当前位置:首页>文档>专题19.5一次函数的应用(十大题型)(举一反三)(人教版)(学生版)_初中数学_八年级数学下册(人教版)_母题专项-U66_2025版

专题19.5一次函数的应用(十大题型)(举一反三)(人教版)(学生版)_初中数学_八年级数学下册(人教版)_母题专项-U66_2025版

  • 2026-04-29 11:44:53 2026-03-24 04:37:00

文档预览

专题19.5一次函数的应用(十大题型)(举一反三)(人教版)(学生版)_初中数学_八年级数学下册(人教版)_母题专项-U66_2025版
专题19.5一次函数的应用(十大题型)(举一反三)(人教版)(学生版)_初中数学_八年级数学下册(人教版)_母题专项-U66_2025版
专题19.5一次函数的应用(十大题型)(举一反三)(人教版)(学生版)_初中数学_八年级数学下册(人教版)_母题专项-U66_2025版
专题19.5一次函数的应用(十大题型)(举一反三)(人教版)(学生版)_初中数学_八年级数学下册(人教版)_母题专项-U66_2025版
专题19.5一次函数的应用(十大题型)(举一反三)(人教版)(学生版)_初中数学_八年级数学下册(人教版)_母题专项-U66_2025版
专题19.5一次函数的应用(十大题型)(举一反三)(人教版)(学生版)_初中数学_八年级数学下册(人教版)_母题专项-U66_2025版
专题19.5一次函数的应用(十大题型)(举一反三)(人教版)(学生版)_初中数学_八年级数学下册(人教版)_母题专项-U66_2025版
专题19.5一次函数的应用(十大题型)(举一反三)(人教版)(学生版)_初中数学_八年级数学下册(人教版)_母题专项-U66_2025版
专题19.5一次函数的应用(十大题型)(举一反三)(人教版)(学生版)_初中数学_八年级数学下册(人教版)_母题专项-U66_2025版
专题19.5一次函数的应用(十大题型)(举一反三)(人教版)(学生版)_初中数学_八年级数学下册(人教版)_母题专项-U66_2025版
专题19.5一次函数的应用(十大题型)(举一反三)(人教版)(学生版)_初中数学_八年级数学下册(人教版)_母题专项-U66_2025版
专题19.5一次函数的应用(十大题型)(举一反三)(人教版)(学生版)_初中数学_八年级数学下册(人教版)_母题专项-U66_2025版
专题19.5一次函数的应用(十大题型)(举一反三)(人教版)(学生版)_初中数学_八年级数学下册(人教版)_母题专项-U66_2025版
专题19.5一次函数的应用(十大题型)(举一反三)(人教版)(学生版)_初中数学_八年级数学下册(人教版)_母题专项-U66_2025版
专题19.5一次函数的应用(十大题型)(举一反三)(人教版)(学生版)_初中数学_八年级数学下册(人教版)_母题专项-U66_2025版
专题19.5一次函数的应用(十大题型)(举一反三)(人教版)(学生版)_初中数学_八年级数学下册(人教版)_母题专项-U66_2025版
专题19.5一次函数的应用(十大题型)(举一反三)(人教版)(学生版)_初中数学_八年级数学下册(人教版)_母题专项-U66_2025版
专题19.5一次函数的应用(十大题型)(举一反三)(人教版)(学生版)_初中数学_八年级数学下册(人教版)_母题专项-U66_2025版
专题19.5一次函数的应用(十大题型)(举一反三)(人教版)(学生版)_初中数学_八年级数学下册(人教版)_母题专项-U66_2025版

文档信息

文档格式
docx
文档大小
2.860 MB
文档页数
19 页
上传时间
2026-03-24 04:37:00

文档内容

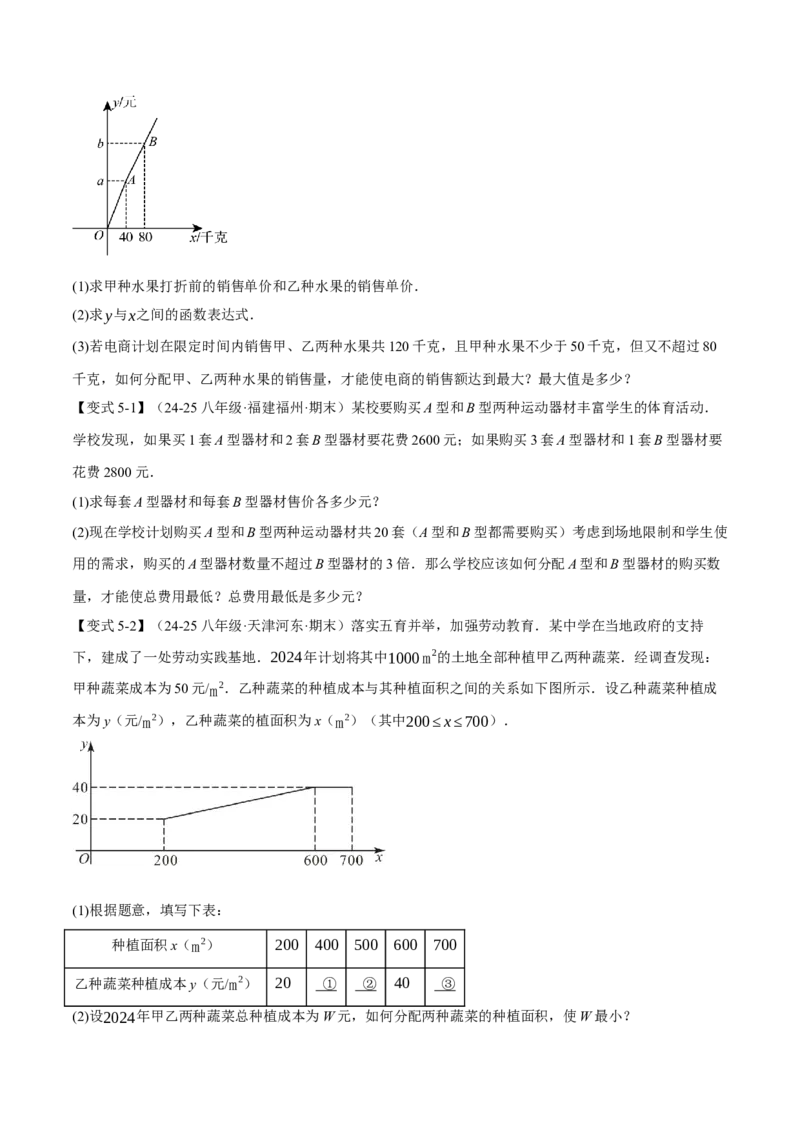
专题 19.5 一次函数的应用【十大题型】 【人教版】 【题型1 行程问题】..................................................................................................................................................1 【题型2 工程问题】..................................................................................................................................................3 【题型3 调运问题】..................................................................................................................................................5 【题型4 计时问题】..................................................................................................................................................7 【题型5 分配问题】..................................................................................................................................................9 【题型6 体积问题】................................................................................................................................................11 【题型7 最大利润问题】........................................................................................................................................13 【题型8 分段计费问题】........................................................................................................................................14 【题型9 方案设计问题】........................................................................................................................................16 【题型10 现实生活相关问题】................................................................................................................................17 知识点1:一次函数的应用 判断等量关系为 (1)函数图象是直线(或直线的一部分); 一次函数的情况 (2)用表格呈现数据时:当自变量的变化值均匀时,函数的变化值也是均 匀的,而且当自变量的变化值为1时,函数的变化值就是自变量的系数 ; (3)用语言呈现数据时:当自变量每变化1个单位时,因变量就相应变化 个单位 常见类型 (1)最优方案或方案选择问题:常通过比价函数值的大小关系确定方案; (2)利润最大或费用最少问题:通过函数增减性确定最值. 注意:根据实际情况确定变量的取值范围 【题型1 行程问题】 【例1】(24-25八年级·四川南充·期末)甲、乙两地相距300千米,一辆货车和一辆轿车先后从甲地出发 向乙地.如图,线段OA表示货车离甲地距离y(千米)与时间x(小时)之间的函数关系;折线BCD表示 轿车离甲地距离y(千米)与x(小时)之间的函数关系.请根据图象解答下列问题:(1)轿车到达乙地后,货车距乙地多少千米? (2)求线段CD对应的函数解析式. (3)求货车从甲地出发后多长时间与轿车相遇. 【变式1-1】(24-25八年级·甘肃武威·期末)某物流公司的快递车和货车同时从甲地出发,以各自的速度 匀速向乙地行驶,快递车到达乙地后卸完物品再另装货物共用45分钟,立即按原路以另一速度速返回,直 至与货车相遇时停止.已知货车的速度为60千米/小时,两车之间的距离(千米)与货车行驶时间x(小 时)之间的函数图象如图所示 (1)求点B的坐标; (2)求快递车返回的过程中y(千米)与x(小时)之间的函数关系式; (3)当两车之间的距离是50千米时,直接写出x的值. 【变式1-2】(24-25八年级·吉林长春·期末)如图(1),一条笔直的公路上有A、B、C三地,AC0),A城运往两乡的总运费 不低于4400元且不高于4600元,当A,B两城运往两乡的总费用的和的最小值为10960元时,请直接写出 m的值. 【变式3-2】(24-25八年级·广东湛江·期末)北京某厂和上海某厂同时制成电子计算机若干台,北京厂可 支援外地10台,上海厂可支援外地4台,现在决定给重庆8台,汉口6台.如果从北京运往汉口、重庆的 运费分别是400元/台、800元/台,从上海运往汉口、重庆的运费分别是300元/台、500元/台.求: (1)若总运费为8400元,上海运往汉口应是多少台? (2)若要求总运费不超过8200元,共有几种调运方案? (3)求出总运费最低的调运方案,最低总运费是多少元? 【变式3-3】(24-25八年级·安徽合肥·期中)某超市鸡蛋供应紧张,需每天从外地调运鸡蛋600千克.超 市决定从甲、乙两大型养殖场调运鸡蛋,已知甲养殖场每天最多可调出400千克,乙养殖场每天最多可调 出450千克,从甲、乙两养殖场调运鸡蛋到该超市的路程和运费如表: 到超市的路程(千 运费(元/千克·千米) 米) 甲养殖场 90 0.05 乙养殖场 40 0.03 设从甲养殖场调运鸡蛋x千克,总运费为W元. (1)从甲养殖场调运鸡蛋的运费,用代数式表示为______,从乙养殖场需要调运鸡蛋的数量,用代数式表示 为______; (2)试写出W与x的函数关系式; (3)请求出自变量取值范围,说明怎样安排调运方案才能使每天的总运费最少? 【题型4 计时问题】 【例4】(24-25八年级·山西晋中·期末)在“制作计时器”项目式学习中,小明利用古代漏壶原理制作如下计时器模型:A是一个高为60cm的圆柱形玻璃容器,B是塑料制作的底托,C为轻质塑料标尺,将水 龙头调至匀速滴水,经过2小时标尺显示底托高度由0cm上升到12cm,其中标尺显示底托的高度y(cm)是 滴水时间x(小时)的正比例函数. (1)求y与x的函数关系式. (2)该装置最多可计时多长时间? 【变式4-1】(24-25八年级·四川成都·期末)漏刻是中国古代的一种计时工具.中国最早的漏刻出现在夏 朝时期,在宋朝时期,中国漏刻的发展达到了巅峰,其精确度和稳定性得到了极大的提高.漏刻的工作原 理是利用均匀水流导致的水位变化来显示时间.水从上面漏壶源源不断地补充给下面的漏壶,再均匀地流 入最下方的箭壶,使得壶中有刻度的小棍匀速升高,从而取得比较精确的时刻.某学习小组复制了一个漏 刻模型,研究中发现小棍露出的部分y(厘米)是时间x(分钟)的一次函数,且当时间x=0分钟时, y=2厘米.表中是小明记录的部分数据,其中有一个y的值记录错误. x(分 … 10 20 30 40 钟) … y(厘 … 2.6 3.2 3.6 4.4 米) … (1)你认为y的值记录错误的数据是________; (2)利用正确的数据确定函数表达式; (3)当小棍露出部分为8厘米时,对应的时间为多少? 【变式4-2】(24-25八年级·广西贺州·期末)综合与实践:【问题背景】沙漏又称“沙钟”,是我国古代一种计量时间的仪器,它是根据流沙从一个容器漏到另一个 容器的数量来计量时间.综合实践小组在进行项目化学习时,根据古代的沙漏模型(图1)制作了一套 “沙漏计时装置”,该装置由沙漏和精密电子秤组成,电子秤上放置盛沙容器.沙子缓慢匀速地从沙漏孔 漏到精密电子称上的容器内,可以通过读取电子秤的读数计算时间(假设沙子足够). 【实验操作】该实验小组从函数角度进行了如下实验探究:实验观察:实验小组通过观察,每两小时记录 一次电子秤读数,得到表1. 问题1:建立平面直角坐标系,如图2,横轴表示漏沙时间x,纵坐标表示精密电子称的读数y,描出以表 1中的数据为坐标的各点, 【建立模型】问题2:观察上述各点的分布规律,依次将各点连接起来,判断它们是否在同一条直线上, 如果在同一条直线上,请你建立适当的函数模型,并求出函数表达式;如果不在同一条直线上,请说明理 由. 【结论应用】问题3:应用上述发现的规律估算: (1)若漏沙时间为9小时,精密电子称的读数为多少? (2)若本次实验开始记录的时间是上午7:30,当精密电子秤的读数为72克时是几点钟?(时间为24时 制) 沉沙时间x(ℎ) 0 2 4 6 8 电子秤读数y 3 6 18 42 54 (克) 0 【【变式4-3】(24-25八年级·山东临沂·期末)刻漏是人类最早制造的不完全依赖天象、相对独立运行的 计时仪器.刻漏以水等液体(也有少数例外,如水银或沙等)为工作物质,根据流水的量与流逝时间的对 应关系,通过漏壶中的水量变化来度量时间的.我国使用刻漏的时间非常早,最早可追溯到中国历史上第 一个王朝—夏朝(大约公元前2070年),约在汉武帝时期发明了浮箭漏.如图所示为单级浮箭漏示意图.某兴趣小组仿制了一套浮箭漏,并从函数角度进行了如下实验探究: 【实验观察】实验小组通过观察,每1小时记录一次箭尺读数,得到如表: 供水时间x(小时) 0 1 2 3 4 2 箭尺读数y(厘米) 6 12 18 30 4 【探索发现】 (1)在所给的平面直角坐标系中,描出以供水时间x为横坐标,箭尺读数y为纵坐标的各点. (2)观察上述各点的分布规律,判断它们是否在同一条直线上,如果在同一条直线上,求出这条直线所 对应的函数表达式,如果不在同一条直线上,说明理由. 【结论应用】应用上述发现的规律估算: (3)供水时间达到10小时时,箭尺的读数为多少厘米? (4)如果本次实验记录的开始时间是上午7:30,那当箭尺读数为96厘米时是几点钟?(箭尺最大读数为 100厘米) 【题型5 分配问题】 【例5】(2024·河南商丘·模拟预测)随着自媒体的快速发展,出现了抖音等多种平台的直播带货销售模 式.某水果电商对甲、乙两种水果进行网上销售,若销售甲种水果10千克,乙种水果20千克,共收入 1180元;若销售甲种水果20千克,乙种水果10千克,共收入1520元.若顾客在限定时间内拍下甲种水果 超过40千克,则超过部分的价格打八折,乙种水果的销售价格不变,设电商销售甲种水果x千克,甲种水 果的销售额y(元)与x(千克)之间的函数关系如图所示.(1)求甲种水果打折前的销售单价和乙种水果的销售单价. (2)求y与x之间的函数表达式. (3)若电商计划在限定时间内销售甲、乙两种水果共120千克,且甲种水果不少于50千克,但又不超过80 千克,如何分配甲、乙两种水果的销售量,才能使电商的销售额达到最大?最大值是多少? 【变式5-1】(24-25八年级·福建福州·期末)某校要购买A型和B型两种运动器材丰富学生的体育活动. 学校发现,如果买1套A型器材和2套B型器材要花费2600元;如果购买3套A型器材和1套B型器材要 花费2800元. (1)求每套A型器材和每套B型器材售价各多少元? (2)现在学校计划购买A型和B型两种运动器材共20套(A型和B型都需要购买)考虑到场地限制和学生使 用的需求,购买的A型器材数量不超过B型器材的3倍.那么学校应该如何分配A型和B型器材的购买数 量,才能使总费用最低?总费用最低是多少元? 【变式5-2】(24-25八年级·天津河东·期末)落实五育并举,加强劳动教育.某中学在当地政府的支持 下,建成了一处劳动实践基地.2024年计划将其中1000m2的土地全部种植甲乙两种蔬菜.经调查发现: 甲种蔬菜成本为50元/m2.乙种蔬菜的种植成本与其种植面积之间的关系如下图所示.设乙种蔬菜种植成 本为y(元/m2),乙种蔬菜的植面积为x(m2)(其中200≤x≤700). (1)根据题意,填写下表: 种植面积x(m2) 200 400 500 600 700 乙种蔬菜种植成本y(元/m2) 20 ① ② 40 ③ (2)设2024年甲乙两种蔬菜总种植成本为W元,如何分配两种蔬菜的种植面积,使W最小?【变式5-3】(24-25八年级·全国·课后作业)某公司决定引进一条新的生产线,并从现有的100名职工中 选派一部分人到新的生产线工作.分工后,继续在老生产线从事工作的职工人均年产值可增加20%,而在 新生产线从事工作的职工人均年产值为原人均年产值的4倍.设原人均年产值为5万元,分配到新生产线 的职工为x人,分工后的年总产值为y万元. (1)请求出y与x之间的函数关系式; (2)如果希望在分工后,老生产线的年总产值不少于原来的年总产值,而新生产线的年总产值不少于原 年总产值的一半,那么分配到新生产线的人数可以是多少? (3)在(2)的条件下,分配多少人到新生产线时,公司的年总产值最大?这时年总产值的增长率是多 少? 【题型6 体积问题】 【例6】(24-25八年级·广西防城港·期末)如图1,在底面为正方形且高为50cm的长方体的容器底部,放 入一个小长方体铁块,现在以均匀的速度往容器中注水,图2是容器内水面高度随时间改变的函数关系图 象,观察图中所提供的信息,解答下列问题: (1)从开始注水到水面恰好淹没小长方体铁块,共用了___________分钟,铁块的高为___________cm; (2)求直线AB的函数关系式: (3)①求该容器注满水需多少分钟?②直接写出长方体铁块的体积与容器的容积之比. 【变式6-1】(24-25八年级·浙江台州·期末)我国是世界上水资源最缺乏的国家之一,同时又有很多水龙 头由于漏水造成大量的浪费.某校园内有一个漏水的水龙头,数学活动小组用最大容量为200毫升的量筒接 水,每隔10秒钟观察量筒中水的体积,从某一时刻起记录1分钟内量筒中水的体积如下表(精确到1ml ): 3 时间t(s) 10 20 40 50 60 0 量筒中的水量 6 30 45 75 90 105 V(ml) 0(1)在平面直角坐标系中描出表中数据对应的点; (2)量筒中的水量V(ml)是否为时间t(s)的函数?如果是,试求出一个符合表中数据的函数解析式; (3)若水费为3.6元/m3,按这样的漏水速度,这个水龙头一个月(30天)要浪费多少钱?( 1m3=106ml,结果保留整数). 【变式6-2】(24-25八年级·贵州铜仁·期末)小明受《乌鸦喝水》故事的启发,利用量筒和体积相同的小 球进行了如下操作,请根据图中给出的信息,解答下列问题: (1)放入一个小球量筒中水面升高 cm; (2)直接写出放入小球后量筒中水面的高度y(cm)与放入小球个数x(个)之间的函数关系式(不需要写 出自变量的取值范围),并求出当x=6时y的值; (3)量筒中至少放入几个小球时有水溢出? 【变式6-3】(2024·江苏扬州·中考真题)如图1是甲、乙两个圆柱形水槽的轴截面示意图,乙槽中有一圆 柱形铁块立放其中(圆柱形铁块的下底面完全落在乙槽底面上).现将甲槽的水匀速注入乙槽,甲、乙两 个水槽中水的深度y(厘米)与注水时间x(分钟)之间的关系如图2所示.根据图象提供的信息,解答下 列问题: (1)图2中折线ABC表示________槽中水的深度与注水时间的关系,线段DE表示_______槽中水的深度 与注水时间之间的关系(以上两空选填“甲”或“乙”),点B的纵坐标表示的实际意义是 ________________________________; (2)注水多长时间时,甲、乙两个水槽中水的深度相同? (3)若乙槽底面积为36平方厘米(壁厚不计),求乙槽中铁块的体积;(4)若乙槽中铁块的体积为112立方厘米,求甲槽底面积(壁厚不计).(直接写出结果) 【题型7 最大利润问题】 【例7】(24-25八年级·福建福州·期末)随着信息化技术水平的进步,为进一步促进教育现代化与教育强 国.《中国教育现代化2035》进一步明确加快信息化时代教育变革,“着力构建基于信息技术的新型教育 教学模式、教育服务供给方式以及教育治理新模式.”为积极推广混合式教学、翻转课堂,大力推进智慧 教室建设,构建线上线下相结合的教学模式.某教育科技公司销售A,B两种多媒体教学设备,这两种多 媒体设备的进价与售价如表所示: 进价(万元/套) 售价(万元/套) A 3 4 B 3.2 4.7 该教育科技公司计划购进A,B两种多媒体设备共20套,设购进A种多媒体设备x套,销售A,B两种多媒 体教学设备利润共y万元. (1)求y与x之间的函数关系式; (2)若公司要求购进B种多媒体设备的数量不超过A种多媒体设备的4倍,当该公司把购进的两种多媒体设 备全部售出,求购进A种多媒体设备多少套时,能获得最大利润,最大利润是多少万元? 【变式7-1】(24-25八年级·新疆阿克苏·期末)由于阿克苏独特的地理环境和气候条件,当地的核桃和红 枣品质都十分优良,而网络直播带货的发展,也为各种农产品的销售带来了巨大的市场.一商人为了推销 家乡的樱桃和红枣,在网上直播带货,他每天在家乡收购这两种干果共600千克,且当天全部售出.干果 成本和销售单价如表所示: 干 干果成本(元/千克) 销售单价(元/千克) 果 核 18 33 桃红 20 36 枣 设该商人每天进货核桃x千克,每天获得的利润为y元. (1)求y关于x的函数解析式(不必写自变量x的取值范围) (2)若该商人每天投入的总成本不超过11200元,应怎样安排核桃和红枣的进货量,可使该商人一天所获得 的利润最大?并求出最大利润和此时两种干果的进货量. 【变式7-2】(24-25八年级·内蒙古鄂尔多斯·期末)某商店销售一种产品,该产品成本价为6元/件,售价 为10元/件,销售人员对该产品一个月(30天)销售情况记录绘成图象.如图中的折线ODE表示日销量y (件)与销售时间x(天)之间的函数关系,若线段DE表示的函数关系中,时间每增加1天,日销量减少 5件. (1)第25天的日销量是________件,这天销售利润是________元. (2)求y与x的函数关系式,并写出x的取值范围. (3)求该产品这个月内日销售利润最大为多少元? 【变式7-3】(24-25八年级·湖北宜昌·期末)2024年4月30日17时46分,神舟十七号载人飞船返回舱在东 风着陆场成功着陆,载人飞行任务取得圆满成功.航模店看准商机,在模型厂购进“神舟”和“天宫”模 型出售,已知“天宫”模型的利润30元/个,“神舟”模型的利润18元/个.该店计划购进这两种模型共 200个,其中购进“天宫”模型数量不超过“神舟”模型的2倍,设购买“神舟”模型x个,销售这批模型 的利润为w元. (1)求w与x的函数关系式,并写出x的取值范围; (2)当购进这两种模型各多少个时,销售这批模型可以获得最大利润?最大利润是多少? (3)实际进货时,厂家对“神舟”模型出厂价下调m元(5≤m≤15),且限定航模店最多购“神舟”模型80 台,若航模店保持同种模型的售价不变,求出这200个模型利润最大时的x的值. 【题型8 分段计费问题】 【例8】(24-25八年级·广西百色·期中)我国是世界上严重缺水的国家之一.为了增强居民的节水意识, 某市自来水公司对居民用水采用以户为单位分段计费的办法收费,即一个月用水10t以内(包括10t)的用户,每吨收水费a元;一个月用水超过10t的用户,10t水仍按每吨a元收费,超过10t的部分,按每吨b 元(b>a)收费.设一户居民月用水x/t,应交水费y元,y与x之间的函数关系如图所示. (1)求a的值;若某户居民上月用水8t,应交水费多少元? (2)求b的值,并写出当x>10时,y与x之间的函数表达式; (3)若某户居民八月份应缴水费29元,则该户居民八月份用水量是多少? 【变式8-1】(24-25八年级·陕西咸阳·期中)某出租车公司采用分段计费的方法来计算乘车费用,收费规 则为;行车距离不超过3km时,只收起步价8元;行车距离超过3km时,每增加1km,加收1.2元(不足 1km的按1km算). (1)当行车距离x(km)大于3km时,请写出乘车费用y(元)与行车距离x(km)之间的函数关系式; (2)若乘车费用总计为29.6元时,请计算行车的最远距离. 【变式8-2】(24-25八年级·四川成都·期末)我市一水果批发市场某商家批发苹果采取分段计价的方式, 其价格如下表: 购买苹果数x(千克) 不超过50千克的部分 超过50千克的部分 每千克价格(元) 10 8 (1)小刚购买苹果40千克,应付多少元? (2)若小刚购买苹果x千克,用去了y元.分别写出当0≤x≤50和x>50时,y与x的关系式; (3)计算出小刚若一次性购买80千克所付的费用比分两次共购买80千克(每次都购买40千克)所付的 费用少多少元? 【变式8-3】(24-25八年级·辽宁抚顺·期末)某市为了鼓励居民节约用电,采用分段计费的方法按月计算 每户家庭的电费,分两档收费:第一档是当月用电量不超过220kW•h时实行“基础电价”;第二档是当用 电量超过220kW•h时,其中的220kW•h仍按照“基础电价”计费,超过的部分按照“提高电价”收费.设 每个家庭月用电量为xkW•h时,应交电费为y元.具体收费情况如图所示,请根据图象回答下列问题:(1)“基础电价”是 元/kw•h; (2)求出当x>220时,y与x的函数解析式; (3)若小豪家六月份缴纳电费121元,求小豪家这个月用电量为多少kW•h? 【题型9 方案设计问题】 【例9】(24-25八年级·广西南宁·期末)某公司每月生产甲、乙两种型号的果汁共20万瓶,且所有果汁当 月全部卖出,其中成本、售价如表: 甲 乙 成 12元/瓶 4元/瓶 本 售 18元/瓶 6元/瓶 价 (1)设甲种型号的果汁有x万瓶,公司所获利润为W元,如果该公司四月份投入成本不超过216万元,应该 怎样安排甲、乙两种型号果汁的产量,可使该月公司所获利润最大?并求出最大利润. (2)“五一”黄金周期间,为扩大销量,该公司对乙种型号果汁进行优惠,优惠方案如下: 方案一:购买乙种型号果汁一律打9折; 方案二:购买168元会员卡后,乙种型号果汁一律8折. 某超市到该公司购买乙种型号果汁,请帮该超市设计出合适的购买方案. 【变式9-1】(24-25八年级·河北沧州·期末)某商家计则购进A,B两种品牌的红酒进行销售,经调查,用 30000元即买A品m红酒的数量是用9000元购买B品牌红酒数量的3倍,一箱A品牌红酒的进价比一箱B 品牌红酒的进价多20元. (1)求A,B两种品牌红酒一箱的进价分别为多少元; (2)若该商家购进A,B两种品牌的红酒共210箱进行试销,其中A品牌红酒的数量不多于B品牌红酒数量 的2倍,且不少于100件,已知A品牌红酒的售价为320元/箱,B品牌红酒的售价为280元/箱,且全部售 出,设购进A品牌红酒m箱. ①求商家销售这批红酒的利润P与m之间的函数解析式,并写出所获利润最大时的进货方案; ②在①的条件下,商家决定在试销活动中每售出一箱A品牌红酒,就从所得的利润中抽取a元支援贫困山区的儿童,求该商家售完所有红酒并支援贫困山区儿童后获得的最大收益. 【变式9-2】(24-25八年级·湖北咸宁·期末)某文具专卖店计划购进A,B两种笔记本共100个,要求B种 1 1 笔记本数量不低于A种笔记本数量的 .且不高于A种笔记本数量的 ,已知A,B两种笔记本的进货价 4 3 分别是10元/个,15元/个,设购进A种笔记本x个. (1)求该专卖店计划购进这两种笔记本所需总费用y(元)与x之间的函数关系式: (2)求该专卖店按计划购进这两种笔记本有多少种满足条件的方案? (3)由于市场行情波动,实际进货时,A笔记本单价上调了2a元/个(a>0),B笔记本单价下调了3a 元/个,此时专卖店购进这两种笔记本所需的最少费用为1215元,求a的值. 【变式9-3】(24-25八年级·陕西西安·期末)中国象棋是中华民族的文化瑰宝,它源远流长,趣味浓厚, 基本规则简明易懂.国家“双减”政策实施后,某校为了发展棋社,决定增添x(x>20)副中国象棋.文具 店中国象棋的标价为40元/副,现推出优惠活动,方案如下: 方案一:购买中国象棋超过20副时,超过部分每副打六折; 方案二:不论购买多少副中国象棋,全部按八折销售. (1)设按照方案一购买的总费用为y ,按照方案二购买的总费用为y ,请分别写出y ,y 与x之间的关系 1 2 1 2 式; (2)学校怎样选择购买方案更划算? 【题型10 现实生活相关问题】 【例10】(24-25八年级·福建泉州·期末)【综合与实践】杆秤是一种生活中常见的称重工具,它的设计巧 妙地运用了物理原理,使得测量物体质量变得简单而准确.杆秤的物理原理,包括杠杆原理、力的平衡以 及刻度与读数等方面的内容.某兴趣小组想利用物理学中杠杆原理制作简易杆秤.小组先设计方案,然后 动手制作,再结合实际进行调试,请完成下列方案设计中的任务. 【知识背景】如图,称重物时,移动秤砣可使杆秤平衡,根据杠杆原理推导得:(m +m)⋅l=M⋅(a+ y) 0 .其中秤盘质量m 克,重物质量m克,秤砣质量M克,秤纽与秤盘的水平距离为l厘米,秤纽与零刻线的 0 水平距离为a厘米,秤砣与零刻线的水平距离为y厘米. 【方案设计】目标:设计简易杆秤.设定m =10,M=100,最大可称重物质量为1000克,零刻线与末刻 0 线的距离定为50厘米. 任务一:确定l和a的值. 当秤盘不放重物,秤砣在零刻线时,杆秤平衡; 当秤盘放入质量为1000克的重物,秤砣从零刻线移至末刻线时,杆秤平衡;(1)求l和a的值. 任务二:确定刻线的位置. (2)根据任务一,求y关于m的函数解析式. 【变式10-1】(2024·陕西咸阳·二模)随着科技的不断发展,人工智能已经成为我们生活中不可或缺的一 部分.某游泳馆安装了智能温泉泳池系统,让用户享受四季泳池.泳池的排水系统在每次换水时将泳池的 水先排完,然后再注入消杀后的水,水位到达水位线后,停止注水,水位线的高度为1.2m.在某次注水的 整个过程中,水位的高度y(m)与注水时间x(h)之间的函数关系如图所示.根据下面图象,回答下列 问题: (1)求线段AB所表示的函数关系式; (2)求开始注水到停止注水所用的时间. 【变式10-2】(24-25八年级·山西临汾·期末)项目式学习 项目主题:重视水龙头滴水的浪费现象. 项目背景:日常生活中,经常存在由于水龙头阀门损坏,从而出现水龙头不断向外滴水的情况,造成水资 源浪费.某校学习小组以“重视水龙头滴水的浪费现象”为主题展开项目学习. 驱动任务:探究水龙头滴水量与时间的关系. 研究步骤:(1)准备好量筒和计时器. (2)确定因损坏而滴水的水龙头. (3)在控制影响水龙头滴水量的其他变量(如刮风等)的情况下,将量筒放在所选水龙头正下方接水, 每隔一分钟记录量筒中的总水量.但由于操作延误,开始计时时量筒中已经接了少量的水,因而得到如下 表所示的一组数据. (4)分析数据,形成结论. 试验数据: 时间t/min 1 2 3 4 5 … 总水量 1 2 7 12 22 … V/mL 7 7 问题解决:请根据此项目实施的相关材料完成下列任务: (1)①根据上表中的数据,判断量筒中的总水量V与时间t是______(填“正比例”“一次”或“反比 例”)函数关系; ②求V与t之间的函数关系式. (2)已知所用量筒的量程是0∼100mL,求当计时多少分钟时,量筒内的水刚好到达量程的最大刻度处. (3)若一个人一天大约饮用1500mL的水,求这个水龙头10天的滴水量可供一个人饮用多少天. 【变式10-3】(2024·广西南宁·二模)在日常生活中,当手机剩余电量为20%时,张老师便会给手机充 电,他发现单独使用快充充电器和单独用普通充电器对该手机充电,手机电量y(单位:%)与充电时间x (单位:分钟)的函数图象分别为图中的线段AB,AC.请根据图中信息,解答下列问题: (1)张老师单独用快充充电器充满电比用普通充电器少用____________分钟; (2)求线段AB对应的函数表达式(不要求写出自变量的取值范围); (3)张老师若先用普通充电器充电分钟后,再改用快充充电器直至充满,共用70分钟,请求出的值.