当前位置:首页>文档>第02讲一元函数的导数及其应用(二)(练)-2023年高考数学一轮复习讲练测(全国通用)(解析版)_2.2025数学总复习_赠品通用版(老高考)复习资料_一轮复习_专题04导数

第02讲一元函数的导数及其应用(二)(练)-2023年高考数学一轮复习讲练测(全国通用)(解析版)_2.2025数学总复习_赠品通用版(老高考)复习资料_一轮复习_专题04导数

  • 2026-04-28 00:51:50 2026-03-23 07:13:36

文档预览

第02讲一元函数的导数及其应用(二)(练)-2023年高考数学一轮复习讲练测(全国通用)(解析版)_2.2025数学总复习_赠品通用版(老高考)复习资料_一轮复习_专题04导数
第02讲一元函数的导数及其应用(二)(练)-2023年高考数学一轮复习讲练测(全国通用)(解析版)_2.2025数学总复习_赠品通用版(老高考)复习资料_一轮复习_专题04导数
第02讲一元函数的导数及其应用(二)(练)-2023年高考数学一轮复习讲练测(全国通用)(解析版)_2.2025数学总复习_赠品通用版(老高考)复习资料_一轮复习_专题04导数
第02讲一元函数的导数及其应用(二)(练)-2023年高考数学一轮复习讲练测(全国通用)(解析版)_2.2025数学总复习_赠品通用版(老高考)复习资料_一轮复习_专题04导数
第02讲一元函数的导数及其应用(二)(练)-2023年高考数学一轮复习讲练测(全国通用)(解析版)_2.2025数学总复习_赠品通用版(老高考)复习资料_一轮复习_专题04导数
第02讲一元函数的导数及其应用(二)(练)-2023年高考数学一轮复习讲练测(全国通用)(解析版)_2.2025数学总复习_赠品通用版(老高考)复习资料_一轮复习_专题04导数
第02讲一元函数的导数及其应用(二)(练)-2023年高考数学一轮复习讲练测(全国通用)(解析版)_2.2025数学总复习_赠品通用版(老高考)复习资料_一轮复习_专题04导数
第02讲一元函数的导数及其应用(二)(练)-2023年高考数学一轮复习讲练测(全国通用)(解析版)_2.2025数学总复习_赠品通用版(老高考)复习资料_一轮复习_专题04导数
第02讲一元函数的导数及其应用(二)(练)-2023年高考数学一轮复习讲练测(全国通用)(解析版)_2.2025数学总复习_赠品通用版(老高考)复习资料_一轮复习_专题04导数
第02讲一元函数的导数及其应用(二)(练)-2023年高考数学一轮复习讲练测(全国通用)(解析版)_2.2025数学总复习_赠品通用版(老高考)复习资料_一轮复习_专题04导数
第02讲一元函数的导数及其应用(二)(练)-2023年高考数学一轮复习讲练测(全国通用)(解析版)_2.2025数学总复习_赠品通用版(老高考)复习资料_一轮复习_专题04导数
第02讲一元函数的导数及其应用(二)(练)-2023年高考数学一轮复习讲练测(全国通用)(解析版)_2.2025数学总复习_赠品通用版(老高考)复习资料_一轮复习_专题04导数
第02讲一元函数的导数及其应用(二)(练)-2023年高考数学一轮复习讲练测(全国通用)(解析版)_2.2025数学总复习_赠品通用版(老高考)复习资料_一轮复习_专题04导数
第02讲一元函数的导数及其应用(二)(练)-2023年高考数学一轮复习讲练测(全国通用)(解析版)_2.2025数学总复习_赠品通用版(老高考)复习资料_一轮复习_专题04导数
第02讲一元函数的导数及其应用(二)(练)-2023年高考数学一轮复习讲练测(全国通用)(解析版)_2.2025数学总复习_赠品通用版(老高考)复习资料_一轮复习_专题04导数
第02讲一元函数的导数及其应用(二)(练)-2023年高考数学一轮复习讲练测(全国通用)(解析版)_2.2025数学总复习_赠品通用版(老高考)复习资料_一轮复习_专题04导数
第02讲一元函数的导数及其应用(二)(练)-2023年高考数学一轮复习讲练测(全国通用)(解析版)_2.2025数学总复习_赠品通用版(老高考)复习资料_一轮复习_专题04导数
第02讲一元函数的导数及其应用(二)(练)-2023年高考数学一轮复习讲练测(全国通用)(解析版)_2.2025数学总复习_赠品通用版(老高考)复习资料_一轮复习_专题04导数
第02讲一元函数的导数及其应用(二)(练)-2023年高考数学一轮复习讲练测(全国通用)(解析版)_2.2025数学总复习_赠品通用版(老高考)复习资料_一轮复习_专题04导数
第02讲一元函数的导数及其应用(二)(练)-2023年高考数学一轮复习讲练测(全国通用)(解析版)_2.2025数学总复习_赠品通用版(老高考)复习资料_一轮复习_专题04导数
第02讲一元函数的导数及其应用(二)(练)-2023年高考数学一轮复习讲练测(全国通用)(解析版)_2.2025数学总复习_赠品通用版(老高考)复习资料_一轮复习_专题04导数
第02讲一元函数的导数及其应用(二)(练)-2023年高考数学一轮复习讲练测(全国通用)(解析版)_2.2025数学总复习_赠品通用版(老高考)复习资料_一轮复习_专题04导数
第02讲一元函数的导数及其应用(二)(练)-2023年高考数学一轮复习讲练测(全国通用)(解析版)_2.2025数学总复习_赠品通用版(老高考)复习资料_一轮复习_专题04导数
第02讲一元函数的导数及其应用(二)(练)-2023年高考数学一轮复习讲练测(全国通用)(解析版)_2.2025数学总复习_赠品通用版(老高考)复习资料_一轮复习_专题04导数
第02讲一元函数的导数及其应用(二)(练)-2023年高考数学一轮复习讲练测(全国通用)(解析版)_2.2025数学总复习_赠品通用版(老高考)复习资料_一轮复习_专题04导数
第02讲一元函数的导数及其应用(二)(练)-2023年高考数学一轮复习讲练测(全国通用)(解析版)_2.2025数学总复习_赠品通用版(老高考)复习资料_一轮复习_专题04导数
第02讲一元函数的导数及其应用(二)(练)-2023年高考数学一轮复习讲练测(全国通用)(解析版)_2.2025数学总复习_赠品通用版(老高考)复习资料_一轮复习_专题04导数
第02讲一元函数的导数及其应用(二)(练)-2023年高考数学一轮复习讲练测(全国通用)(解析版)_2.2025数学总复习_赠品通用版(老高考)复习资料_一轮复习_专题04导数
第02讲一元函数的导数及其应用(二)(练)-2023年高考数学一轮复习讲练测(全国通用)(解析版)_2.2025数学总复习_赠品通用版(老高考)复习资料_一轮复习_专题04导数

文档信息

文档格式
docx
文档大小
1.700 MB
文档页数
29 页
上传时间
2026-03-23 07:13:36

文档内容

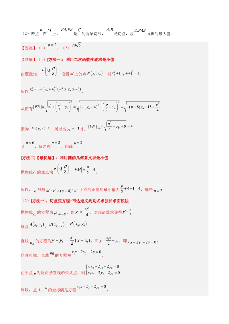
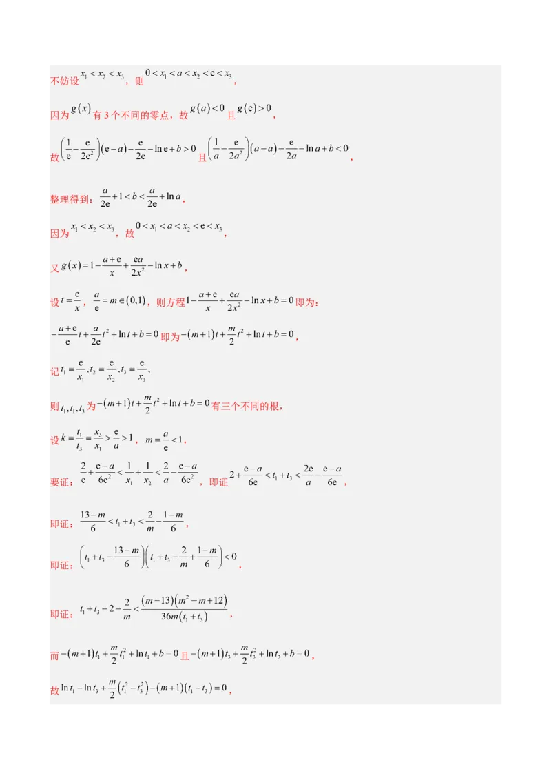
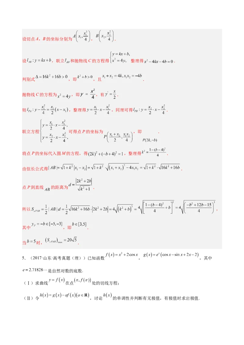
第 02 讲 一元函数的导数及其应用(二) 1.已知点 在曲线 上,则曲线在点 处的切线方程为_________. 【答案】 【详解】因为点 在曲线 上, ,可得 ,所以, , 对函数求导得 , 则曲线在点 处的切线斜率为 , 因此,曲线在点 处的切线方程为 ,即 . 故答案为: . 2.过曲线 上一点 且与曲线在点 处的切线垂直的直线的方程为( ) A. B. C. D. 【答案】A 【详解】 解:∵ ,∴ , 曲线在点 处的切线斜率是 , ∴过点 且与曲线在点 处的切线垂直的直线的斜率为 , ∴所求直线方程为 ,即 .故选:A. 3.已知曲线 与直线 相切,则实数a的值为__________. 【答案】2 【解答】 解:设切点为 , 由 得 ,则由题意得, ,解得 , 故答案为:2 4.若曲线 在 处的切线方程为 ,则 __________ 【答案】 解:将 代入 ,得切点为 , ①,又 , , ②.联立①②解得: , ,故 . 故答案为: 5、过点 作曲线 ( )的切线,则切点坐标为________. 【答案】 【详解】由 ( ),则 ,化简得 , 则 ,设切点为 ,显然 不在曲线上, 则 ,得 ,则切点坐标为 . 故答案为: . 6.已知函数 存在单调递减区间,且 的图象在 处的切线l与曲线 相 切,符合情况的切线l( )A.有3条 B.有2条 C.有1条 D.不存在 【答案】D 【解析】 试题分析: ,依题意, 在 上有解.当 时, 在 上无解,不符合 题意;当 时, 符合题意,故 .易知曲线 在 处的切线 为 .假设该直线与 相切,设切点为 ,即有 ,消 去 化简得 ,分别画出 的图像,观察可知它们交点横坐标 , ,这与 矛盾,故不存在. 7.曲线 与曲线 有( )条公切线. A.1 B.2 C.3 D.4 【答案】B 【详解】设 是曲线 图像上任意一点, ,所以 , 所以过点 的切线方程为 ,整理得 ①. 令 ,解得 ,则 ,所以曲线 上过点 的切线方程 为: ,整理得 ②.由于切线①②重合,故 , 即 ③.构造函数 ,则 , ,故当 时 递减、当 时 递增, 注意到当 时 ,且 , 所以当 时 递减,当 时, 递增, 而 ,根据零点存在性定理可知在区间 各存在 的一个零点, 也即 有两个零点,也即方程③有两个根,也即曲线 和曲线 有两条公切线.故选:B 8.已知点M在函数 图象上,点N在函数 图象上,则 的最小值为( ) A.1 B. C.2 D.3 【答案】B 【分析】 根据函数 与函数 互为反函数,将问题转化为求函数 的图象与直线 平行的 切线的切点 到直线 的距离的两倍,利用导数求出切点坐标,根据点到直线的距离公式可得结 果. 【详解】 因为函数 与函数 互为反函数,它们的图象关于直线 对称, 所以 的最小值为函数 的图象上的点 到直线 的距离的2倍,即为函数 的图象 与直线 平行的切线的切点 到直线 的距离的两倍, 因为 ,所以函数 的图象上与直线 平行的切线的斜率 ,所以 ,所以 切点为 ,它到直线 的距离 , 所以 的最小值为 . 故选:B. 9.设 ,当 取得最小值 时,函数 的最小值为___________. 【答案】10 【详解】 解: 表示点 与点 距离的平方, 而点 是直线 上任一点, 点 是反比例函数 在第四象限上的点, 当 是斜率为 的直线与 相切的切点时, 点 到直线 的距离即为 的最小值,由 , , 所以 , 当且仅当 取等号, 所以函数 的最小值为10, 故答案为:10 10.若曲线 在点 处的切线与曲线 相切于点 ,则 __________. 【答案】 【详解】 的导数为 ,可得曲线 在点 处的切线方程为 , 的导数为 ,可得曲线 在点 处的切线的方程为 , 由两条切线重合的条件,可得 ,且 , 则 ,即有 ,可得 ,则 .故答案为: 1.已知曲线 在点 处的切线的倾斜角为 ,则 的值为( ) A.1 B. C. D. 【答案】B 解:函数 的导数 , 函数f(x)在x=1处的倾斜角为 , , , 故选B.2.曲线 在点 处的切线方程是 ,则切点 的坐标是____________. 【答案】 【详解】由函数 ,则 , 设切点 的坐标为 ,则斜率 , 所以 ,解得 , 当 时,切点为 ,此时切线方程为 ; 当 ,切点为 ,不满足题意, 综上可得,切点为 .故答案为: . 3.已知 轴为曲线 的切线,则 的值为________. 【答案】 【详解】由题意 ,设 轴与曲线 的切点为 ,则 ,解得 .故答案为: . 4.已知曲线 在点 处的切线方程为 ,则( ) A. B. C. D. 【答案】D 【详解】 , 将 代入 得 , 故选D. 5.已知直线 是曲线 的切线,则实数 ( ) A. B. C. D. 【答案】C【详解】设切点为 ,∴切线方程是 , ∴ ,故答案为:C 6.已知函数 ,当 时,曲线 在点 与点 处的切线总是平行时,则由点 可作曲线 的切线的条数为( ) A. B. C. D.无法确定 【答案】C 【解析】 详解:由 ,得 , 曲线 在点 与点 处的切线总是平行, 关于 对称, 即 ,点 ,即为 , a +a +a 所以 , ,设切点为 31 32 33切线的方程为 , 将点 代入切线方程可得 ,化为 , 设 令 得 或 ,令 得 , 在 上递增,在 上递减, 在 处有极大值,在 处有极小值, 且 , 与 有三个交点, 方程 有三个根, 即过 的切线有 条,故答案为 .7.若函数 与函数 有公切线,则实数 的最小值为( ) A. B. C. D. 【答案】A 【解析】 【详解】 解: ,设公切线与曲线 相切的切点为 , 则公共切线为 , 即 ,其与 相切, 联立消去 得: , 则 有解, 即 有解, 令 , , 则 ,令 ,得 , 则 在 上单调递减,在 上单调递增, 则 , 则 ,所以实数 的最小值为 . 故选:A. 8.抛物线 上的一动点 到直线 距离的最小值是A. B. C. D. 【答案】A 【详解】 试题分析:对y=x2求导可求与直线x-y-1=0平行且与抛物线y=x2相切的切线方程,然后利用两平行线的距 离公司可得所求的最小距离d.解:(法一)对y=x2求导可得y′=2x,令y′=2x=1可得x= ∴与直线x- y-1=0平行且与抛物线y=x2相切的切点( , ),切线方程为y- =x- 即x-y- =0由两平行线的距离 公司可得所求的最小距离d= ,故选A. 9.已知 , ,则 的最小值为______. 【答案】 【详解】 可看成点 到点 的距离, 而点 的轨迹是直线 ,点 的轨迹是曲线 , 则所求最小值可转化为曲线 上的点到直线 距离的最小值,而曲线 在直线 上方, 平移直线 使其与曲线 相切,则切点到直线 距离即为所求, 设切点 , ,由 得 ,切点为 则 到直线 距离 . 故答案为: 10.已知函数 , ,若存在 使得 ,则实数a的取值范围是 ( ) A. B. C. D. 【答案】B【详解】 ,所以, ,即 与 在 有交点, 分情况讨论: ①直线 过点 ,即 ,得 ;②直线 与 相切,设切点为 , 得 ,切点为 ,故实数a的取值范围是 故选:B 11.关于 的方程 在 内有且仅有 个根,设最大的根是 ,则 与 的大小 关系是 A. B. C. D.以上都不对 【答案】C 【详解】 由题意作出 与 在 的图象,如图所示: ∵方程 在 内有且仅有5个根,最大的根是 . ∴ 必是 与 在 内相切时切点的横坐标设切点为 , ,则 ,斜率 则 故选C. 1.(2019·全国·高考真题(文))曲线y=2sinx+cosx在点(π,–1)处的切线方程为 A. B. C. D. 【答案】C 【详解】当 时, ,即点 在曲线 上. 则 在点 处的切线方程为 ,即 .故选C. 2.(2016·四川·高考真题(文))设直线l,l 分别是函数f(x)= 图象上点P,P 处的切线, 1 2 1 2 l 与l 垂直相交于点P,且l,l 分别与y轴相交于点A,B,则△PAB的面积的取值范围是 1 2 1 2 A.(0,1) B.(0,2) C.(0,+∞) D.(1,+∞) 【答案】A 【详解】试题分析:设 (不妨设 ),则由导数的几何意义易得切 线 的斜率分别为 由已知得 切线 的方程分别为 ,切线 的方程为 ,即 .分别令 得又 与 的交点为 ,故选A. 3.(2022·浙江·高考真题)设函数 . (1)求 的单调区间; (2)已知 ,曲线 上不同的三点 处的切线都经过点 .证 明: (ⅰ)若 ,则 ; (ⅱ)若 ,则 . (注: 是自然对数的底数) 【答案】(1) 的减区间为 ,增区间为 . (2)(ⅰ)见解析;(ⅱ)见解析. 【解答】 (1) , 当 , ;当 , , 故 的减区间为 , 的增区间为 . (2) (ⅰ)因为过 有三条不同的切线,设切点为 , 故 ,故方程 有3个不同的根, 该方程可整理为 , 设 , 则 , 当 或 时, ;当 时, , 故 在 上为减函数,在 上为增函数, 因为 有3个不同的零点,故 且 , 故 且 , 整理得到: 且 , 此时 , 设 ,则 , 故 为 上的减函数,故 , 故 . (ⅱ)当 时,同(ⅰ)中讨论可得: 故 在 上为减函数,在 上为增函数,不妨设 ,则 , 因为 有3个不同的零点,故 且 , 故 且 , 整理得到: , 因为 ,故 , 又 , 设 , ,则方程 即为: 即为 , 记 则 为 有三个不同的根, 设 , , 要证: ,即证 , 即证: , 即证: , 即证: , 而 且 , 故 ,故 , 故即证: , 即证: 即证: , 记 ,则 , 设 ,则 即 , 故 在 上为增函数,故 , 所以 , 记 , 则 , 所以 在 为增函数,故 , 故 即 , 故原不等式得证: 4.(2021·全国·高考真题(理))已知抛物线 的焦点为 ,且 与圆 上点的距离的最小值为 . (1)求 ;(2)若点 在 上, 是 的两条切线, 是切点,求 面积的最大值. 【答案】(1) ;(2) . 【详解】(1)[方法一]:利用二次函数性质求最小值 由题意知, ,设圆M上的点 ,则 . 所以 . 从而有 . 因为 ,所以当 时, . 又 ,解之得 ,因此 . [方法二]【最优解】:利用圆的几何意义求最小值 抛物线 的焦点为 , , 所以, 与圆 上点的距离的最小值为 ,解得 ; (2)[方法一]:切点弦方程+韦达定义判别式求弦长求面积法 抛物线 的方程为 ,即 ,对该函数求导得 , 设点 、 、 , 直线 的方程为 ,即 ,即 , 同理可知,直线 的方程为 , 由于点 为这两条直线的公共点,则 , 所以,点A、 的坐标满足方程 ,所以,直线 的方程为 , 联立 ,可得 , 由韦达定理可得 , , 所以, , 点 到直线 的距离为 , 所以, , , 由已知可得 ,所以,当 时, 的面积取最大值 . [方法二]【最优解】:切点弦法+分割转化求面积+三角换元求最值 同方法一得到 . 过P作y轴的平行线交 于Q,则 . . P点在圆M上,则 . 故当 时 的面积最大,最大值为 . [方法三]:直接设直线AB方程法设切点A,B的坐标分别为 , . 设 ,联立 和抛物线C的方程得 整理得 . 判别式 ,即 ,且 . 抛物线C的方程为 ,即 ,有 . 则 ,整理得 ,同理可得 . 联立方程 可得点P的坐标为 ,即 . 将点P的坐标代入圆M的方程,得 ,整理得 . 由弦长公式得 . 点P到直线 的距离为 . 所以 , 其中 ,即 . 当 时, . 5.(2017·山东·高考真题(理))已知函数 , ,其中 是自然对数的底数. (Ⅰ)求曲线 在点 处的切线方程; (Ⅱ)令 ,讨论 的单调性并判断有无极值,有极值时求出极值.【答案】(Ⅰ) (Ⅱ)见解析 【详解】 (Ⅰ)由题意 又 , 所以 , 因此 曲线 在点 处的切线方程为 , 即 . (Ⅱ)由题意得 , 因为 , 令 则 所以 在 上单调递增. 因为 所以 当 时, 当 时, (1)当 时, 当 时, , 单调递减,当 时, , 单调递增, 所以 当 时 取得极小值,极小值是 ; (2)当 时, 由 得 , ①当 时, , 当 时, , 单调递增; 当 时, , 单调递减; 当 时, , 单调递增. 所以 当 时 取得极大值. 极大值为 , 当 时 取到极小值,极小值是 ; ②当 时, , 所以 当 时, ,函数 在 上单调递增,无极值; ③当 时, 所以 当 时, , 单调递增; 当 时, , 单调递减; 当 时, , 单调递增; 所以 当 时 取得极大值,极大值是 ; 当 时 取得极小值. 极小值是 .综上所述: 当 时, 在 上单调递减,在 上单调递增, 函数 有极小值,极小值是 ; 当 时,函数 在 和 和 上单调递增,在 上单调递减,函数 有 极大值,也有极小值, 极大值是 极小值是 ; 当 时,函数 在 上单调递增,无极值; 当 时,函数 在 和 上单调递增, 在 上单调递减,函数 有极大值,也有极小值, 极大值是 ; 极小值是 . 6.(2019·全国·高考真题(理))已知函数 . (1)讨论f(x)的单调性,并证明f(x)有且仅有两个零点; (2)设x 是f(x)的一个零点,证明曲线y=ln x 在点A(x,ln x )处的切线也是曲线 的切线. 0 0 0 【答案】(1)函数 在 和 上是单调增函数,证明见解析; (2)证明见解析. 【详解】(1)函数 的定义域为 , ,因为函数 的定义域为 ,所以 ,因此函数 在 和 上是单调增函数;当 ,时, ,而 ,显然当 ,函数 有零点,而函 数 在 上单调递增,故当 时,函数 有唯一的零点; 当 时, , 因为 ,所以函数 在 必有一零点,而函数 在 上是单调递增,故当 时,函数 有唯一的零点 综上所述,函数 的定义域 内有2个零点; (2)因为 是 的一个零点,所以 ,所以曲线 在 处的切线 的斜率 ,故曲线 在 处 的切线 的方程为: 而 ,所以 的方程为 ,它在纵轴的截距为 . 设曲线 的切点为 ,过切点为 切线 , ,所以在 处的切线 的斜率为 ,因此切线 的方程为 , 当切线 的斜率 等于直线 的斜率 时,即 , 切线 在纵轴的截距为 ,而 ,所以,直线 的斜率相等,在纵轴上的截距也相等,因此直线 重合,故曲线 在 处的切线也是曲线 的切线. 7.(2010·湖北·高考真题(文))设函数 ,其中a>0,曲线 在点P (0, )处的切线方程为y=1 (Ⅰ)确定b、c的值 (Ⅱ)设曲线 在点( )及( )处的切线都过点(0,2)证明:当 时, (Ⅲ)若过点(0,2)可作曲线 的三条不同切线,求a的取值范围. 【答案】(Ⅰ)b=0,c=1, (Ⅱ)见解析(Ⅲ) . 【详解】(1)∵f(x) x3 x2+bx+c, ∴f(0)=c,f′(x)=x2﹣ax+b,f′(0)=b; 又∵y=f(x)在点P(0,f(0))处的切线方程为y=1, ∴f(0)=1,f′(0)=0. ∴b=0,c=1. (2)∵b=0,c=1时, ,f'(x)=x2﹣ax.由于点(t,f(t))处的切线方程为 y﹣f(t)=f'(t)(x﹣t),而点(0,2)在切线上, ∴2﹣f(t)=f'(t)(﹣t), 化简得 ,即t满足的方程为 . 下面用反证法证明. 假设f'(x)=f'(x),由于曲线y=f(x)在点(x,f(x))及(x,f(x))处的切线都过点(0, 1 2 1 1 2 2 2),则下列等式成立: ; 由 得x+x=a, 1 2 ③ 由 ﹣ 得 xx a2 ; 1 2 ① ② ④ 又 xx xx=a2﹣x(a﹣x) ax+a2 a2 a2 1 2 1 2 1 1 1 ∴由 得x ,此时x ,这与x≠x 矛盾,∴f′(x)≠f′(x). 1 2 1 2 1 2 ④ (3)由(2)知,过点(0,2)可作y=f(x)的三条切线, 等价于方程2﹣f(t)=f'(t)(0﹣t)有三个相异的实根, 即等价于方程 有三个相异的实根; 设g(t) t3 t2+1, ∴g′(t)=2t2﹣at=2t(t ); ∵a>0,∴有 (﹣∞, t 0 0) g'(t) + 0 ﹣ 0 + g(t) ↗ 极大值1 ↘ ↗ 极小值 由g(t)的单调性知:要使g(t)=0有三个相异的实根,当且仅当 0, 即 . ∴a的取值范围是 .8.(2011·陕西·高考真题(理))如图,从点 作 轴的垂线交曲线 于点 ,曲线在 点 处的切线与 轴交于点 ,再从 作 轴的垂线交曲线于点 ,依次重复上述过程得到一系列点: , ; , ; ; , 记 点的坐标为 ( ) (1)试求 与 的关系( ) (2)求 【答案】(1) (2) 【详解】 (1)设点 的坐标是 ,∵ ,∴ , ∴ ,在点 处的切线方程是 , 令 ,则 ( ). (2)∵ , ,∴ , ∴ ,于是有 ,即 . 9.(2015·天津·高考真题(理))已知函数 ,其中 . (Ⅰ)讨论 的单调性; (Ⅱ)设曲线 与 轴正半轴的交点为P,曲线在点P处的切线方程为 ,求证:对于任意的 正实数 ,都有 ; (Ⅲ)若关于 的方程 有两个正实根 ,求证: 【答案】(Ⅰ) 当 为奇数时, 在 , 上单调递减,在 内单调递增;当 为偶数时, 在 上单调递增, 在 上单调递减. (Ⅱ)见解析; (Ⅲ)见解析. 【详解】(Ⅰ)由 ,可得,其中 且 , 下面分两种情况讨论: (1)当 为奇数时: 令 ,解得 或 , 当 变化时, 的变化情况如下表: 所以, 在 , 上单调递减,在 内单调递增. (2)当 为偶数时, 当 ,即 时,函数 单调递增; 当 ,即 时,函数 单调递减.所以, 在 上单调递增, 在 上单调递减. (Ⅱ)证明:设点 的坐标为 ,则 , ,曲线 在点 处的切线方程为 ,即 ,令 ,即 ,则 由于 在 上单调递减,故 在 上单调递减,又因为 ,所以当 时, ,当 时, ,所以 在 内单调递增,在 内单调 递减,所以对任意的正实数 都有 ,即对任意的正实数 ,都有 . (Ⅲ)证明:不妨设 ,由(Ⅱ)知 ,设方程 的根为 ,可得 ,当 时, 在 上单调递减,又由(Ⅱ)知 可得 . 类似的,设曲线 在原点处的切线方程为 ,可得 ,当 , ,即对任意 , 设方程 的根为 ,可得 ,因为 在 上单调递增,且 , 因此 . 由此可得 . 因为 ,所以 ,故 , 所以 .10.(2022·全国·高考真题)曲线 过坐标原点的两条切线的方程为____________,____________. 【答案】 【详解】解: 因为 , 当 时 ,设切点为 ,由 ,所以 ,所以切线方程为 , 又切线过坐标原点,所以 ,解得 ,所以切线方程为 ,即 ; 当 时 ,设切点为 ,由 ,所以 ,所以切线方程为 , 又切线过坐标原点,所以 ,解得 ,所以切线方程为 ,即 ; 故答案为: ;