当前位置:首页>文档>第11节利用导数解决函数的极值最值(解析版)_2.2025数学总复习_赠品通用版(老高考)复习资料_一轮复习_备战2023年高考数学一轮复习考点帮(全国通用)

第11节利用导数解决函数的极值最值(解析版)_2.2025数学总复习_赠品通用版(老高考)复习资料_一轮复习_备战2023年高考数学一轮复习考点帮(全国通用)

  • 2026-04-02 06:50:57 2026-03-25 04:54:17

文档预览

第11节利用导数解决函数的极值最值(解析版)_2.2025数学总复习_赠品通用版(老高考)复习资料_一轮复习_备战2023年高考数学一轮复习考点帮(全国通用)
第11节利用导数解决函数的极值最值(解析版)_2.2025数学总复习_赠品通用版(老高考)复习资料_一轮复习_备战2023年高考数学一轮复习考点帮(全国通用)
第11节利用导数解决函数的极值最值(解析版)_2.2025数学总复习_赠品通用版(老高考)复习资料_一轮复习_备战2023年高考数学一轮复习考点帮(全国通用)
第11节利用导数解决函数的极值最值(解析版)_2.2025数学总复习_赠品通用版(老高考)复习资料_一轮复习_备战2023年高考数学一轮复习考点帮(全国通用)
第11节利用导数解决函数的极值最值(解析版)_2.2025数学总复习_赠品通用版(老高考)复习资料_一轮复习_备战2023年高考数学一轮复习考点帮(全国通用)
第11节利用导数解决函数的极值最值(解析版)_2.2025数学总复习_赠品通用版(老高考)复习资料_一轮复习_备战2023年高考数学一轮复习考点帮(全国通用)
第11节利用导数解决函数的极值最值(解析版)_2.2025数学总复习_赠品通用版(老高考)复习资料_一轮复习_备战2023年高考数学一轮复习考点帮(全国通用)
第11节利用导数解决函数的极值最值(解析版)_2.2025数学总复习_赠品通用版(老高考)复习资料_一轮复习_备战2023年高考数学一轮复习考点帮(全国通用)
第11节利用导数解决函数的极值最值(解析版)_2.2025数学总复习_赠品通用版(老高考)复习资料_一轮复习_备战2023年高考数学一轮复习考点帮(全国通用)
第11节利用导数解决函数的极值最值(解析版)_2.2025数学总复习_赠品通用版(老高考)复习资料_一轮复习_备战2023年高考数学一轮复习考点帮(全国通用)
第11节利用导数解决函数的极值最值(解析版)_2.2025数学总复习_赠品通用版(老高考)复习资料_一轮复习_备战2023年高考数学一轮复习考点帮(全国通用)
第11节利用导数解决函数的极值最值(解析版)_2.2025数学总复习_赠品通用版(老高考)复习资料_一轮复习_备战2023年高考数学一轮复习考点帮(全国通用)
第11节利用导数解决函数的极值最值(解析版)_2.2025数学总复习_赠品通用版(老高考)复习资料_一轮复习_备战2023年高考数学一轮复习考点帮(全国通用)
第11节利用导数解决函数的极值最值(解析版)_2.2025数学总复习_赠品通用版(老高考)复习资料_一轮复习_备战2023年高考数学一轮复习考点帮(全国通用)
第11节利用导数解决函数的极值最值(解析版)_2.2025数学总复习_赠品通用版(老高考)复习资料_一轮复习_备战2023年高考数学一轮复习考点帮(全国通用)
第11节利用导数解决函数的极值最值(解析版)_2.2025数学总复习_赠品通用版(老高考)复习资料_一轮复习_备战2023年高考数学一轮复习考点帮(全国通用)
第11节利用导数解决函数的极值最值(解析版)_2.2025数学总复习_赠品通用版(老高考)复习资料_一轮复习_备战2023年高考数学一轮复习考点帮(全国通用)
第11节利用导数解决函数的极值最值(解析版)_2.2025数学总复习_赠品通用版(老高考)复习资料_一轮复习_备战2023年高考数学一轮复习考点帮(全国通用)
第11节利用导数解决函数的极值最值(解析版)_2.2025数学总复习_赠品通用版(老高考)复习资料_一轮复习_备战2023年高考数学一轮复习考点帮(全国通用)
第11节利用导数解决函数的极值最值(解析版)_2.2025数学总复习_赠品通用版(老高考)复习资料_一轮复习_备战2023年高考数学一轮复习考点帮(全国通用)
第11节利用导数解决函数的极值最值(解析版)_2.2025数学总复习_赠品通用版(老高考)复习资料_一轮复习_备战2023年高考数学一轮复习考点帮(全国通用)
第11节利用导数解决函数的极值最值(解析版)_2.2025数学总复习_赠品通用版(老高考)复习资料_一轮复习_备战2023年高考数学一轮复习考点帮(全国通用)
第11节利用导数解决函数的极值最值(解析版)_2.2025数学总复习_赠品通用版(老高考)复习资料_一轮复习_备战2023年高考数学一轮复习考点帮(全国通用)

文档信息

文档格式
docx
文档大小
1.120 MB
文档页数
23 页
上传时间
2026-03-25 04:54:17

文档内容

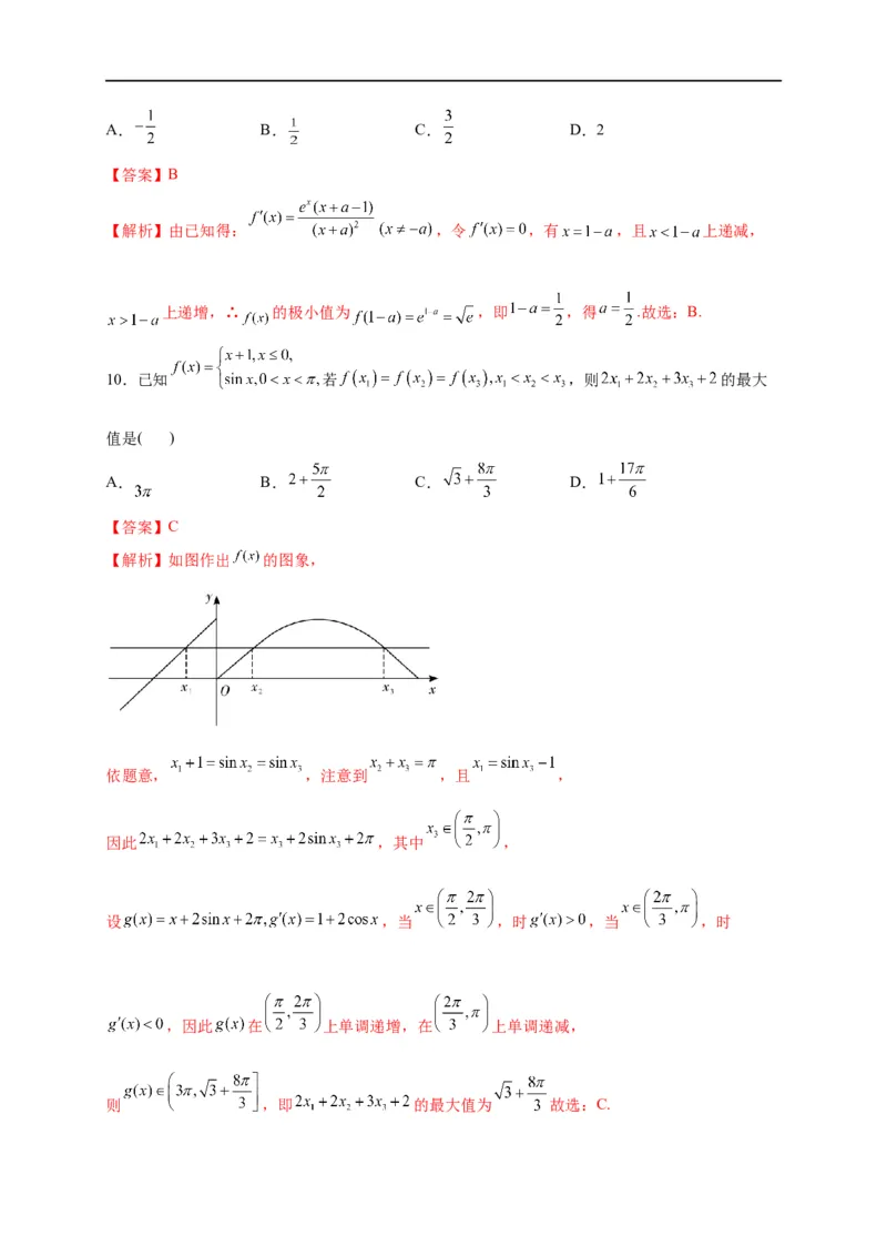
第 11 节 利用导数解决函数的极值最值 基础知识要夯实 1.函数的极值 (1)函数的极小值: 函数y=f(x)在点x=a的函数值f(a)比它在点x=a附近其他点的函数值都小,f′(a)=0;而且在点 x=a附近的左侧f′(x)<0,右侧f′(x)>0,则点a叫做函数y=f(x)的极小值点,f(a)叫做函数y= f(x)的极小值. (2)函数的极大值: 函数y=f(x)在点x=b的函数值f(b)比它在点x=b附近其他点的函数值都大,f′(b)=0;而且在点 x=b附近的左侧f′(x)>0,右侧f′(x)<0,则点b叫做函数y=f(x)的极大值点,f(b)叫做函数y= f(x)的极大值. 极小值点、极大值点统称为极值点,极大值和极小值统称为极值 . ①函数fx在x 处有极值的必要不充分条件是f′x=0,极值点是f′x=0的根,但f′x 0 0 =0的根不都是极值点例如fx=x3,f′0=0,但x=0不是极值点. ②极值反映了函数在某一点附近的大小情况,刻画的是函数的局部性质.极值点是函数在区间 内部的点,不会是端点. 2.函数的最值 (1)在闭区间[a,b]上连续的函数f(x)在[a,b]上必有最大值与最小值. (2)若函数f(x)在[a,b]上单调递增,则f(a)为函数的最小值,f(b)为函数的最大值;若函数f(x)在 [a,b]上单调递减,则f(a)为函数的最大值,f(b)为函数的最小值. 3常用结论 1.对于可导函数f(x),“f′(x)=0”是“函数f(x)在x=x 处有极值”的必要不充分条件. 0 0 2.求最值时,应注意极值点和所给区间的关系,关系不确定时,需要分类讨论,不可想当然认为极 值就是最值. 3.函数最值是“整体”概念,而函数极值是“局部”概念,极大值与极小值之间没有必然的大小关 系. 核心素养要做实 考点一 利用导数解决函数的极值问题 考法(一) 利用导数求函数的极值或极值点 【例1】 (2020·天津高考改编)设函数f(x)=(x-t)·(x-t)(x-t),其中t,t,t∈R,且t,t,t 是 1 2 3 1 2 3 1 2 3 公差为d的等差数列. (1)若t=0,d=1,求曲线y=f(x)在点(0,f(0))处的切线方程; 2 (2)若d=3,求f(x)的极小值点及极大值.【解析】(1)由已知,可得f(x)=x(x-1)(x+1)=x3-x,故f′(x)=3x2-1.因此f(0)=0,f′(0)=-1. 因此曲线y=f(x)在点(0,f(0))处的切线方程为y-f(0)=f′(0)(x-0),故所求切线方程为x+y=0. (2)由已知可得f(x)=(x-t+3)(x-t)(x-t-3)=(x-t)3-9(x-t)=x3-3tx2+(3 -9)x- +9t. 2 2 2 2 2 2 2 故f′(x)=3x2-6tx+3 -9.令f′(x)=0,解得x=t- 或x=t+ . 2 2 2 当x变化时,f′(x),f(x)的变化情况如下表: (-∞,t- x 2 t- (t- ,t+ ) t+ (t+ ,+∞) 2 2 2 2 2 ) f′(x) + 0 - 0 + f(x)  极大值  极小值  所以函数f(x)的极小值点为x=t+ ,极大值为f(t- )=(- )3-9×(- )=6 . 2 2 【方法技巧】求函数的极值或极值点的步骤 (1)求导数f′(x),不要忘记函数f(x)的定义域; (2)求方程f′(x)=0的根; (3)检查在方程的根的左右两侧f′(x)的符号,确定极值点或函数的极值. 考法(二) 已知函数极值点或极值求参数的值或范围 【例2】(2020·北京高考节选)设函数f(x)=[ax2-(3a+1)x+3a+2]ex,若f(x)在x=1处取得极小 值,求a的取值范围. 【解析】由f(x)=[ax2-(3a+1)x+3a+2]ex, 得f′(x)=[ax2-(a+1)x+1]ex=(ax-1)(x-1)ex. 若a>1,则当x∈ 时,f′(x)<0; 当x∈(1,+∞)时,f′(x)>0. 所以f(x)在x=1处取得极小值. 若a≤1,则当x∈(0,1)时,ax-1≤x-1<0, 所以f′(x)>0. 所以1不是f(x)的极小值点. 综上可知,a的取值范围是(1,+∞). 【方法技巧】 网Z§X§X§K] 已知函数极值点或极值求参数的2个要领 列式 根据极值点处导数为0和极值这两个条件列方程组,利用待定系数法求解 因为导数值等于零不是此点为极值点的充要条件,所以利用待定系数法求解后必须 验证 验证根的合理性 [来源:学科网] [题组训练]1.设函数f(x)= +ln x,则( ) A.x= 为f(x)的极大值点 B.x= 为f(x)的极小值点 C.x=2为f(x)的极大值点 D.x=2为f(x)的极小值点 【答案】D 【解析】∵f(x)= +ln x(x>0), ∴f′(x)=- + ,令f′(x)=0,则x=2. 当02时,f′(x)>0. 所以x=2为f(x)的极小值点. 2.(2020·广州高中综合测试)已知函数f(x)=x3+ax2+bx+a2在x=1处的极值为10,则数对(a,b) 为( ) A.(-3,3) B.(-11,4) C.(4,-11) D.(-3,3)或(4,-11) 【答案】C 【解析】f′(x)=3x2+2ax+b,依题意可得 即 消去b可得a2-a- 12=0,解得a=-3或a=4,故 或 当 时,f′(x)=3x2-6x+3=3(x- 1)2≥0,这时f(x)无极值,不合题意,舍去,故选C. 3.设函数f(x)=ax3-2x2+x+c(a>0). (1)当a=1,且函数f(x)的图象过点(0,1)时,求函数f(x)的极小值; (2)若f(x)在(-∞,+∞)上无极值点,求a的取值范围. 【解析】f′(x)=3ax2-4x+1. (1)函数f(x)的图象过点(0,1)时,有f(0)=c=1. 当a=1时,f(x)=x3-2x2+x+1,f′(x)=3x2-4x+1, 由f′(x)>0,解得x< 或x>1; 由f′(x)<0,解得 0,所以f′(x)=3ax2-4x+1≥0在(-∞,+∞)上恒成立, 则有Δ=(-4)2-4×3a×1≤0,即16-12a≤0,解得a≥ . 故a的取值范围为 . 考点二 利用导数解决函数的最值问题 【例2】(2020·北京高考)已知函数f(x)=excos x-x. (1)求曲线y=f(x)在点(0,f(0))处的切线方程; (2)求函数f(x)在区间 上的最大值和最小值. 【解析】(1)因为f(x)=excos x-x,所以f′(x)=ex(cos x-sin x)-1,f′(0)=0. 又因为f(0)= [来源:学#科#网Z#X#X#K] 1, 所以曲线y=f(x)在点(0,f(0))处的切线方程为y=1. (2)设h(x)=ex(cos x-sin x)-1,则h′(x)=ex(cos x-sin x-sin x-cos x)=-2exsin x. 当x∈ 时,h′(x)<0,所以h(x)在区间 上单调递减. 所以对任意x∈ ,有h(x)<h(0)=0,即f′(x)<0.所以函数f(x)在区间 上单调递减. 因此f(x)在区间 上的最大值为f(0)=1,最小值为f =- . [解题技法] 导数法求给定区间上函数的最值问题的一般步骤 (1)求函数f(x)的导数f′(x); (2)求f(x)在给定区间上的单调性和极值; (3)求f(x)在给定区间上的端点值; (4)将f(x)的各极值与f(x)的端点值进行比较,确定f(x)的最大值与最小值; (5)反思回顾,查看关键点,易错点和解题规范. 【跟踪训练】 1.(2020·珠海摸底)如图,将一张16 cm×10 cm的长方形纸片剪下四个全等的小正方 形,使得剩余部分经过折叠能糊成一个无盖的长方体纸盒,则这个纸盒的最大容积是________ cm3. 【答案】144 【解析】设剪下的四个小正方形的边长为x cm,则经过折叠以后,糊成的长方体纸盒是一个底面 是长为(16-2x) cm,宽为(10-2x) cm的长方形,其面积为(16-2x)(10-2x)cm2,长方体纸盒的高 为x cm,则体积 V=(16-2x)(10-2x)×x=4x3-52x2+160x(00,得 00,试判断f(x)在定义域内的单调性; (2)若f(x)在[1,e]上的最小值为 ,求实数a的值. 【解析】(1)由题意得f(x)的定义域是(0,+∞),且f′(x)= , 因为a>0,所以f′(x)>0, 故f(x)在(0,+∞)上单调递增. (2由(1)可得f′(x)= , 因为x∈[1,e], ①若a≥-1,则x+a≥0,即f′(x)≥0在[1,e]上恒成立, 此时f(x)在[1,e]上单调递增, 所以f(x) =f(1)=-a= , min 所以a=- (舍去). ②若a≤-e,则x+a≤0,即f′(x)≤0在[1,e]上恒成立, 此时f(x)在[1,e]上单调递减, 所以f(x) =f(e)=1- = , min 所以a=- (舍去). ③若-e0, 所以f(x)在(-a,e)上单调递增, 所以f(x) =f(-a)=ln(-a)+1= ,所以a=- . min 综上,a=- . 达标检测要扎实 一、单选题 1.对任意 ,不等式 恒成立,则实数 的取值范围为( ). A. B. C. D. 【答案】C 【解析】原不等式可化为 . 令 ,则 . 令 ,则 . ∵函数 在区间 上递增,∴ ,∴ . ,使得 ,即 , , , 递减, , 递增, ∴ ,∴ ,恒有 , 在区间 上递增, ∴ ,∴ .故选:C. 2.已知函数 ,若不等式 对 恒成立,则实数a的取 值范围是( ) A. B. C. D. 【答案】D 【解析】因为 . 则 .所以 , 易知 在R上单调递增, 所以有 ,对 恒成立,即 ,设 , 则 ,则当 时, , 单调递增,当 时, , 单调递减,则 ,所以有 ,即 .故选:D 3.若两曲线 与 存在公切线,则正实数 的取值范围是( ) A. B. C. D. 【答案】B【解析】设公切线与曲线 和 的交点分别为 , ,其中 ,对 于 有 ,则 上的切线方程为 ,即 , 对于 有 ,则 上的切线方程为 ,即 ,所以 ,有 ,即 , 令 , ,令 ,得 , 当 时, , 单调递增, 当 时, , 单调递减,所以 ,故 ,即 .故选:B. 4.已知函数 有两个不同的极值点 , ,若不等式 恒成立,则 的取值范围是( ) A. B. C. D. 【答案】B 【解析】由题设, 且 ,由 有两个极值点, ∴令 ,则 在 上有两个不等的实根 , , ∴ , ,且 ,得 . 又 ,且 ,∴ , ,即 , ∴ ,令 且 ,要使题设不等式恒成立,只需 恒成立,∴ ,即 递增,故 ,∴ .故选:B 5.已知函数 有极值,则c的取值范围为( ) A. B. C. D. 【答案】A 【解析】由题意得 ,若函数 有极值,则 ,解得 , 故选:A. 6.若函数 的极大值点与极大值分别为a,b,则( ) A. B. C. D. 【答案】C 【解析】 , 或 , , 或 , 在 单调递增,在 单调递减, 为极大值点,且 , , , ,故选:C. 7.若对任意的实数 恒成立,则实数 的取值范围是( )A. B. C. D. 【答案】A 【解析】令 , 则 ,令 若 时, 若 时, 所以可知函数 在 递减,在 递增 所以 由对任意的实数 恒成立 所以 故选:A 8.已知函数 ,则( ) A. 在 上为增函数 B. 在 上为减函数 C. 在 上有极大值 D. 在 上有极小值 【答案】A 【解析】 , ,令 ,则 , 因此在 上, , 单减;在 上, , 单增; 又 ,因此 ,即 , 故在 及 上, 单增, 无极值,故选:A 9.设函数 ,若 的极小值为 ,则 ( )A. B. C. D.2 【答案】B 【解析】由已知得: ,令 ,有 ,且 上递减, 上递增,∴ 的极小值为 ,即 ,得 .故选:B. 10.已知 若 ,则 的最大 值是( ) A. B. C. D. 【答案】C 【解析】如图作出 的图象, 依题意, ,注意到 ,且 , 因此 ,其中 , 设 ,当 ,时 ,当 ,时 ,因此 在 上单调递增,在 上单调递减, 则 ,即 的最大值为 故选:C.11.已知函数 有两个不同的极值点 ,且不等式 恒成立,则实数t的取值范围是( ) A. B. C. D. 【答案】A 【解析】 , 因为函数 有两个不同的极值点 , , 所以方程 有两个不相等的正实数根, 于是有 ,解得 . 因为不等式 恒成立, 所以 恒成立. , 设 , ,故 在 上单调递增, 故 ,所以 . 因此实数t的取值范围是 .故选:A12.已知函数 ,则“ ”是“ 有极值”的( ) A.充分不必要条件 B.必要不充分条件 C.充要条件 D.既不充分也不必要条件 【答案】B 【解析】 , , . 若 , 则 恒成立, 为增函数,无极值; 若 ,即 ,则 有两个极值. 所以“ ”是“ 有极值”的必要不充分条件.故选:B 二、填空题 13.已知 ,若 存在极小值,则 的取值范围是_______________________. 【答案】 【解析】 , 若 存在极小值,则 存在极小值, 所以方程 有两个不等的实根, 所以 ,解得: , 所以 的取值范围是 ,故答案为: 14. ,则 的最大值为_____________. 【答案】 【解析】令 , ,则 , 又 ,即 ,故 为半径为 的半圆面积,故 ; 又 是奇函数,根据定积分性质,则 .故 . 则 , ,故当 时, , 单调递增; 当 时, , 单调递减.故 .故答案为: 15.已知函数 的定义域为 ,它的导函数 的图象如图所示,则函数 的极值点有 ______个. 【答案】2 【解析】由导函数的图像可知, 函数的单调递增区间为 , , 单调递减区间为 , 所以 为极大值点, 为极小值点, 所以函数 的极值点有2个.故答案为:2 16.函数 的最小值为______. 【答案】0 【解析】函数 的定义域为 . 当 时, ,此时函数 在 上为减函数, 当 时, , 则 ,所以 在 上单调递增, 在 上是连续函数, 当 时, 单调递减,当 时, 单调递增.当 时 取得最小值为 .故答案为:0. 三、解答题 17.已知函数 , . (1)求 的单调区间,并求当 时, 的最大值; (2)若对任意的 , 恒成立,求 的取值范围. 【解析】(1) 的定义域为 , ,则 , 则当 时, , 单调递增; 当 时, , 单调递减. ∴ 的单调递增区间为 ,单调递减区间为 . 当 时, . (2)由题得当 时, 恒成立, 即 在 上恒成立. 令 , ∵ ,当 时取等号, ∴ ,当 时取等号, ∴ , 当 时等号成立, 取到最小值. 令 ,则 , ∴ 在 上单调递增, 又∵ , ,∴ ,使得 ,∴ . 则 ,∴实数 的取值范围为 . 18.已知函数 . (1)若 存在极值,求实数 的取值范围; (2)若 ,当 时, 恒成立,且 有且只有一个实数解,证明: . 【解析】(1) 的定义域为 ,则 , 则 ,设 , 则 在 上有零点,且 , 所以, ,解得 , 因此,实数 的取值范围为 ; (2)由题意可得 , , 令 ,解得 . 因为 ,所以 , , 所以 在 上有唯一零点 . 当 时, , 在 上单调递增;当 时, , 在 上单调递减. 所以 . 因为 在 上恒成立,且 有且只有一个实数解, 所以 ,即 , 消去 并整理得 . 令 ,则 , , 在 上恒成立,所以 在 上单调递增, 又 , ,所以 . 又 ,且函数 在 上单调递增,所以 . 19.已知函数f(x)=2lnx+1. (1)若f(x)≤2x+c,求c的取值范围; (2)设a>0时,讨论函数g(x)= 的单调性. 【解析】(1)[方法一]【最优解】: 等价于 . 设 ,则 . 当 时, ,所以 在区间 内单调递增; 当 时, ,所以 在区间 内单调递减. 故 ,所以 ,即 ,所以c的取值范围是 . [方法二]:切线放缩 若 ,即 ,即 当 时恒成立, 而 在点 处的切线为 ,从而有 ,当 时恒成立,即 ,则 .所以c的取值范围为 . [方法三]:利用最值求取值范围 函数 的定义域为: , 设 ,则有 , 当 时, 单调递减, 当 时, 单调递增, 所以当 时,函数 有最大值, 即 , 要想不等式 在 上恒成立, 只需 ; 所以c的取值范围为 . (2) 且 因此 ,设 , 则有 , 当 时, ,所以 , 单调递减,因此有 ,即 ,所以 单调递减; 当 时, ,所以 , 单调递增,因此有 ,即 , 所以 单调递减, 所以函数 在区间 和 上单调递减,没有递增区间.20.已知函数 在 处的切线 与直线 平行,函数 . (1)求实数 的值; (2)若函数 存在单调递减区间,求实数 的取值范围; (3)设 是函数 的两个极值点,证明: . 【解析】(1) . 与直线 平行, (2)因为 由题知 在 上有解, ,设 ,则 所以只需 或 故 的取值范围是 . (3)由题知 ,又 有两个极值点, 所以 是 的两个根,且所以要证 即证 即证 即证 即证 令 ,则 设 ,则 ,即 在 上单调递增 ,即 成立 所以原不等式 成立. 21.设函数 , . (1)若 ,求a的值 (2)证明: .【解析】 (1)设 ,则 . 当 时, 在R上单调递增,且 ,当 时, 不符合题意,舍去.当 时,令 ,则 ;令 ,则 .故 在 上单调递减,在 上单调递增, 故 . 若 ,则只需 ,设 , 则 ,所以 在 上单调递增,在 上单调递减,故 , 因此,只有当 时满足题意,即 . (2)由(1)知, , ,当且仅当 时,等号成立. 令 ,代入可得 ,即 . 由(1)知, ,即 ,故 , 因此 ,即 . 22.已知函数 . (1)当f(x)在x=1处取得极值时,求函数f(x)的解析式; (2)当f(x)的极大值不小于 时,求m的取值范围. 【解析】(1)因为 ,所以f′(x)=x2-m2. 因为f(x)在x=1处取得极值,所以f′(1)=1-m2=0(m>0),所以m=1,故 (2)f′(x)=x2-m2.令f′(x)=0,解得x=±m.当x变化时,f′(x),f(x)的变化情况如下表: x (-∞,-m) -m (-m,m) m (m,+∞) f′(x) + 0 - 0 + f(x) ↗ 极大值 ↘ 极小值 ↗ 由上表,得 ,由题意知 ,所以m3≥1,解得m≥1.故 m的取值范围是[1,+∞).