴ ,在 与 中, , ∴ ,∴ , ∵ ,∴ ; (3)解:如图3,把 绕点A逆时针旋转 得到 ,得到等边 ,同理以 为边构造等边 , ∴ , , ∴ ,∴ , 在 与 中, ,∴ , ∴ ,∴ , 当B,F,M,N四点共线时, 最小,即为线段BN的长度,如图4, 过N作 交其延长线于T,∴ , ∵ ,∴ ,∵ ,∴ , ∴ ,∴ ,∵ , ∴ ,在 中, , ∴ ,∴ ,∴ , ∴ 的最小值为 . 【点睛】本题是一道四边形综合题,考查了线段的“截长补短”在证明三角形全等中的应用,同时要注意基本辅助线构造方法,比如第(2)问中的线段 既是角平分线,又是垂线段,延长相交构等腰就是本题 的突破口,再结合线段的截长补短来构造全等,还考查了多条线段和的最值问题,利用旋转变换来转化线 段是解决此问的关键. 例6.(2023·重庆·九年级专题练习)【问题提出】 (1)如图1,四边形 是正方形, 是等边三角形,M为对角线 (不含B点)上任意一点, 将 绕点B逆时针旋转 得到 ,连接 、 , .若连接 ,则 的形状是________. (2)如图2,在 中, , ,求 的最小值. 【问题解决】(3)如图3,某高新技术开发区有一个平行四边形的公园 , 千米, ,公园内有一个儿童游乐场E,分别从A、B、C向游乐场E修三条 ,求三条路的 长度和(即 )最小时,平行四边形公园 的面积. 【答案】(1)等边三角形;(2)BC的最小值为 ;(3)平行四边形公园ABCD的面积为 (平方 米). 【分析】(1)由旋转得BN=BM,∠MBN=60°,可判断出 BMN是等边三角形即可; △ (2)设AB=a,则AC=10-a,进而根据勾股定理得出 即可得出结论;(3)先判断出点 A',E',E,C在同一条线上,设BF=x,进而依次得出AB=2x,BC=6-2x,CF=6-x,再利用勾股定理得出 ,得出x= 是A'C最小,进而求出A'F,BC,利用平行四边形面积公式计算即可. 【详解】(1)证明: 的形状是等边三角形,理由如下; 由旋转知,BN=BM,∠MBN=60°∴ BMN为等边三角形 故答案为:等边三角形; △(2)解:设AB=a,∵AB+AC=10,∴AC=10-AB= ,在Rt ABC中,根据勾股定理得, △ , ∵ ,∴ ,即 ,∴ ,即BC的最小值为 ; (3)解:如图3, 将 ABE绕点B逆时针旋转60°得到 A'BE',∴△ABE≌△A'BE', ∴∠△A'E'B=∠AEB,AB=A'B,A'E'=AE,△BE'=BE,∠EBE'=60°, ∴△EBE'为等边三角形,∴∠BE'E=∠BEE'=60°,EE'=BE,∴AE+BE+CE=A'E'+EE'+CE, 要AE+BE+CE最小,即点A',E',E,C在同一条线上,即最小值为A'C, 过点A'作A'F⊥CB,交CB的延长线于F,在Rt A'FB中,∠A'BF=180°-∠ABA'-∠ABC=60°, △ 设BF=x,则A'B=2x, 根据勾股定理得,A'F= , ∵AB=A'B,∴AB=2x,∵AB+BC=6,∴BC=6-AB=6-2x,∴CF=BF+BC=6-x, 在Rt A'FC中,根据勾股定理得, , △ ∴当x= ,即AB=2x=3时, 最小,此时,BC=6-3=3,A'F= , ∴平行四边形公园ABCD的面积为 (平方千米). 【点睛】本题是四边形综合题,主要考查了等边三角形的判定和性质,旋转的性质,勾股定理,用代数式 表示线段,利用配方法确定极值问题,判断出AB=BC时,AE+BE+CE最小是解本题的关键. 例7.(2023·江苏·九年级阶段练习)如图,四个村庄坐落在矩形ABCD的四个顶点上,AB=10公里,BC =15公里,现在要设立两个车站E,F,则EA+EB+EF+FC+FD的最小值为 公里.【答案】15+10 【分析】将 AEB绕A顺时针旋转60°得 AGH,连接BH、EG,将 DFC绕点D逆时针旋转60°得到 DF'M,连△接CM、FM、FF',如图2,△此时EH、EF、FM共线,E△A+EB+EF+FC+FD是最小值,利用旋转 △的性质和等边三角形的性质,相加即可得出结论. 【详解】解:如图1,将 AEB绕A顺时针旋转60°得 AGH,连接BH、EG,将 DFC绕点D逆时针旋转 60°得到 DF'M,连接CM△、FF', △ △ △ 由旋转得:AB=AH,AE=AG,∠EAG=∠BAH=60°,BE=GH, ∴△AEG和 ABH是等边三角形,∴AE=EG, 同理得: △DFF'和 DCM是等边三角形,DF=FF',FC=F'M, ∴当H、G△、E、F、△F'、M在同一条直线上时,EA+EB+EF+FC+FD有最小值,如图2, ∵AH=BH,DM=CM,∴HM是AB和CD的垂直平分线,∴HM⊥AB,HM⊥CD, ∵AB=10,∴△ABH的高为5 , ∴EA+EB+EF+FC+FD=EG+GH+EF+FF'+F'M=HM=15+5 +5 =15+10 ,则EA+EB+EF+FC+FD的最小值是(15+10 )公里.故答案为:(15+10 ). 【点睛】本题考查了矩形的性质和最短路径问题,旋转的性质和等边三角形的性质,确定最小值时点E和 F的位置是本题的关键,利用全等、勾股定理求其边长,从而得出结论. 例8.(2023上·广东广州·九年级校考期中)如图①,在平面直角坐标系中,直线 分别与 轴, 轴交于 , 两点,点 为 中点,四边形 和四边形 都是正方形. (1)求 的长;(2)如图②,连接 , ,过点 作 于点 ,延长 交 于点 ,求证: ; (3)如图③, ,点 在 边上,且 , 为 的中点,点 为正方形 内部一点,连接 , , ,请直接写出 的最小值. 【答案】(1) (2)见详解(3) 【分析】(1)由直线解析式可求出 的长,然后根据“直角三角形斜边上的中线等于斜边的一半”, 即可求出答案;(2)过点 作 交 延长线于点 ,过点 作 ,垂足为 ,先证明 , ,再证明 ,即可得出结论;(3)将 绕点 逆时针 旋转 得到 ,连接 ,通过旋转构造 的最小值为 的长,即可解答. 【详解】(1)解:对于直线 , 当 时, ,即 ,当 时, ,即 , ∴ , ,∴ ,∵点 是 的中点, ,∴ ; (2)证明:过点 作 交 延长线于点 ,过点 作 ,垂足为 , ∵四边形 为正方形,∴ , , , ∵ , ,∴ ,∴ , ∴ ,∴ ,同理 ,∴ ,∴ , ∵ , ,∴ , 又∵ , ,∴ ,∴ ; (3)解:将 绕点 逆时针旋转 得到 ,连接 , 则 ,∴ , , ∵ ,∴ 为等腰直角三角形,∴ , ∴ , ∴当 共线时, 有最小值,最小值为 的长, 在正方形 中, , , 为 的中点, ∴ , ,∴ , 在 中, ,∴ 的最小值为 .【点睛】本题主要考查了坐标与图形、正方形的性质、全等三角形的判定与性质、旋转的性质、勾股定理、 一次函数的性质等知识,熟练掌握相关性质并作出辅助线是解题关键. 课后专项训练 1.(2023春·浙江·八年级专题练习)如图,四边形ABCD是菱形,AB=4,且∠ABC=∠ABE=60°,G为对角线 BD(不含B点)上任意一点,将 ABG绕点B逆时针旋转60°得到 EBF,当AG+BG+CG取最小值时EF的长 ( ) △ △A. B. C. D. 【答案】D 【分析】据“两点之间线段最短”,当G点位于BD与CE的交点处时,AG+BG+CG的值最小,即等于EC的 长. 【详解】解:如图,∵将 ABG绕点B逆时针旋转60°得到 EBF,∴BE=AB=BC,BF=BG,EF=AG, ∴△BFG是等边三角形.∴△BF=BG=FG,.∴AG+BG+CG=FE+G△F+CG.根据“两点之间线段最短”, ∴当G点位于BD与CE的交点处时,AG+BG+CG的值最小,即等于EC的长, 过E点作EF⊥BC交CB的延长线于F,∴∠EBF=180°-120°=60°, ∵BC=4,∴BF=2,EF=2 ,在Rt EFC中, △ ∵EF2+FC2=EC2,∴EC=4 .∵∠CBE=120°,∴∠BEF=30°, ∵∠EBF=∠ABG=30°,∴EF=BF=FG,∴EF= CE= ,故选:D. 【点睛】本题考查了旋转的性质,菱形的性质,等边三角形的性质,轴对称最短路线问题,正确的作出辅 助线是解题的关键. 2.(2023·广东广州·一模)如图,正方形ABCD内一点E,E到A、B、C三点的距离之和的最小值为 ,正方形的边长为_______. 解:以A为旋转中心,将△ABE顺时针旋转60°得到△AMN,连NE,MB,过M作MP⊥BC交BC的延长线于P点,如图,∴MN=BE,AN=AE,∠NAE=60°, ∴△ANE为等边三角形,∴AE=NE,∴AE+EB+EC=MN+NE+EC, 当AE+EB+EC取最小值时,折线MNEC成为线段,则MC= , ∵AB=AM,∠BAM=60°,∴△ABM为等边三角形, ∴∠MBC=150°,则∠PBM=30°,在Rt△PMC中,设BC=x,PM= 所以 所以x=2,∴BC=2,即正方形的边长为2. 3.(2024上·陕西汉中·九年级统考期末)如图,正方形 的边长为2. 为与点 不重合的动点,以 为一边作正方形 .设 ,点 、 与点 的距离分别为 、 ,则 的最小值 为 . 【答案】 【分析】本题主要考查正方形的性质、三角形的全等证明,勾股定理,连接 、 、 ,证 可得 ,当 、 、 、 四点共线时,即得最小值; 【详解】解:如图,连接 、 、 ,∵ ∴在 和 中,∵ ∴ ∴ ∴ 当 时,最小, ∴ 的最小值为 ,故答案为: . 4.(2023·四川·校联考模拟预测)如图,在 中,P为平面内的一点,连接 ,若 ,则 的最小值是( ) A. B.36 C. D. 【答案】A 【分析】分别以 、 为边在下方构造等边三角形 、 ,分别取 、 中点 ,连 接 ,先证得 ,可得 ,由中位线可得 ,由等边三角 形性质可得 ,当 三点共线时即可求得 的最小 值,最终求出 的最小值. 【详解】分别以 、 为边在下方构造等边三角形 、 ,分别取 、 中点 ,连 接 ,如图所示,∵取 、 中点 ,∴ ,∵等边三角形 ,∴ , ∵等边三角形 ,∴ , , ∴ ,∴ ,∴ , ∴ ,∴ , ∴当 三点共线时 最小, ∵ ∴ , ∵ ,∴ ,∴ , ∴ ,∴ 的最小值为 ,故选:A. 【点睛】本题考查等边三角形的性质、中位线的性质、勾股定理等知识点,解题的关键是利用手拉手模型 构造辅助线. 5.(2023春·浙江·八年级专题练习)如图,点P是矩形 对角线 上的一个动点,已知 ,则 的最小值是__.【答案】 【分析】将 绕点C逆时针旋转 ,得到 ,连接 ,则 是等边三角形, 是等边三角形,由 ,得出 ,当 共线时, 得到值最小,然后根据等边三角形的性质和勾股定理求得 的最小值. 【详解】解:将 绕点C逆时针旋转 ,得到 ,连接 ,则 是等边三角 形, 是等边三角形,∴ ,∴ , ∴当 共线时, 值最小,即 的值最小, 连接 ,作 ,延长 使得 ,连接 ,则四边形 是矩形,∴ , ∵ 是等边三角形,∴ , , ∴ , ,∴ , ∴ 的最小值为 ,故答案为: . 【点睛】本题主要考查了矩形的性质与判定,等边三角形的性质与判定,勾股定理,旋转的性质,正确作 出辅助线是解题的关键. 6.(2023·陕西西安·校考模拟预测)如图,在 中, , , ,P是平面内一点,则 的最小值为______. 【答案】 【分析】连接 , 交于点P,作 交 于点F,作 交 的延长线于点E,根据两 点之间线段最短得到当点P是 和 交点时, 的值最小,即为 的长度,然 后利用平行四边形的性质和勾股定理求解即可. 【详解】如图所示,连接 , 交于点P,作 交 于点F,作 交 的延长线于点 E, ∵ , ∴当点P是 和 交点时, 的值最小,即为 的长度, ∵ , , ,∴ ,∴ , ∴ ,∴ ,∴ , ∵四边形 是平行四边形,∴ ,∴ , ∵ ,∴ ,∴ , ∴ , , ∴ ,∴ , ∴ 的最小值为 .故答案为: . 【点睛】此题考查了平行四边形的性质,勾股定理,两点之间线段最短等知识,解题的关键是熟练掌握以 上知识点.7.(2023·广东佛山·九年级校考阶段练习)如图,菱形ABCD的对角线AC上有一动点P,BC=6,∠ABC= 150°,则AP+BP+PD的最小值为_____. 【答案】6 【分析】将 ADC逆时针旋转60°,得到 AD′C′,连接BD′交AC于P,交AC′于E,连接PD,求出BD′,证明 PA=PE,PD△=ED′,根据两点之间线段最△短得到答案. 【详解】解:将 ADC逆时针旋转60°,得到 AD′C′,连接BD′交AC于P,交AC′于E,连接PD, ∵∠ABC=150°∴∠△BAD=30°,∵∠DAD′=60°,△∴∠BAD′=90°,又AB=AD=AD′=BC=6, ∴BD′= ,∠ABP=45°, 又∠BAP=15°,∴∠APE=∠PAE=60°,∴△EAP为等边三角形,∴PA=PE=AE, 又∵AD=AD′,∠PAD=∠EAD′,∴ APD≌△AED′,∴PD=ED′, △ 根据两点之间线段最短可得AP+BP+PD的最小值=PB+PE+ED′= ,故答案为: . 【点睛】本题考查的是菱形的性质、旋转变换、勾股定理、等边三角形的判定和性质、两点之间线段最短 等知识,正确找出辅助线是解题的关键,注意旋转变换的性质的正确运用. 8.(2023·江苏苏州·校考二模)如图,在 中, .如果在三角 形内部有一条动线段 ,且 ,则 的最小值为________.【答案】 【分析】在 上取一点 ,使得 ,连接 ,如图所示,首先证明 ,将 绕点 顺时针旋转 得到 ,连接 ,过点 作 交 的延长线于 ,证明 ,求出 可得结论. 【详解】解:在 上取一点 ,使得 ,连接 ,如图所示: , , 四边形 是平行四边形, , , 将 绕点 顺时针旋转 得到 ,连接 ,过点 作 交 的延长线于 ,如图所 示: , , 是等边三角形, , , , , , , , , , , , , , , , , ,, 的最小值为 ,故答案为: . 【点睛】本题考查解直角三角形的应用,旋转变换,两点之间线段最短等知识,解题的关键是学会利用旋 转法添加辅助线,构造全等三角形解决问题,属于中考填空题中的压轴题. 9.(2023·广东·九年级专题练习)如图,四边形ABCD是正方形,△ABE是等边三角形,M为对角线BD (不含B点)上任意一点,将BM绕点B逆时针旋转60°得到BN,连接EN、AM、CM. (1)求证: ;(2)①当M点在何处时,AM+CM的值最小; ②当M点在何处时,AM+BM+CM的值最小,并说明理由; (3)当AM+BM+CM的最小值为 时,求正方形的边长. 【答案】(1)见解析 (2)①BD的中点,②BD与CE的交点处,见解析 (3) 【分析】(1)根据等边三角形的性质,得出∠BMA=∠NBE,然后即可证明 , (2)①根据两点之间线段最短可知当M点落在BD的中点时,根据“两点之间线段最短”,得EN+MN+ CM=EC最短,②连接CE,当M点位于BD与CE的交点处时,AM+BM+CM的值最小, (3)过E点作EF⊥BC交CB的延长线于F, 设正方形的边长为x,,根据含30度角的直角三角形的性质, 勾股定理,得出BF= x,EF= ,在Rt△EFC中,勾股定理建立方程,解方程即可求解. (1)解:∵△ABE是等边三角形,∴BA=BE,∠ABE=60°. ∵∠MBN=60°,∴ .即∠BMA=∠NBE. 又∵MB=NB,∴ (SAS) (2)①∵ ,∴当M点落在BD的中点时,AM+CM的值最小 ②如图,连接CE,当M点位于BD与CE的交点处时,AM+BM+CM的值最小 理由如下:连接MN.由(1)知, ,∴AM=EN. ∵∠MBN=60°,MB=NB,∴△BMN是等边三角形.∴BM=MN. ∴AM+BM+CM=EN+MN+CM根据“两点之间线段最短”,得EN+MN+CM=EC最短 ∴当M点位于BD与CE的交点处时,AM+BM+CM的值最小,即等于EC的长 (3)过E点作EF⊥BC交CB的延长线于F, ∴ .设正方形的边长为x,则BF= x,EF= . 在Rt△EFC中,∵ ,∴ , 解得, (舍去负值).∴正方形的边长为 , 【点睛】本题考查了正方形的性质,勾股定理,含30度角的直角三角形的性质,等边三角形的性质,全等 三角形的性质与判定,解一元二次方程,掌握以上知识是解题的关键. 10.(2023春·江苏·八年级专题练习)问题提出 (1)如图,点 、 是直线 外两点,在直线 上找一点 ,使得 最小. 问题探究(2)在等边三角形 内有一点 ,且 , , ,求 度数的大小. 问题解决(3)如图,矩形 是某公园的平面图, 米, 米,现需要在对角线 上修一 凉亭 ,使得到公园出口 、 , 的距离之和最小.问:是否存在这样的点 ?若存在,请画出点 的 位置,并求出 的和的最小值;若不存在,请说明理由. 【答案】(1)见解析 (2) (3)对角线 上不存在这样的点 ,使得到公园出口 、 , 的距离之和最小,理由见解析【分析】(1)根据两点间线段距离最短,连接点 ,与直线 交于点 ,点 即为所求.; (2)把 绕点 逆时针旋转 得到 ,由旋转的性质可知 是等边三角形,从而得到 ,由勾股定理逆定理可知 ,从而求得 ,即可求解; (3)连接 ,设在 内一点 ,把 绕点 逆时针旋转 得到 , ,由旋转的性质, 、 是等边三角形,根据两点间线段距离最短,可得当 时最短,从而得到 最小值为 的长,点 为 、 的交点,即可求解. 【详解】(1)解:如图1,连接点 ,与直线 交于点 ,点 即为所求. (2)解:如图2,把 绕点 逆时针旋转 得到 , 由旋转的性质, , , , 是等边三角形, , , , , , , ;故 ; (3)解:如图,连接 ,设在 内一点 ,把 绕点 逆时针旋转 得到 , 由旋转的性质, , , , , , , 、 是等边三角形, , , 根据两点间线段距离最短得:当 时最短, 是等边三角形, 以 为一边作等边三角形 , 最小值为 的长,此时点 在线段 上, 点 为 、 的交点. 若点 与点 重合,即 在对角线 上,则点 为 与 的交点,此时点 (E)与点 重合, 显然不符合题意,故点 不在对角线 上, 即对角线 上不存在这样的点 ,使得到公园出口 、 , 的距离之和最小. 【点睛】本题是四边形综合题,主要考查了旋转知识、三角形全等、特殊角直角三角形、等边三角形的性 质和勾股定理,熟练掌握旋转知识构建全等三角形是解题的关键. 11.(2023·重庆綦江·九年级期末)如图,在菱形ABCD中,∠ABC=60°,点E、F分别是AB、BC上的动点,连接DE、DF、EF.(1)如图1,连接AF,若AF⊥BC,E为AB的中点,且EF=5,求DF的长; (2)如图2,若BE=BF,G为DE的中点,连接AF、AG、FG,求证:AG⊥FG; (3)如图3,若AB=7,将△BEF沿EF翻折得到△EFP(始终保持点P在菱形ABCD的内部),连接AP、 BP及CP,请直接写出当PA+PB+PC值最小时PB的长. 【答案】(1) (2)证明见解析(3) 【分析】(1)法一:如图1,过点D作DG⊥BC交BC的延长线于G,四边形ABCD为菱形,∠ABC= 60°, ,在 中, ,E为AB的中点,AF⊥BC,BF=EF = BC,CG= CD,DG= CG,FG=CF+CG,在 中,DF= ,进而求出DF;法 二:四边形ABCD为菱形,∠ABC=60°, , ,AF⊥BC则∠AFB=90°,在 中 , , , 是 的中点, , 是等边三角形,可 知EF=BE= AB, ,AF=5 ,在 中, DF= ,进而求出DF; (2)法一:如图2,延长AG交CD于H,连接AC,FH;由四边形ABCD为菱形知AB=BC=CD, ∠ABC=∠ADC=60°,AB∥CD,∠AEG=∠HDG,G为DE的中点有EG=DG,得△AEG≌△HDG,AG= HG,AE=DH,BE=BF,∠ABC=60°,△BEF为等边三角形,有FC=DH,AC=AD, ,知△AFC≌△AHD,AH=AF,同理 ABF≌△ACH,∠BAF=∠CAH,∠FAH= △ ∠FAC+∠CAH=∠FAC+∠BAF=∠BAC=60°,△AFH是等边三角形,AG=HG,进而说明AG⊥FG.法二: 如图4,延长AG交CD于H,连接FH,四边形ABCD是菱形,有AB=CD,AB∥CD,∠ABC=60°,∠BCD=120°知∠EAG=∠DHG,∠AEG=∠HDG,点G是DE中点,EG=DG,由 ,知 △AEG≌△HDG,AG=HG,AE=DH,BE=CH,BE=BF,∠ABC=60°知△BEF是等边三角形,有∠BEF =60°,EF=BE,∠AEF=120°,∠AEF=∠FCH,EF=CH,由 ,得△AEF≌△FCH,有AF =HF,AG=HG,进而说明FG⊥AG; (3)解:如图a,在 ABC中,P为其中任意一点.连接AP,BP,得到 ABP.以点B为旋转中心,将 ABP逆时针旋转 60△°,得到 EBD,BD=BP,△DBP 为一个等边三角形△,有PB=PD,当E、D、P、C △四点共线时,PA+PB+PC最小△;如图3,当B、P、G、D四点共线时,PA+PB+PC值最小,最小值为BD. 将 APC绕点C顺时针旋转60°,得到 DGC,知△APC≌△DGC,CP=CG,∠PCG=60°,△PCG是等边 △ △ 三角形,PG=CG=CP,∠GPC=∠CGP=60°;菱形ABCD中,∠ABP=∠CBP= ∠ABC=30°,∠PCB =∠GPC﹣∠CBP=60°﹣30°=30°,∠PCB=∠CBP=30°,BP=CP,同理DG=CG,BP=PG=GD,连接 AC,交BD于点O,则AC⊥BD,在Rt BOC中,∠BOC=90°,∠OBC=30°,BC=7,得OC、BO的值, △ BD=2BO,BP= BD,可求得BP的值. (1)解:法一:如图1,过点D作DG⊥BC交BC的延长线于G, ∵四边形ABCD为菱形,∠ABC=60° ∴ , ∴ ∵AF⊥BC∴∠AFB=90°, ∴∴ BEF为等边三角形∴BF=EF= BC∴CF=EF=5 △ 在 中, ∴CG= CD=5,DG= CG=5 ∵FG=CF+CG=10∴DF= =5 法二:∵四边形ABCD为菱形,∠ABC=60°∴ , ∵AF⊥BC∴∠AFB=90° 在 中 , ∵ 是 的中点 ∴ ∵ ∴ 是等边三角形 ∵EF=5,EF=BE= AB ∴ ∴AF=5 在 中, DF= =5 ∴ 的值为 . (2)证明:法一:如图2,延长AG交CD于H,连接AC,FH, ∵四边形ABCD为菱形∴AB∥CD,AB=BC=CD,∠ABC=∠ADC∴∠AEG=∠HDG, ∵G为DE的中点,∴EG=DG, 在 AEG和 HDG中, ,∴△AEG≌△HDG,∴AG=HG,AE=DH, △ △ ∵BE=BF,∠ABC=60°∴△BEF为等边三角形 ∴BE=BF=EF,∴FC=DH,AC=AD 在 AFC和 AHD中, ,∴△AFC≌△AHD ∴AH=AF △ △ 同理: ABF≌△ACH∴∠BAF=∠CAH ∴∠FAH△=∠FAC+∠CAH=∠FAC+∠BAF=∠BAC=60°,∴△AFH是等边三角形∵AG=HG∴AG⊥FG. 法二:如图4 延长AG交CD于H,连接FH, ∵四边形ABCD是菱形,∴AB=CD,AB∥CD, ∵∠ABC=60°∴∠BCD=120°∴∠EAG=∠DHG,∠AEG=∠HDG,∵点G是DE中点,∴EG=DG, 在 AEG和 HDG中, ,∴△AEG≌△HDG∴AG=HG,AE=DH∴BE=CH, △ △ ∵BE=BF,∠ABC=60°∴△BEF是等边三角形 ∴∠BEF=60°,EF=BE∴∠AEF=120°∴∠AEF=∠FCH,EF=CH 在 AEF和 FCH中, ∴△AEF≌△FCH∴AF=HF ∵AG=HG∴FG⊥AG △ △ (3)解:如图a 在 ABC中,P为其中任意一点.连接AP,BP,得到 ABP. 以点B为旋转中心,将△ ABP逆时针旋转 60°,得到 EBD △ ∴BD=BP,∴△DBP 为△一个等边三角形∴PB=PD △ ∴PA+PB+PC=DE+PD+PC∴当E、D、P、C 四点共线时,为PA+PB+PC最小. 如图3,当B、P、G、D四点共线时,PA+PB+PC值最小,最小值为BD. ∵将 APC绕点C顺时针旋转60°,得到 DGC,∴△APC≌△DGC,∴CP=CG,∠PCG=60°, ∴△P△CG是等边三角形,∴PG=CG=CP△,∠GPC=∠CGP=60°. ∵菱形ABCD中,∠ABP=∠CBP= ∠ABC=30°,∴∠PCB=∠GPC﹣∠CBP=60°﹣30°=30°, ∴∠PCB=∠CBP=30°,∴BP=CP,同理,DG=CG,∴BP=PG=GD. 连接AC,交BD于点O,则AC⊥BD.在Rt BOC中,∵∠BOC=90°,∠OBC=30°,BC=7, △ ∴OC= ,∴BO= ∴BD=2BO= ,∴BP= BD= 即当PA+PB+PC值最小时PB的长为 . 【点睛】本题考查了菱形,特殊的直角三角形,勾股定理,全等三角形,等腰三角形,和的最值,旋转, 二次根式等知识点.解题的关键是灵活综合运用菱形的性质,旋转等知识. 12.(2023·绵阳市·九年级专题练习)如图:(1)如图1,已知锐角△ABC的边BC=3,S ABC=6,点M为 △ △ABC内一点,过点M作MD⊥BC交BC于点D,连接AM,则AM+MD的最小值为 . (2)如图2.点P是正方形ABCD内一点,PA=2,PB= ,PC=4.求∠APB的度数. (3)如图3,在长方形ABCD中,其中AB=600,AD=800点P是长方形内一动点,且S ABC=2S PBC,点 △ △ Q为△ADP内的任意﹣点,是否存在一点P和一点Q.使得AQ+DQ+PQ有最小值?若存在,请求出此时 PQ的长度,若不存在,请说明理由. 【答案】(1)4(2)135°(3)存在,PQ的长度为 【分析】(1)过A作AE⊥BC于E,则S ABC= BC•AE=6,求出AE=4,由垂线段最短即可得出结果; △ (2)把△ABP绕点B顺时针旋转90°得△CBQ,连接PQ,则∠PBQ=90°,∠APB=∠CQB,易证△BPQ 是等腰直角三角形,得出∠BQP=45°,PQ=2 ,再由勾股定理的逆定理证得△PCQ是直角三角形, ∠PQC=90°,即可得出结果;(3)过点P作EF AD交AB于点E、交CD于点F,将△ADQ绕点A逆时 针旋转60°,得△AD′Q′,连接DD′,QQ′,D′P,设D′P交AD于点G,则△ADD′、△AQQ′都是等边三角形, 由S PAD=2S PBC,可得AE=2BE,进而求得AE=400,当D′P⊥EF时,D′P取最小值,运用勾股定理即 △ △ 可求答案. (1)解:如图1,过A作AE⊥BC于E,则S△ABC= BC•AE= ×3×AE=6,∴AE=4, ∵MD⊥BC,∴当A、M、D三点共线时,AM+MD的值最小=AE=4,故答案为:4;(2)∵点P是正方形ABCD内一点,∴把△ABP绕点B顺时针旋转90°得△CBQ,连接PQ,如图2所示: 则∠PBQ=90°,∠APB=∠CQB,QC=PA=2,QB=PB= ,∴△BPQ是等腰直角三角形, ∴∠BQP=45°,PQ= PB= × =2 ,∵QC2+PQ2=22+(2 )2=16,PC2=42=16, ∴QC2+PQ2=PC2,∴△PCQ是直角三角形,∠PQC=90°, ∴∠CQB=∠PQC+∠BQP=90°+45°=135°,∴∠APB=135°; (3)存在一点P和一点Q,使得AQ+DQ+PQ有最小值,理由如下: 如图3,过点P作EF AD交AB于点E、交CD于点F,将△ADQ绕点A逆时针旋转60°,得△AD′Q′,连 接DD′、QQ′、D′Q、D′P,设D′P交AD于点G,则△ADD′、△AQQ′都是等边三角形,D′Q′=DQ, ∴AQ=QQ′,∵Q′Q+D′Q′≥D′Q,即AQ+DQ≥D′Q,D′Q+PQ≥D′P,∴AQ+DQ+PQ≥D′P, ∴当P、Q、Q′、D′在同一条直线上时,AQ+DQ+PQ有最小值,最小值为D′P,在长方形ABCD中,AB =600,AD=800,∴BC=AD=800,AD∥BC,∠ABC=∠BCD=∠BAD=90°,∴EF∥BC, ∵S PAD=2S PBC,∴ AD•AE=2× BC•BE,∴AE=2BE,∴AE= AB=400, △ △ ∵点P在EF上,∴当D′P⊥EF时,D′P取最小值, ∵AD EF,∴D′P⊥AD,∵△ADD′是等边三角形,∴AD′=AD=800,AG= AD=400,∠AGD′=90°, ∴D′G= ,∵∠EAG=∠AEP=∠EPG=90°,∴四边形AEPG是矩形, ∴GP=AE=400,∴D′P=D′G+GP=400 +400,∴AQ+DQ+PQ的最小值为400 +400, ∵△AQQ′是等边三角形,AD⊥QQ′,∴∠GAQ=30°,AQ=2GQ,在Rt△AGQ中,AG2+GQ2=AQ2,∴4002+GQ2=(2GQ)2,解得:GQ= , ∴PQ=GP−GQ= . 【点睛】本题考查了等边三角形判定与性质、正方形的性质、矩形的性质、旋转的性质、等腰直角三角形 的判定与性质、勾股定理、勾股定理逆定理、点到直线的距离垂线段最短、三角形面积计算等知识,解题 关键是通过旋转确定线段和取最小值的位置. 13.(2022·河南南阳·统考三模)【发现奥秘】 (1)如图1,在等边三角形 中, ,点E是 内一点,连接 ,分别将 绕点 C顺时针旋转60°得到 ,连接 .当B,E,F,D四个点满足______时, 的 值最小,最小值为_______. 【解法探索】(2)如图2,在 中, ,点P是 内一点,连接 ,请 求出当 的值最小时 的度数,并直接写出此时 的值.(提示:分别将 绕点C顺时针旋转60°得到 ,连接 ) 【拓展应用】(3)在 中, ,点P是 内一点,连接 , 直接写出当 的值最小时, 的值. 【答案】(1)四点共线, (2) 的值最小时 ,此时 (3) 【分析】(1)证明 得到 进而得到B,E,F,D四个点满足四点共线时, 的值最小为 ,再由等边△ 及 求出 的长;(2)同(1)中思路证明 得到 ,当B,P,D,E四点共线时, 的值 最小为 ;进一步得到 , 即可求出 ,再过点C作 于点F,利 用 即可求出 的值;(3)同(2)中思路即可求解. 【详解】(1)解:由旋转的性质,可知 , , , ∴ ,∴ ,∴ ,且 ,∴ , ∴当B,E,F,D四点共线时, 的值最小为 ,如图所示: 连接AC,设AC与BD交于点O,∵ABCD为菱形,∴AC⊥BD,∵△ABC为等边三角形,∴∠OCB=60°, ∴ ,此时 . (2)解:由旋转的性质,可知 , , , ∴ ,∴ , ∴ ,且 均为等边三角形, ,∴ , ∴当B,P,D,E四点共线时, 的值最小,如图1所示. ∵ 均为等边三角形,∴ , ∵ ,∴ .∴ ,∴ , ∴当B,P,D,E四点共线时, 的值最小,此时 ; 过点C作 于点F,如图1所示.∵ ,∴ 是线段 的中垂线,∴C,P,F三点共线, ∴ , 设 ,则 .∴ ,∴ . (3)解:分别将 绕点C顺时针旋转60°得到 ,连接 , 过点E作 ,交BC的延长线于点F,如图2所示: 由(2)可知,当B,P,D,E四点共线时, 的值最小,此时 , 由(2)知: ,∴ , ∵ ,∴ ,∴ .∴ , ∴在 中由勾股定理得到 , 过点C作 ,垂足为G,如图2所示. ∵ ,∴ , ∴ ,∴ , ∴在 中由勾股定理得到 , ∴ , ∴ ,∴ . 【点睛】本题考查了图形旋转的性质、三角形全等的判定方法、勾股定理求线段长等知识点,本题综合性 强,难度大,需要根据题意做出合适的辅助线,属于中考常考压轴题. 14.(2023·山东九年级课时练习)如图,四边形ABCD是正方形,△ABE是等边三角形,M为对角线BD上任意一点,将BM绕点B逆时针旋转60°得到BN,连接BN、AM、CM. (1)求证:△AMB≌△ENB;(2)若正方形的边长为 ,正方形内是否存在一点P,使得PA+PB+PC 的值最小?若存在,求出它的最小值;若不存在,说明理由. 【答案】(1)见解析;(2)存在, 【分析】(1)由四边形ABCD为正方形,△ABE为等边三角形,可得BE=BA,BA=BC,∠ABE=60°, 再由∠MBN=60°,可推出∠MBA=∠NBE,由此即可证明; (2)将△BPC顺时针旋转60度得到 ,过点F作FM⊥AB交AB延长线于M,可以推出当AP,PE, EF在一条直线上,即如下图:可得最小PA+PB+PC=AF,由此求解即可. 【详解】解:(1)由旋转的性质可得BN=BM, 如图1,∵四边形ABCD为正方形,△ABE为等边三角形,∴BE=BA,BA=BC,∠ABE=60°; ∵∠MBN=60°,∴∠MBN=∠ABE,∴∠MBA=∠NBE; 在△AMB与△ENB中, ,∴△AMB≌△ENB(SAS); (2)将△BPC顺时针旋转60度得到 ,过点F作FM⊥AB交AB延长线于M, ∴ , ,PC=EF,∠PBC=∠EBF,BC=BF ∴ 为等边三角形, 即得PA+PB+PC=AP+PE+EF要使最小只要AP,PE,EF在一条直线上,即如下图:可得最小PA+PB+PC=AF.∵四边形ABCD是正方形,∴∠ABC=90°,AB=BC=BF, ∴∠ABF=∠ABC+∠CBF=150°∴∠BAF=∠AFB=15°,∴∠MBF=∠BAF+∠AFB=30° ∴ ,∴ , ∴ ,∴ . 【点睛】本题主要考查了等边三角形的性质与判定,旋转的性质,勾股定理,正方形的性质,含30度角的 直角三角形的性质,全等三角形的判定,解题的关键在于能够熟练掌握相关知识进行求解. 15.(2023春·江苏·八年级校考周测)如图①,四边形 是正方形, 是等边三角形,M为对角 线 (不含B点)上任意一点,将 绕点B逆时针旋转 得到 ,连接 . (1)求证: ;(2)如图1,当M点在何处时, 的值最小.(3)如图2,在 中, , , .若点 是 内一点,直接写出 的最小值. 【答案】(1)见解析(2)当E,N,M,C在同一直线上时(3) 【分析】(1)由 是等边三角形得到 ,又由 得 ,由 ,即可证明 ;(2)连接 ,当M点位于 与 的交点处时, 的 值最小,连接 ,由(1)得 则 ,再证 是等边三角形, , ,根据两点之间线段最短,即可得到结论;(3)以点A为旋转中心,顺 时针旋转 到 ,旋转角是 ,连接 、 ,证明 是等边三角形, ,证得当 , , , 四点共线时, 最小,最小值就是 的值,再求得 的值即可. 【详解】(1)解:∵ 是等边三角形,∴ , ∵ ,∴ ,∴ ,∵ ,∴ ; (2)连接 ,当M点位于 与 的交点处时, 的值最小,连接 ,由(1)得 ,∴ ,∴ , ∴ 是等边三角形,∴ ,∴ , 根据两点之间线段最短,当点 在同一条直线上时, 取最小值,最小值为 . (3)以点 为旋转中心,顺时针旋转 到 ,旋转角是 ,连接 、 ,如图所示, 则 , , , 是等边三角形, , , , 当 , , , 四点共线时, 最小,最小值就是 的值, , , , , , , , . 【点睛】此题考查了等边三角形的判定和性质、旋转的性质、勾股定理、全等三角形的判定和性质、最短 路径等知识,熟练掌握等边三角形的判定和旋转的性质是解题的关键. 15.(2023·重庆·九年级校联考期中)如图,菱形 中, 是对角线. (1)如图①若 , ,求菱形 的面积; (2)如图②, 、 分别是 、 上一点,连结 ,过点 作 于点 ,过点 作 于点 ,交 于点 ,且 .求证: (3)如图③,若 ,且点 是 内任意一点,求 的最小值.【答案】(1) ;(2)证明见解析;(3) . 【分析】(1)过B作BE⊥AD于E由菱形 中, 是对角线.AD=AB=8,可得∠BAC=∠DAC,由 ,可求∠BAE=2 ,利用余角性质∠ABE=30°由30°角直角三角形性质可求AE ,由勾 股定理得: ,利用面积公式求S =AD•BE= ; 菱形 (2)如答图②,过点 作 于点 ,由GC=GF,GM⊥CF,由等腰 三线合一,得出 , ,由CP⊥CF,可推出∠PCF=∠MGF, ,由 可得 利用和差可求 ,由 ,可求 由 ,可得GM∥H, 在Rt HND中,由勾 △ 股定理得 ,可证 GCM≌△CHN(AAS)可推得 ; △ (3)四边形ABCD为菱形,且BD=AB=10推得 ABD与 CBD都是等边三角形,点P为是 内任意一 点, 以B点为旋转中心,将 ABP顺时针旋转△60°得 D△AH,连结CH,可证 PBD≌△HBC(SAS),PD=CH, 可知PA+PB+PD=AP+PH+CH≥AC△,当点A、P、H、四点△共线时最短为AC,由勾△股定理得AE= 即可. 【详解】解:(1)过B作BE⊥AD于E, ∵菱形 中, 是对角线.AD=AB=8,∴∠BAC=∠DAC, ∵ ,∴∠BAE=2 ,∴∠ABE=90°-∠BAE=90°-60°=30°,∴AE= , 由勾股定理得: ,S =AD•BE=8× = ; 菱形 答图② (2)如答图②过点 作 于点 ,∵GC=GF,GM⊥CF, 由等腰 三线合一,得出 , , ∵CP⊥CF,∴∠PCF+∠CFP=90°, ∵∠MGF+∠GFM=90°,∴∠PCF=∠MGF,∴ , ∵ ,∴ ∴ , ∵ ,∴ , ∵ ,∴GM∥HN, , 在Rt△HND中,由勾股定理得 ,∴ , ∵GC=CH,∠GMC=∠CNH=90°,∠CGM=∠HCN, ∴△GCM≌△CHN(AAS),∴ , , ∴ ; (3)四边形ABCD为菱形,且BD=AB=10,∴△ABD与△CBD都是等边三角形, 点P为是 内任意一点,以B点为旋转中心,将△ABP顺时针旋转60°得△DAH,连结CH, ∴BP=BH,∠PBH=∠ABD=60°,∴∠PBD+∠DBH=60°,∠DBH+∠HBC=60°,∴∠PBD=∠HBC, ∵BD=BC,∴△PBD≌△HBC(SAS),∴PD=CH,∴PA+PB+PD=AP+PH+CH≥AC,当点A、P、H、四点共线时最短为AC,设AC与BD交于E,则AC=2AE,BE=DE=5, 在Rt△ABE中,由勾股定理得AE= , ∴AC=2AE=10 ,∴PA+PB+PD最小值为 . 【点睛】本题考查菱形性质,直角三角形性质,勾股定理,平行四边形面积公式,等腰直角三角形三角形 全等判定与性质,图形旋转变换,关键是利用旋转引辅助线作出准确的图形是解题关键. 16.(2023上·福建龙岩·九年级校联考期中)如图,在等边三角形 内有一点 . (1)若 , , ,求 的度数;(2)若等边三角形边长为 ,求 的最小值; (3)如图,在正方形 内有一点 ,且 , , ,求正方形 的边长. 【答案】(1) ,(2) (3) 【分析】(1)将线段 绕点 逆时针旋转 得到线段 ,连结 、 ,则 , 得到 , , , ,证得 是等边三角形,求出 , ,根据勾股定理逆定理证得 是直角三角形, ,即可求出 ;(2)根据(1)的方法将 绕点 顺时针旋 转 得到 ,再将 绕点 顺时针旋转 得到 ,则 ,当 四点共 线时, 取得最小值,即 的长,勾股定理,即可求解. (3)如图,延长 ,过点 作 于 ,得到 ,求出 ,勾股定理求出 即可. 【详解】(1)解: 如图所示,将线段 绕点 逆时针旋转 得到线段 ,连接 、 , , , , , , 是等边三角形, , , , 是直角三角形, , , , (2)解:如图所示,将 绕点 顺时针旋转 得到 , 则 , , ,则 是等边三角形, , 再将 绕点 顺时针旋转 得到 ,则 , , , 当 四点共线时, 取得最小值,即 的长,设 , 交于点 , , , , , 在 中, ,即 的最小值为 ; (3)如图,将 绕点 逆时针旋转 ,得到 , , , , , , 是等腰直角三角形, , , , 是直角三角形, , 如图,延长 ,过点 作 于 ,则 ,, , , , , ,即正方形的边长为 . 【点睛】此题考查了等边三角形的性质,旋转的性质,全等三角形的判定与性质,正方形的性质,勾股定 理及其逆定理,熟练掌握旋转的性质是解题的关键.