当前位置:首页>文档>江苏省无锡市江阴市普通高中2022-2023学年高三上学期阶段测试(期末)数学试卷(解析版)_2.2025数学总复习_2023年新高考资料_3数学高考模拟题_新高考

江苏省无锡市江阴市普通高中2022-2023学年高三上学期阶段测试(期末)数学试卷(解析版)_2.2025数学总复习_2023年新高考资料_3数学高考模拟题_新高考

  • 2026-04-15 20:57:18 2026-03-22 06:01:26

文档预览

江苏省无锡市江阴市普通高中2022-2023学年高三上学期阶段测试(期末)数学试卷(解析版)_2.2025数学总复习_2023年新高考资料_3数学高考模拟题_新高考
江苏省无锡市江阴市普通高中2022-2023学年高三上学期阶段测试(期末)数学试卷(解析版)_2.2025数学总复习_2023年新高考资料_3数学高考模拟题_新高考
江苏省无锡市江阴市普通高中2022-2023学年高三上学期阶段测试(期末)数学试卷(解析版)_2.2025数学总复习_2023年新高考资料_3数学高考模拟题_新高考
江苏省无锡市江阴市普通高中2022-2023学年高三上学期阶段测试(期末)数学试卷(解析版)_2.2025数学总复习_2023年新高考资料_3数学高考模拟题_新高考
江苏省无锡市江阴市普通高中2022-2023学年高三上学期阶段测试(期末)数学试卷(解析版)_2.2025数学总复习_2023年新高考资料_3数学高考模拟题_新高考
江苏省无锡市江阴市普通高中2022-2023学年高三上学期阶段测试(期末)数学试卷(解析版)_2.2025数学总复习_2023年新高考资料_3数学高考模拟题_新高考
江苏省无锡市江阴市普通高中2022-2023学年高三上学期阶段测试(期末)数学试卷(解析版)_2.2025数学总复习_2023年新高考资料_3数学高考模拟题_新高考
江苏省无锡市江阴市普通高中2022-2023学年高三上学期阶段测试(期末)数学试卷(解析版)_2.2025数学总复习_2023年新高考资料_3数学高考模拟题_新高考
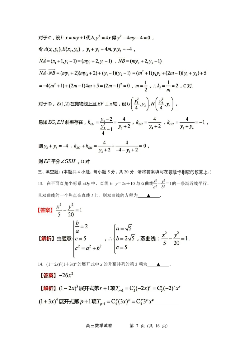
江苏省无锡市江阴市普通高中2022-2023学年高三上学期阶段测试(期末)数学试卷(解析版)_2.2025数学总复习_2023年新高考资料_3数学高考模拟题_新高考
江苏省无锡市江阴市普通高中2022-2023学年高三上学期阶段测试(期末)数学试卷(解析版)_2.2025数学总复习_2023年新高考资料_3数学高考模拟题_新高考
江苏省无锡市江阴市普通高中2022-2023学年高三上学期阶段测试(期末)数学试卷(解析版)_2.2025数学总复习_2023年新高考资料_3数学高考模拟题_新高考
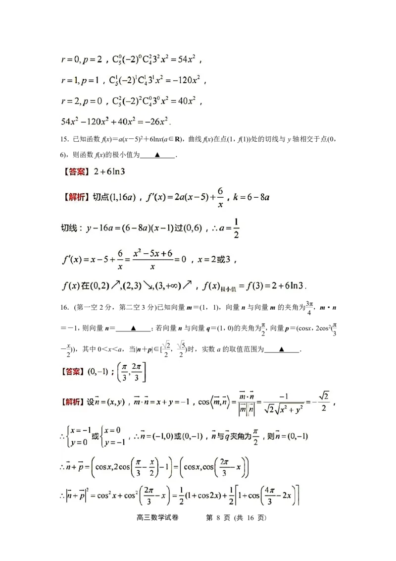
江苏省无锡市江阴市普通高中2022-2023学年高三上学期阶段测试(期末)数学试卷(解析版)_2.2025数学总复习_2023年新高考资料_3数学高考模拟题_新高考
江苏省无锡市江阴市普通高中2022-2023学年高三上学期阶段测试(期末)数学试卷(解析版)_2.2025数学总复习_2023年新高考资料_3数学高考模拟题_新高考
江苏省无锡市江阴市普通高中2022-2023学年高三上学期阶段测试(期末)数学试卷(解析版)_2.2025数学总复习_2023年新高考资料_3数学高考模拟题_新高考
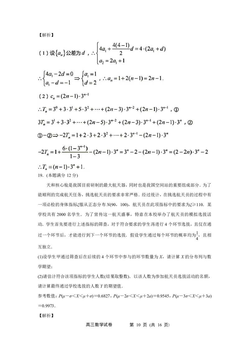
江苏省无锡市江阴市普通高中2022-2023学年高三上学期阶段测试(期末)数学试卷(解析版)_2.2025数学总复习_2023年新高考资料_3数学高考模拟题_新高考
江苏省无锡市江阴市普通高中2022-2023学年高三上学期阶段测试(期末)数学试卷(解析版)_2.2025数学总复习_2023年新高考资料_3数学高考模拟题_新高考

文档信息

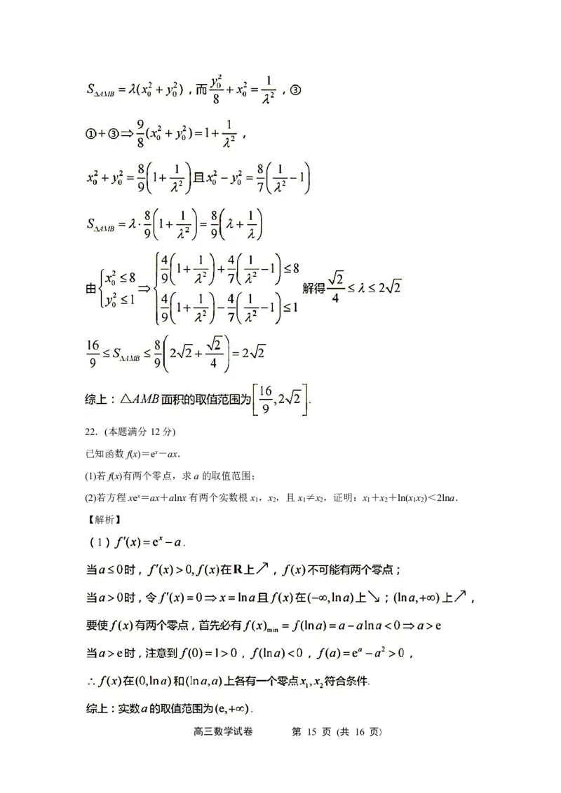
文档格式
pdf
文档大小
1.704 MB
文档页数
16 页
上传时间
2026-03-22 06:01:26

文档内容

江阴市普通高中 年秋学期高三阶段测试卷 2022 数 学 2023.1 注意事项及说明:本卷考试时间为120分钟,全卷满分为150分. 一、单项选择题:(本题共8小题,每小题5分,共40分.在每小题给出的四个选项中,只 有一项符合题目要求.请将答案填写在答 . 题 . 卡 . 相 . 应 . 的 . 位 . 置 . 上 . .) 1.已知全集U=R,集合A={x|x-1>0},B={x|0<x<2},则(C A)∩B=( ▲ ) R A.{x|0<x≤1} B.{x|x≤2} C.{x|x≤1} D.{x|1≤x<2} 2.已知i为虚数单位,复数z=(2+i3)(1+ai)为纯虚数,则|z|=( ▲ ) 1 A.0 B. C.2 D.5 2 3.给出下列四个命题,其中正确命题为( ▲ ) A.a>b是3a>3b的充分不必要条件 B.α>β是cosα<cosβ的必要不充分条件 C.a=0是函数f(x)=x3+ax2(x∈R)为奇函数的充要条件 D.f(2)<f(3)是函数f(x)= x在[0,+∞)上单调递增的既不充分也不必要条件 则a=0,则为充要条件,故答案选C. 高三数学试卷 第 1 页 (共 16 页)4.为了给热爱朗读的师生提供一个安静独立的环境,某学校修建了若干“朗读亭”.如图 所示,该朗读亭的外形是一个正六棱柱和正六棱锥的组合体,正六棱柱两条相对侧棱所在的 轴截面为正方形,若正六棱锥与六棱柱的高的比值为1:3,则正六棱锥与正六棱柱的侧面 积之比为( ▲ ) 7 43 1 1 A. B. C. D. 8 24 9 27 3x-3-x 5.函数f(x)= 的图象大致为( ▲ ) x2 A B C D 高三数学试卷 第 2 页 (共 16 页)6.已知一个等比数列的前n项,前2n项,前3n项的和分别为P,Q,R,则下列等式正确 的是( ▲ ) A.P+Q=R B.Q2=PR C.(P+Q)-R=Q2 D.P2+Q2=P(Q+R) 7.在平面直角坐标系xOy中,若满足x(x-k)≤y(k-y)的点(x,y)都在以坐标原点为圆心,2 为半径的圆及其内部,则实数k的取值范围是( ▲ ) A.-2 2≤k≤2 2 B.- 2≤k≤ 2 C.-2 2≤k≤ 2 D.[- 2,0)∪(0, 2] π 1 8.设a= ,b=cos1,c=sin ,这三个数的大小关系为( ▲ ) 6 3 A.a<b<c B.c<b<a C.c<a<b D.a<c<b 【答案】C 高三数学试卷 第 3 页 (共 16 页)二、多项选择题:(本题共4小题,每小题5分,共20分.在每小题给出的选项中,有多项 符合题目要求.全部选对得5分,部分选对得2分,有选错得0分.请将答案填写在答 . 题 . 卡 . 相 . 应 . 的 . 位 . 置 . 上 . .) 9.若x>0,y>0,且xy-(x+y)=1,则下列结论正确的是( ▲ ) A.x+y≥2( 2+1) B.xy≥( 2+1)2 C.x+y≤( 2+1)2 D.xy≤2( 2+1) 10.已知一只钟表的时针OA与分针OB长度分别为3和4,设0点为0时刻,△OAB的面 积为S,时间t(单位:时),则以下说法中正确的选项是( ▲ ) π A.时针OA旋转的角速度为- rad/h 6 B.分针OB旋转的角速度为2πrad/h 5 C.一小时内(即t∈[0,1)时),∠AOB为锐角的时长是 h 11 D.一昼夜内(即t∈[0,24)时),S取得最大值为44次 高三数学试卷 第 4 页 (共 16 页)11.甲箱中有5个红球,2个白球和3个黑球,乙箱中有4个红球,3个白球和3个黑球, 先从甲箱中随机取出一球放入乙箱,分别以A ,A 和A 表示由甲箱取出的球是红球,白球 1 2 3 和黑球的事件;再从乙箱中随机取出一球,以B表示由乙箱取出的球是红球的事件,则下 列结论正确的是( ▲ ) 8 A.事件B与事件A(i=1,2,3)相互独立 B.P(A B)= i 1 45 1 6 C.P(B)= D.P(A |B)= 2 3 31 高三数学试卷 第 5 页 (共 16 页)12.已知P为抛物线C:y2=2px(p>0)上的动点,Q(4,-4)在抛物线C上,过抛物线C的 焦点F的直线l与抛物线C交于A,B两点,M(4,-3),N(-1,1),则( ▲ ) A.|PM|+|PF|的最小值为5 B.若线段AB的中点为M.则 NAB的面积为2 2 C.若NA⊥NB,则直线的斜率为△ 2 D.过点E(1,2)作两条直线与抛物线C分别交于点G,H,满足直线GH的斜率为-1,则 EF平分∠GEH 高三数学试卷 第 6 页 (共 16 页)三、填空题:(本题共4小题,每小题5分,共20分.请将答案填写在答 . 题 . 卡 . 相 . 应 . 的 . 位 . 置 . 上 . .) x2 y2 13.在平面直角坐标系xOy中,直线l:y=2x+10与双曲线 - =1的一条渐近线平行, a2 b2 且双曲线的一个焦点在直线l上,则双曲线的方程为 ▲ . 14.(1-2x)5(1+3x)4的展开式中x的升幂排列的第3项为 ▲ . 高三数学试卷 第 7 页 (共 16 页)15.已知函数f(x)=a(x-5)2+6lnx(a∈R),曲线f(x)在点(1,f(1))处的切线与y轴相交于点(0, 6),则函数f(x)的极小值为 ▲ . 3π 16.(第一空2分,第二空3分)已知向量m=(1,1),向量n与向量m的夹角为 ,m·n 4 π π =-1,则向量n= ▲ ;若向量n与向量q=(1,0)的夹角为 ,向量p=(cosx,2cos2( 2 3 x 2 5 - )),其中0<x<a,当|n+p|∈[ , )时,实数a的取值范围为 ▲ . 2 2 2 高三数学试卷 第 8 页 (共 16 页)四、解答题:(本大题共6小题,共70分.解答应写出文字说明、证明过程或演算步骤.请 将答案填写在答 . 题 . 卡 . 相 . 应 . 的 . 位 . 置 . 上 . .) 17.(本题满分10分) 已知在△ABC中,AD是∠BAC的平分线,且交BC于D. AB BD (1)用正弦定理证明: = ; AC DC (2)若∠BAC=120°,AB=2,AC=1,求BD. 【解析】 18.(本题满分12分) 已知等差数列{a }的前n项和为S ,且S =4S ,a =2a +1(n∈N*). n n 4 2 2n n (1)求数列{a }的通项公式; n (2)若b =3n-1,令c =a b ,求数列{c }的前n项和T . n n n n n n 高三数学试卷 第 9 页 (共 16 页)【解析】 19.(本题满分12分) 天和核心舱是我国目前研制的最大航天器,同时也是我国空间站的重要组成部分.为了 能顺利的完成航天任务,挑选航天员的要求非常严格.经过统计,在挑选航天员的过程中有 一项必检的身体指标ξ服从正态分布N(90,100),航天员在此项指标中的要求为ξ≥110.某 学校共有2000名学生.为了宣传这一航天盛事,特意在本校举办了航天员的模拟选拔活 动.学生首先要进行上述指标的筛查,对于符合要求的学生再进行4个环节选拔,且仅在通 1 过一个环节后,才能进行到下一个环节的选拔.假设学生通过每个环节的概率均为 ,且相 4 互独立. (1)设学生甲通过筛查后在后续的4个环节中参与的环节数量为X,请计算X的分布列与数 学期望; (2)请估计符合该项指标的学生人数(结果取整数).以该人数为参加航天员选拔活动的名额, 请计算最终通过学校选拔的人数Y的期望值. 参考数值:P(μ-σ<X<μ+σ)=0.6827,P(μ-2σ<X<μ+2a)=0.9545,P(μ-3σ<X<μ+3a) =0.9973. 【解析】 高三数学试卷 第 10 页 (共 16 页)20.(本题满分12分) 如图,在四棱锥P-ABCD中,AP⊥DP,AE=1,AP=2,DP=2 3,CD=3,AB∥CD, → → AB⊥平面PAD,点M满足AM=λAD(0<λ<1). 1 (1)若λ= ,求证:平面PBM⊥平面PCM; 4 7 (2)设平面MPC与平面PCD的夹角为θ,若tanθ= ,求λ的值. 6 高三数学试卷 第 11 页 (共 16 页)(第20题图) 【解析】 所以平面PBM⊥平面PCM; 高三数学试卷 第 12 页 (共 16 页)21.(本题满分12分) |x| |y| 在平面直角坐标系xOy中,设曲线C : + =1(a>b>0)所围成的封闭图形的面积为4 2, 1 a b 2 2 曲线C 上的点到原点O的最短距离为 .以曲线C 与坐标轴的交点为顶点的椭圆记为 1 1 3 C . 2 (1)求椭圆C 的标准方程: 2 (2)设AB是过椭圆C 中心O的任意弦,l是线段AB的垂直平分线,M是l上的点(与O不 2 重合),若M是l与椭圆C 的交点,求△AMB的面积的取值范围. 2 【解析】高中试卷君 高三数学试卷 第 13 页 (共 16 页)高三数学试卷 第 14 页 (共 16 页)22.(本题满分12分) 已知函数f(x)=ex-ax. (1)若f(x)有两个零点,求a的取值范围; (2)若方程xex=ax+alnx有两个实数根x ,x ,且x ≠x ,证明:x +x +ln(x x )<2lna. 1 2 1 2 1 2 1 2 【解析】 高三数学试卷 第 15 页 (共 16 页)高三数学试卷 第 16 页 (共 16 页)