当前位置:首页>文档>第24节直线、平面平行的判定与性质(解析版)_2.2025数学总复习_赠品通用版(老高考)复习资料_一轮复习_备战2023年高考数学一轮复习考点帮(全国通用)

第24节直线、平面平行的判定与性质(解析版)_2.2025数学总复习_赠品通用版(老高考)复习资料_一轮复习_备战2023年高考数学一轮复习考点帮(全国通用)

  • 2026-04-07 06:04:11 2026-03-25 10:21:43

文档预览

第24节直线、平面平行的判定与性质(解析版)_2.2025数学总复习_赠品通用版(老高考)复习资料_一轮复习_备战2023年高考数学一轮复习考点帮(全国通用)
第24节直线、平面平行的判定与性质(解析版)_2.2025数学总复习_赠品通用版(老高考)复习资料_一轮复习_备战2023年高考数学一轮复习考点帮(全国通用)
第24节直线、平面平行的判定与性质(解析版)_2.2025数学总复习_赠品通用版(老高考)复习资料_一轮复习_备战2023年高考数学一轮复习考点帮(全国通用)
第24节直线、平面平行的判定与性质(解析版)_2.2025数学总复习_赠品通用版(老高考)复习资料_一轮复习_备战2023年高考数学一轮复习考点帮(全国通用)
第24节直线、平面平行的判定与性质(解析版)_2.2025数学总复习_赠品通用版(老高考)复习资料_一轮复习_备战2023年高考数学一轮复习考点帮(全国通用)
第24节直线、平面平行的判定与性质(解析版)_2.2025数学总复习_赠品通用版(老高考)复习资料_一轮复习_备战2023年高考数学一轮复习考点帮(全国通用)
第24节直线、平面平行的判定与性质(解析版)_2.2025数学总复习_赠品通用版(老高考)复习资料_一轮复习_备战2023年高考数学一轮复习考点帮(全国通用)
第24节直线、平面平行的判定与性质(解析版)_2.2025数学总复习_赠品通用版(老高考)复习资料_一轮复习_备战2023年高考数学一轮复习考点帮(全国通用)
第24节直线、平面平行的判定与性质(解析版)_2.2025数学总复习_赠品通用版(老高考)复习资料_一轮复习_备战2023年高考数学一轮复习考点帮(全国通用)
第24节直线、平面平行的判定与性质(解析版)_2.2025数学总复习_赠品通用版(老高考)复习资料_一轮复习_备战2023年高考数学一轮复习考点帮(全国通用)
第24节直线、平面平行的判定与性质(解析版)_2.2025数学总复习_赠品通用版(老高考)复习资料_一轮复习_备战2023年高考数学一轮复习考点帮(全国通用)
第24节直线、平面平行的判定与性质(解析版)_2.2025数学总复习_赠品通用版(老高考)复习资料_一轮复习_备战2023年高考数学一轮复习考点帮(全国通用)
第24节直线、平面平行的判定与性质(解析版)_2.2025数学总复习_赠品通用版(老高考)复习资料_一轮复习_备战2023年高考数学一轮复习考点帮(全国通用)
第24节直线、平面平行的判定与性质(解析版)_2.2025数学总复习_赠品通用版(老高考)复习资料_一轮复习_备战2023年高考数学一轮复习考点帮(全国通用)
第24节直线、平面平行的判定与性质(解析版)_2.2025数学总复习_赠品通用版(老高考)复习资料_一轮复习_备战2023年高考数学一轮复习考点帮(全国通用)
第24节直线、平面平行的判定与性质(解析版)_2.2025数学总复习_赠品通用版(老高考)复习资料_一轮复习_备战2023年高考数学一轮复习考点帮(全国通用)
第24节直线、平面平行的判定与性质(解析版)_2.2025数学总复习_赠品通用版(老高考)复习资料_一轮复习_备战2023年高考数学一轮复习考点帮(全国通用)
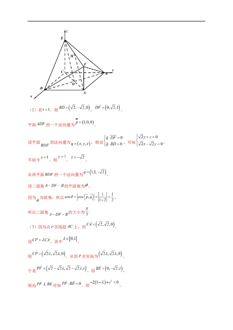
第24节直线、平面平行的判定与性质(解析版)_2.2025数学总复习_赠品通用版(老高考)复习资料_一轮复习_备战2023年高考数学一轮复习考点帮(全国通用)
第24节直线、平面平行的判定与性质(解析版)_2.2025数学总复习_赠品通用版(老高考)复习资料_一轮复习_备战2023年高考数学一轮复习考点帮(全国通用)
第24节直线、平面平行的判定与性质(解析版)_2.2025数学总复习_赠品通用版(老高考)复习资料_一轮复习_备战2023年高考数学一轮复习考点帮(全国通用)
第24节直线、平面平行的判定与性质(解析版)_2.2025数学总复习_赠品通用版(老高考)复习资料_一轮复习_备战2023年高考数学一轮复习考点帮(全国通用)
第24节直线、平面平行的判定与性质(解析版)_2.2025数学总复习_赠品通用版(老高考)复习资料_一轮复习_备战2023年高考数学一轮复习考点帮(全国通用)
第24节直线、平面平行的判定与性质(解析版)_2.2025数学总复习_赠品通用版(老高考)复习资料_一轮复习_备战2023年高考数学一轮复习考点帮(全国通用)
第24节直线、平面平行的判定与性质(解析版)_2.2025数学总复习_赠品通用版(老高考)复习资料_一轮复习_备战2023年高考数学一轮复习考点帮(全国通用)
第24节直线、平面平行的判定与性质(解析版)_2.2025数学总复习_赠品通用版(老高考)复习资料_一轮复习_备战2023年高考数学一轮复习考点帮(全国通用)
第24节直线、平面平行的判定与性质(解析版)_2.2025数学总复习_赠品通用版(老高考)复习资料_一轮复习_备战2023年高考数学一轮复习考点帮(全国通用)
第24节直线、平面平行的判定与性质(解析版)_2.2025数学总复习_赠品通用版(老高考)复习资料_一轮复习_备战2023年高考数学一轮复习考点帮(全国通用)
第24节直线、平面平行的判定与性质(解析版)_2.2025数学总复习_赠品通用版(老高考)复习资料_一轮复习_备战2023年高考数学一轮复习考点帮(全国通用)
第24节直线、平面平行的判定与性质(解析版)_2.2025数学总复习_赠品通用版(老高考)复习资料_一轮复习_备战2023年高考数学一轮复习考点帮(全国通用)

文档信息

文档格式
docx
文档大小
2.010 MB
文档页数
29 页
上传时间
2026-03-25 10:21:43

文档内容

第 24 节 直线、平面平行的判定与性质 基础知识要夯实 1.直线与平面平行 (1)直线与平面平行的定义 直线l与平面α没有公共点,则称直线l与平面α平行. (2)判定定理与性质定理 文字语言 图形表示 符号表示 平面外一条直线与此平面内的 a α,b α, 判定定理 一条直线平行,则该直线平行 a∥b a∥α ⊄ ⊂ 于此平面 ⇒ 一条直线和一个平面平行,则 a∥α,a β,α∩β= 性质定理 过这条直线的任一平面与此平 b a∥b ⊂ 面的交线与该直线平行 ⇒ 2.平面与平面平行 (1)平面与平面平行的定义 没有公共点的两个平面叫做平行平面. (2)判定定理与性质定理 文字语言 图形表示 符号表示 一个平面内的两条相交直线 a α,b α,a∩b= 判定定理 与另一个平面平行,则这两 P,a∥β, ⊂ ⊂ 个平面平行 b∥β α∥β ⇒ 两个平面平行,则其中一个 平面内的直线平行于另一个 α∥β,a α a∥β 平面 ⊂ ⇒ 性质定理 如果两个平行平面同时和第 α∥β,α∩γ=a,β∩γ 三个平面相交,那么它们的 =b a∥b 交线平行 ⇒ 核心素养要做实考点一 直线与平面平行的判定与性质 【例1】在如图所示的几何体中,四边形 ABCD是正方形,PA⊥平面ABCD,E,F分别是线段 AD,PB的中点,PA=AB=1. (1)证明:EF∥平面PDC; (2)求点F到平面PDC的距离. 【解析】(1)证明 取PC的中点M,连接DM,MF, ∵M,F分别是PC,PB的中点,∴MF∥CB,MF= CB, ∵E为DA的中点,四边形ABCD为正方形, ∴DE∥CB,DE= CB, ∴MF∥DE,MF=DE,∴四边形DEFM为平行四边形, ∴EF∥DM,∵EF 平面PDC,DM 平面PDC, ∴EF∥平面PDC. ⊄ ⊂ (2)解 ∵EF∥平面PDC,∴点F到平面PDC的距离等于点E到平面PDC的距离. ∵PA⊥平面ABCD,∴PA⊥DA,在Rt PAD中,PA=AD=1,∴DP= . ∵PA⊥平面ABCD,∴PA⊥CB,∵CB⊥AB,PA∩AB=A,∴CB⊥平面PAB, △ ∴CB⊥PB,则PC= ,∴PD2+DC2=PC2, ∴△PDC为直角三角形, ∴S = ×1× = . PDC 连接△EP,EC,易知V =V ,设E到平面PDC的距离为h, E-PDC C-PDE ∵CD⊥AD,CD⊥PA,AD∩PA=A,∴CD⊥平面PAD, 则 ×h× = ×1× × ×1,∴h= , ∴点F到平面PDC的距离为 . 【例2】如图所示,在正方体ABCD-ABC D 中,棱长为2,E,F分别是棱DD ,C D 的中点. 1 1 1 1 1 1 1(1)求三棱锥B-ABE的体积; 1 1 (2)试判断直线BF与平面ABE是否平行,如果平行,请在平面ABE上作出与BF平行的直线,并 1 1 1 1 说明理由. 【解析】(1)如图所示,V =V = S · DA= × ×2×2×2= . B1-A1BE E-A1B1B A1B1B △ (2)BF∥平面ABE.延长AE交AD延长线于点H,连BH交CD于点G,则BG就是所求直线.证明如 1 1 1 下: 因为BA∥平面CDD C ,平面ABH∩平面CDD C =GE,所以AB∥GE. 1 1 1 1 1 1 1 又AB∥CD,所以GE∥CD. 1 1 1 又E为DD 的中点,则G为CD的中点. 1 故BG∥BF,BG就是所求直线. 1 【方法技巧】1.利用判定定理判定线面平行,关键是找平面内与已知直线平行的直线.常利用三角形 的中位线、平行四边形的对边或过已知直线作一平面找其交线. 2.在解决线面、面面平行的判定时,一般遵循从“低维”到“高维”的转化,即从“线线平行”到 “线面平行”,再到“面面平行”;而在应用性质定理时,其顺序恰好相反. 【跟踪训练】 1.(2020·江苏卷)如图,在三棱锥A-BCD中,AB⊥AD,BC⊥BD,平面ABD⊥平面BCD,点E, F(E与A,D不重合)分别在棱AD,BD上,且EF⊥AD. 求证:(1)EF∥平面ABC; (2)AD⊥AC. 【解析】(1)在平面ABD内,AB⊥AD,EF⊥AD, 则AB∥EF. ∵AB 平面ABC,EF 平面ABC, ⊂ ⊄∴EF∥平面ABC. (2)∵BC⊥BD,平面ABD∩平面BCD=BD,平面ABD⊥平面BCD,BC 平面BCD, ∴BC⊥平面ABD. ⊂ ∵AD 平面ABD,∴BC⊥AD. 又AB⊥AD,BC,AB 平面ABC,BC∩AB=B, ⊂ ∴AD⊥平面ABC, ⊂ 又因为AC 平面ABC,∴AD⊥AC. 考点二 面面平行的判定与性质 ⊂ 【例2】如图所示,在三棱柱ABC-ABC 中,E,F,G,H分别是AB,AC,AB ,AC 的中点, 1 1 1 1 1 1 1 求证: (1)B,C,H,G四点共面; (2)平面EFA∥平面BCHG. 1 【解析】(1)∵G,H分别是AB,AC 的中点, 1 1 1 1 ∴GH是△ABC 的中位线,则GH∥BC . 1 1 1 1 1 又∵BC ∥BC, 1 1 ∴GH∥BC,∴B,C,H,G四点共面. (2)∵E,F分别为AB,AC的中点,∴EF∥BC, ∵EF 平面BCHG,BC 平面BCHG, ∴EF∥平面BCHG. ⊄ ⊂ 又G,E分别为AB,AB的中点,AB 綉AB, 1 1 1 1 ∴AG綉EB, 1 ∴四边形AEBG是平行四边形,∴AE∥GB. 1 1 ∵AE 平面BCHG,GB 平面BCHG, 1 ∴AE∥平面BCHG.又∵AE∩EF=E, 1 ⊄ ⊂1 ∴平面EFA∥平面BCHG. 1 【方法技巧】1.判定面面平行的主要方法 (1)利用面面平行的判定定理. (2)线面垂直的性质(垂直于同一直线的两平面平行). 2.面面平行条件的应用 (1)两平面平行,分析构造与之相交的第三个平面,交线平行.(2)两平面平行,其中一个平面内的任意一条直线与另一个平面平行. 提醒 利用面面平行的判定定理证明两平面平行,需要说明是在一个平面内的两条直线是相交直线. 【跟踪训练】 1.如图,四棱锥P-ABCD中,底面ABCD是直角梯形,AB∥CD,AB⊥AD,AB=2CD=2AD=4, 侧面PAB是等腰直角三角形,PA=PB,平面PAB⊥平面ABCD,点E,F分别是棱AB,PB上的点, 平面CEF∥平面PAD. (1)确定点E,F的位置,并说明理由; (2)求三棱锥F-DCE的体积. 【解析】(1)因为平面CEF∥平面PAD,平面CEF∩平面ABCD=CE, 平面PAD∩平面ABCD=AD, 所以CE∥AD,又AB∥DC, 所以四边形AECD是平行四边形, 所以DC=AE= AB, 即点E是AB的中点. 因为平面CEF∥平面PAD,平面CEF∩平面PAB=EF,平面PAD∩平面PAB=PA, 所以EF∥PA,又点E是AB的中点, 所以点F是PB的中点. 综上,E,F分别是AB,PB的中点. (2)连接PE,由题意及(1)知PA=PB,AE=EB, 所以PE⊥AB,又平面PAB⊥平面ABCD,平面PAB∩平面ABCD=AB, 所以PE⊥平面ABCD. 又AB∥CD,AB⊥AD, 所以V = V = S ×PE= × ×2×2×2= . F-DEC P-DEC DEC ∴CE=1. △ 达标检测要扎实 一、单选题 1.设 是直线, 是平面,则能推出 的条件是( ) A.存在一条直线 , , B.存在一条直线 , ,C.存在一个平面 , , D.存在一个平面 , , 【答案】C 【解析】对于A,若 ,可满足 , ,但无法得到 ,A错误; 对于B,若 ,可满足 , ,但无法得到 ,B错误; 对于C,由面面平行的性质知:若 , ,则 ,C正确; 对于D,若 ,可满足 , ,但无法得到 ,D错误.故选:C. 2.如图,正方体 中,E为AB中点,F在线段 上.给出下列判断:①存在点F A B C D 使得 平面 ;②在平面 1 1 1 1内总存在与平面 平行的直线;③平面 与平面 ABCD所成的二面角(锐角)的大小与点F的位置无关;④三棱锥 的体积与点F的位置无 关.其中正确判断的有( ) A.①② B.③④ C.①③ D.②④ 【答案】D 【解析】对于①,假设存在F使得 ⊥平面 ,则 ⊥ ,又 ⊥ , ∩ = , ∴ ⊥平面 ,则 ⊥ ,这与 ⊥ 矛盾,所以①错误; A B C D A B C D 对于②,因为平面 与平面 1 1 1 1相交,设交线为 ,则在平面 1 1 1 1内与 平行的直线平 行于平面 ,故②正确;对于③,以 点为坐标原点,以 所在直线为 轴, 所在直线为 轴, 所在直线为 轴, 建立空间坐标系,则平面 的法向量为 而平面 的法向量 ,随着 位置变化, 故平面 与平面 所成的二面角(锐角)的大小与点 的位置有关,故③错误; 对于④,三棱锥 的体积即为三棱锥 ,因为 ∥平面 ,所以,当 在线 段 上移动时, 到平面 的距离不变,故三棱锥 的体积与点 的位置无关,即 ④正确.故选:D. 3.如图是长方体被一平面所截得到的几何体,四边形 为截面,长方形 为底面,则四 边形 的形状为( ) A.梯形 B.平行四边形 C.可能是梯形也可能是平行四边形 D.矩形 【答案】B 【解析】因为平面 //平面 ,且平面 平面 ,平面 平面 ,根据面面平行的性质可知 // ,同理可证明 // . 所以四边形 为平行四边形.故选:B. 4.如图,ABCD﹣ABC D 为正方体,则以下结论:①BD∥平面CB D;②AC ⊥BD;③AC ⊥平 1 1 1 1 1 1 1 1 面CB D 其中正确结论的个数是( ) 1 1A.0 B.1 C.2 D.3 【答案】D 【解析】由正方体的性质得BD∥ ,所以结合线面平行的判定定理可得:BD∥平面 ;所 以①正确. 由正方体的性质得 AC⊥BD, ⊥BD,可得 ⊥平面 ,所以 ⊥BD,所以②正确. 由正方体的性质得 BD∥ ,由②可得 ⊥BD,所以 ⊥ ,同理可得 ,进而 结合线面垂直的判定定理得到: ⊥平面 ,所以③正确.故选:D. 5.平面 ∥平面 , ,则直线 和 的位置关系( ) A.平行 B.平行或异面 C.平行或相交 D.平行或相交或异面 【答案】B 【解析】∵平面 平面 ,∴平面 与平面 没有公共点∵ , ,∴直线 , 没有公共点 ∴直线 , 的位置关系是平行或异面,故选:B. 6.如图,在正三棱台 中, , , . , 分别是 , 的 中点,则( ) A.直线 平面 ,直线 与 垂直 B.直线 平面 ,直线 与 所成角的大小是 C.直线 与平面 相交,直线 与 垂直 D.直线 与平面 相交,直线 与 所成角的大小是 【答案】B 【解析】取 中点 ,连接 , ,由题意可知, , , 所以平面 平面 , 所以直线 平面 , 取 中点 , 中点 , 中点 ,连接 , , , , , 易知 , , 所以直线 与直线 所成角即为直线 与 所成角, 在等腰梯形 中, , , ,可得 , , , 分别为 , 中点,所以 , 同理: , 在等腰梯形 中, , , ,可得 , 在 中, , , 由余弦定理可得: , 所以 ,即直线 与直线 所成角的大小是 , 因此直线 与 所成角的大小是 ,故选:B. 7.给出以下四个命题,能判断平面α和平面β平行的条件是 A.α内有无数条直线都与β平行 B.α内的任一条直线都与β平行 C.直线 ,直线 ,且 , D.直线 ,且 【答案】B 【解析】A.平面 内有无数条直线与平面 平行时,两个平面可能平行也可能相交,故A不满足条 件; B.平面 内的任何一条直线都与平面 平行,则能够保证平面 内有两条相交的直线与平面 平行,故B满足条件; C. 直线 ,直线 ,且 , ,则两个平面可能平行也可能相交,故C不满足条件; D. 直线 ,且 ,则两平面可能相交或平行,故D不满足条件故选:B. 8.如图,在棱长为 的正方体 中,点 在线段 上运动,则下列命题中错误的 是( ) A.直线 和平面 所成的角为定值 B.点 到平面 的距离为定值 C.异面直线 和 所成的角为定值 D.直线 和平面 平行 【答案】A 【解析】对A,由 平面 ,当点 分别在点 或 时,线面角不一致,故A错误; 对B,由 // , 平面 , 平面 ,所以 //平面 , 所以点 到平面 的距离为直线 上任意点到平面 的距离,故B正确 对C,由平面 即平面 , , ,平面 ,所以 平面 ,所以 ,故C正确 对D,由平面 即平面 , // , 平面 , 平面 ,所以 //平面 ,所以D正确故选:A 二、多选题 9.在正方体 中,点P在线段 上运动,则下列命题正确的是( ) A.异面直线 和 所成的角为定值 B.直线 和平面 相交 C.三棱锥 的体积为定值 D.直线 和直线 可能相交 【答案】AC 【解析】对于A,因为在正方体 中, , , 又 , , 平面 ,所以 平面 , 而 平面 ,所以 , 故这两个异面直线所成的角为定值90°,所以A正确; 对于B,因为平面 与面 是同一平面, , 平面 , 平面 , 故 平面 ,即 平面 ,故B错误; 对于C,三棱锥 的体积等于三棱锥 的体积, 而平面 为固定平面,且 大小一定, 又因为 ,因为 , 平面 , 平面 , 所以 平面 , 所以点A到平面 的距离即为点P到该平面的距离,为定值, 所以三棱锥 的体积为定值,故C正确; 对于D,直线 和直线 是异面直线,不可能相交,故D错误. 故选:AC. 10.如图,已知四棱锥 中, 平 , , , 为 中点, 在 上, , ,则下列结论正 确的是( ) A. 面 B. 与平面 所成角为30°C.四面体 的体积为 D.平面 平面 【答案】ACD 【解析】对于A,连结 , ,因为 , , 所以 , ,故 , 同理可得 ,故 , 所以F为 的中点,又E为 的中点,故 , 又 平面 , 平面 ,故 平面 , 又因为 , , 所以 ,故 , 又 平面 , 平面 ,故 平面 , 又 , , 平面 , 所以平面 平面 ,又 平面 ,所以 平面 ,故A正确; 对于B,因为 平面 ,所以 与平面 所成的角即为 , 因为 ,所以 ,则 , 又 ,故 ,故选项B错误; 对于C, , 因为 平面 , ,所以 平面 , 又 ,所以 , 故 ,故选项C正确; 对于D,因为 平面 , 平面 ,所以 , 又因为 , , , 平面 , 所以 平面 ,又 平面 , 所以平面 平面 ,故选项D正确. 故选:ACD.11.如图,在正四棱锥 中, , , 分别是 , , 的中点,动点 在线段 上运动时,下列四个结论中恒成立的为( ). A. B. C. 面 D. 面 【答案】AC 【解析】如图所示,连接 、 相交于点 ,连接 , . 由正四棱锥 ,可得 底面 , ,所以 . 因为 ,所以 平面 , 因为 , , 分别是 , , 的中点, 所以 , ,而 , 所以平面 平面 ,所以 平面 ,所以 ,故A正确; 由异面直线的定义可知: 与 是异面直线,不可能 ,因此B不正确; 平面 平面 ,所以 平面 ,因此C正确; 平面 ,若 平面 ,则 ,与 相矛盾, 因此当 与 不重合时, 与平面 不垂直,即D不正确. 故选:AC.12.如图,已知正方体 ,则四个推断正确的是( ) A. B. C.平面 平面 D.平面 平面 【答案】BCD 【解析】在正方体 中, 对于A,由正方体的性质可知 , 所以 即为异面直线 与 所成的角, 在 中显然 ,所以 与 成 角,故A错误;对于B, , , ,故B正确; 对于C, , , 、 平面 , 、 平面 , ∴ 平面 , 平面 ,又 , 平面 平面 ,故C正确; 对于D, , , , 平面 , 所以 平面 ,又 平面 平面 平面 ,故D正确.故选:BCD. 三、填空题 13.已知 , , 是三条不同的直线, , , 是三个不同的平面,有下列命题: ① ;②若 , ,则 ; ③ , ,则 ;④直线 ,直线 ,那么 ; ⑤若 , , ,则 ;⑥若 , ,则 . 其中正确的说法为______(填序号) 【答案】①⑥ 【解析】对于①,根据平行的性质有: ,即 ,故①正确; 对于②,由 得 或 相交,故②错误; 对于③,由 得 ,或 异面,故③错误; 对于④,由直线 ,直线 ,可得 , 异面, 相交,故④错误; 对于⑤,由 ,得 或 相交,故⑤错误; 对于⑥,若 ,由面面平行的传递性得 ,故⑥正确, 故答案为:①⑥.14.如图,正方体 的棱长为1, , 分别是棱 , 的中点,过直线 的 平面分别与棱 , 交于点 , ,设 ,给出下列四个结论: ①四边形 一定为菱形; ②若四边形 的面积为 , ,则 有最大值; ③若四棱锥 的体积为 , ,则 为单调函数; ④设 与 交于点 ,连接 ,在线段 上取点 ,在线段 上取点 ,则 的 最小值为 . 其中所有正确结论的序号是________. 【答案】①④ 【解析】① 平面 ∥平面 ,平面 平面 =EN,平面 平面 =MF, .同理可证 . 四边形 为平行四边形.连接MN、AC、BD、 :∵四边形ABCD是正方形,∴AC⊥BD, ∵ ⊥平面ABCD,∴ ⊥AC, ∵ BD=B,∴AC⊥平面 , ∵MN 平面 ,∴AC⊥MN. ∵EA与FC平行且相等, ∴ACFE是平行四边形, ∴AC∥EF, ∴EF垂直MN, ∴MEFN是菱形.故①正确. ②四边形 面积 ,EF为定值,当 为B或 时,即x=0或x=1时, 最长,此时面积最大,但0<x<1,即M不能取线段 的端点,∴四边形MENF面积无最大 值.故②错误. ③连结 、 、 ,则四棱锥被分割成两个小的三棱锥,它们是都以 为底,以 、 分别为顶点的两个三棱锥.△ 的面积是一个定值. 同②中证明AC⊥平面 ,也可证明BD⊥平面 , 则B到平面AEF的距离即为 . ∵B ∥A ,∴B ∥平面AEF, ∴M到平面AEF的距离即为B到平面AEF的距离 , 同理N到平面AEF的距离也为 , ∴ 、 到平面 的距离之和是定值BD, ∴四棱锥 的体积为常数.故③错误. ④如图,将Rt 沿着 翻转到与矩形 在同一平面,过 作 于Q,交 于 ,则此时 最短.过 作 于 , 则四边形 是直角梯形, 由题可知 是 中点, 是梯形的中位线,∴ 设 ,设 在 中, , , , ∴在 中, ∴ .故④正确. 故答案为:①④. 15.已知直线m,n,平面α,β,若 , , ,则直线m与n的关系是___________ 【答案】平行或异面 【解析】由题意, , , 故直线m与n没有交点 故直线m与n平行或异面 故答案为:平行或异面16.如图是正方体的平面展开图,在这个正方体中,有以下结论: ① 平面DE; ② 平面AF; ③平面 平面AFN; ④平面 平面NCF. 其中正确结论的序号是______. 【答案】①②③④. 【解析】如图, 对①,因为 ,所以四边形 是平行四边形,所以 ,而 平 面DE, 平面DE,则 平面DE.正确; 对②,因为 ,所以四边形 是平行四边形,所以 ,而 平面 AF, 平面AF,则 平面AF.正确; 对③,因为 ,所以四边形 是平行四边形,所以 , 又因为 ,所以四边形 是平行四边形,所以 ,而 ,所以平面BDM∥平面AFN.正确;对④,因为 ,所以四边形 是平行四边形,所以 ,同由③: ,而 ,所以平面 平面NCF.正确. 故答案为:①②③④. 四、解答题 17.如图所示,已知四棱柱 的底面 为菱形. (1)证明:平面 平面 ; (2)在直线 上是否存在点 ,使 平面 ?若存在,确定点 的位置;若不存在,说明 理由. 【解析】(1)由棱柱 的性质可知, , ∵ 平面 , 平面 , ∴ 平面 , 同理可证 平面 ,而 , 平面 , ∴平面 平面 ; (2)存在这样的点 ,使 平面 , ∵ , ∴四边形 为平行四边形,∴ ,如图所示: 在 的延长线上取点 ,使 ,连接 , ∵ , = ,∴ , ∴四边形 为平行四边形,则 , ∴ ,又 平面 平面 ,∴ 平面 . 18.已知空间四边形 中, 分别是 、的中点,且 . (1)判断四边形 的形状,并加以证明; (2)求证: 平面 . 【解析】(1)证明:取AC的中点为G,连结GE,GB,在△ACC 中,EG为中位线,所以EG CC , , 1 1 又因为CC BB,CC =BB,F为BB 的中点, 1 1 1 1 1 所以EG BF,EG=BF, 所以四边形EFBG为平行四边形, 所以EF GB,又EF 平面ABC,GB 平面ABC, 所以EF 平面ABC. (2)因为E为AC 的中点, 1 所以E到底面ABC的距离是C 到底面ABC的距离的一半, 1 即三棱锥 平面 , , . 21.如图,已知正方形 和矩形 所在的平面互相垂直, , , 是线段 的中点. (1)求证: 平面 ; (2)若 ,求二面角 的大小;(3)若线段 上总存在一点 ,使得 ,求 的最大值. 【解析】(1)法一:设 ,连结 , , 因为矩形 中 是线段 的中点, 是线段 的中点, 所以 , ,所以 为平行四边形, 故 , 又 平面 , 平面 , 所以 平面 ; 法二:由题意,正方形 和矩形 所在的平面互相垂直, 因为平面 平面 , ,所以 平面 , 以 为 轴, 为 轴, 为 轴,建立如图所示空间直角坐标系, 因为 , , 是线段 的中点, 则 , , , , , , 从而 , , , , 设平面 的法向量为 ,则由 ,可知 , 不妨令 ,则 , ,从而平面 的一个法向量为 , 计算可知 ,又 平面 , 所以 ,从而 平面 .(2)若 ,则 , , 平面 的一个法向量为 , 设平面 的法向量为 ,则由 ,可知 , 不妨令 ,则 , , 从而平面 的一个法向量为 , 设二面角 的平面角为 , 因为 为锐角,所以 , 所以二面角 的大小为 . (3)因为点 在线段 上,而 , 设 ,其中 , 则 ,从而 点坐标为 , 于是 ,而 , 则由 可知 ,即 ,所以 ,解得 ,故 的最大值为 .