当前位置:首页>文档>19.3课题学习-选择方案(原卷)_初中数学人教版_八年级数学下册_保存转存之后查看(1)_8下-初中数学人教版(2026春新版持续更新)_旧版-可参考_05学案_导学案(第1套)

19.3课题学习-选择方案(原卷)_初中数学人教版_八年级数学下册_保存转存之后查看(1)_8下-初中数学人教版(2026春新版持续更新)_旧版-可参考_05学案_导学案(第1套)

  • 2026-04-03 02:52:43 2026-03-26 00:58:36

文档预览

19.3课题学习-选择方案(原卷)_初中数学人教版_八年级数学下册_保存转存之后查看(1)_8下-初中数学人教版(2026春新版持续更新)_旧版-可参考_05学案_导学案(第1套)
19.3课题学习-选择方案(原卷)_初中数学人教版_八年级数学下册_保存转存之后查看(1)_8下-初中数学人教版(2026春新版持续更新)_旧版-可参考_05学案_导学案(第1套)
19.3课题学习-选择方案(原卷)_初中数学人教版_八年级数学下册_保存转存之后查看(1)_8下-初中数学人教版(2026春新版持续更新)_旧版-可参考_05学案_导学案(第1套)
19.3课题学习-选择方案(原卷)_初中数学人教版_八年级数学下册_保存转存之后查看(1)_8下-初中数学人教版(2026春新版持续更新)_旧版-可参考_05学案_导学案(第1套)
19.3课题学习-选择方案(原卷)_初中数学人教版_八年级数学下册_保存转存之后查看(1)_8下-初中数学人教版(2026春新版持续更新)_旧版-可参考_05学案_导学案(第1套)
19.3课题学习-选择方案(原卷)_初中数学人教版_八年级数学下册_保存转存之后查看(1)_8下-初中数学人教版(2026春新版持续更新)_旧版-可参考_05学案_导学案(第1套)
19.3课题学习-选择方案(原卷)_初中数学人教版_八年级数学下册_保存转存之后查看(1)_8下-初中数学人教版(2026春新版持续更新)_旧版-可参考_05学案_导学案(第1套)
19.3课题学习-选择方案(原卷)_初中数学人教版_八年级数学下册_保存转存之后查看(1)_8下-初中数学人教版(2026春新版持续更新)_旧版-可参考_05学案_导学案(第1套)

文档信息

文档格式
docx
文档大小
0.086 MB
文档页数
8 页
上传时间
2026-03-26 00:58:36

文档内容

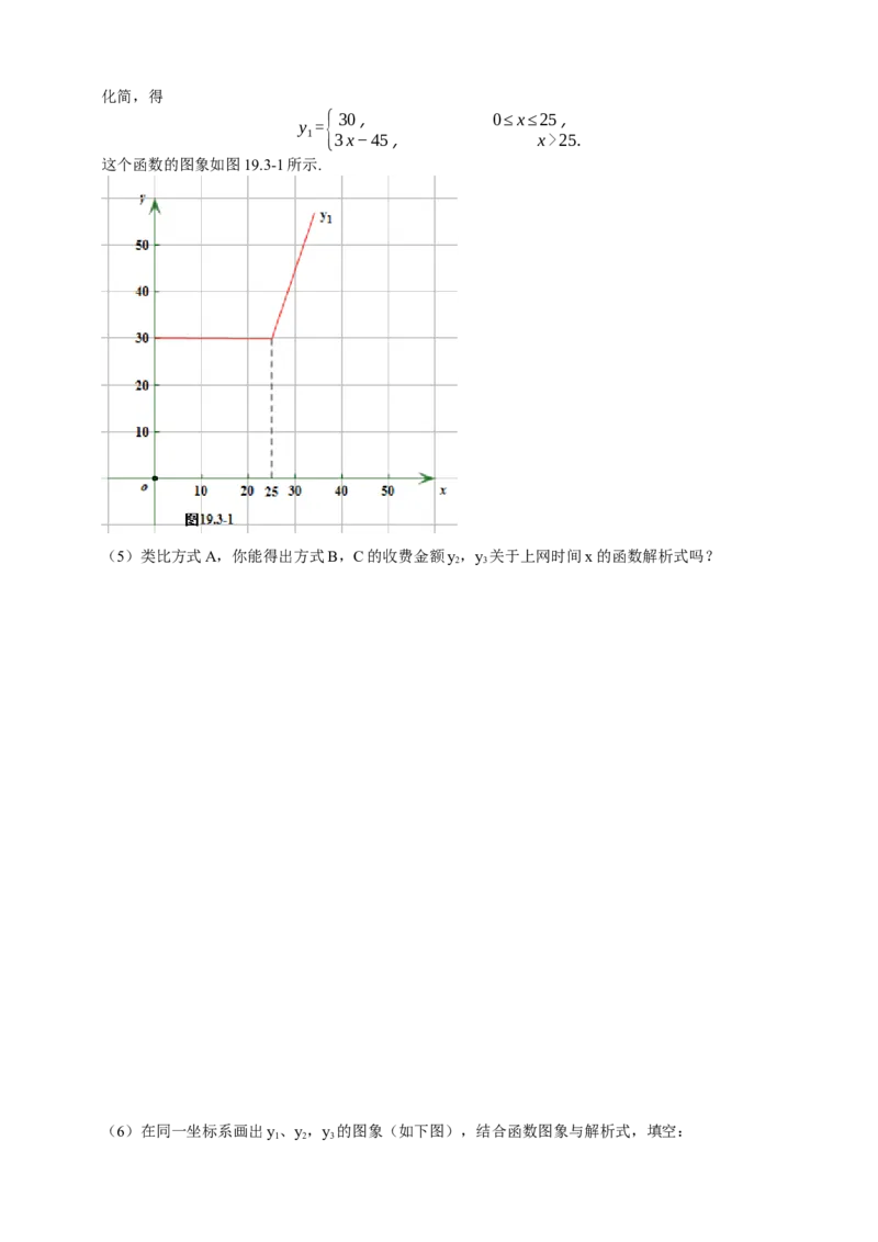
第十九章 一次函数 19.3 课题学习 选择方案 一、温故知新(导) 做一件事情,有时有不同的实施方案.比较这些方案,从中选择最佳方案作为行动计划,是非常 必要的.应用数学的知识和方法对各种方案进行比较分析,如何从中选择最佳方案?这是今天我们要 学的内容,下面我们来看看今天的学习目标和重难点. 学习目标 1、 会用一次函数知识解决方案选择问题,体会函数模型思想. 2、学会综合运用一次函数与方程(组)、不等式(组)等知识解决方案设计问题. 学习重难点 重点:用一次函数知识解决方案选择问题,体会函数模型思想; 难点:综合运用一次函数与方程(组)、不等式(组)等知识解决方案设计问题. 二、自我挑战(思) 1、问题1 怎样选取上网收费方式? 表19-13给出A、B、C三种上宽带网的收费方式. 表19-13 收费方式 月使用费/元 包时上网时间/h 超时费/(元/min) A 30 25 0.05 B 50 50 0.05 C 120 不限时 选取哪种方式能节省上网费? (1)哪种方式上网费是会变化的?哪种不变? (2)方案C上网费是多少钱? (3)方式A,B中,上网费由哪些部分组成? (4)设月上网时间为xh,则方案A,B的收费金额y ,y 都是x的函数.要比较它们,需在x>0的 1 2 条件下,考虑何时①y=y,②y<y,③y>y. 1 2 1 2 1 2 方 案 A 的 收 费 函 数 解 析 式 为 : y ={30, 0≤x≤25, 1 30+0.05×60(x−25), x>25.化简,得 y ={30, 0≤x≤25, 1 3x−45, x>25. 这个函数的图象如图19.3-1所示. (5)类比方式A,你能得出方式B,C的收费金额y,y 关于上网时间x的函数解析式吗? 2 3 (6)在同一坐标系画出y、y,y 的图象(如下图),结合函数图象与解析式,填空: 1 2 3当上网时间 时,选择方式A省钱; 当上网时间 时,选择方式B省钱; 当上网时间 时,选择方式C省钱. 2、问题2 怎样租车? 某学校计划在总费用 2 300 元的限额内,租用汽车送 234 名学生和 6 名教师集体外出活动,每辆 汽车上至少要有 1 名教师.现有甲、乙两种大客车,它们的载客量和租金如表所示. 甲种客车 乙种客车 载客量/(单位:人/辆) 45 30 租金/(单位:元/辆) 400 280 (1)一共需要租多少辆汽车?(2)给出最节省费用的租车方案? ① 要保证 240 名师生都有车坐,汽车总数不能小于 辆;要使每辆汽车上至少有 1 名教师, 汽车总数不能大于 辆. ②设租车费用为y元,租用x辆甲种客车,则乙车(6‒x)辆. 则y=400x+280(6‒x), 化简,得 . ③要保证 240 名师生都有车坐,则45x+30(6‒x)≥240,解得 ; 总费用不超过2300元,则120x+1680≤2300,解得 .1 ④由②、③可得:y=120x+1680(4≤x≤5 ) 6 你能得出几种不同的租车方案?为节省费用应选择其中哪个方 案?试说明理由. 三、互动质疑(议、展) 1、在问题2中,哪个方案最省钱能否用一次函数的性质来判断? 2、归纳总结 (1)建立函数模型解决实际问题:解决含有多个变量的问题时,可以分析这些变量之间的关系, 从中选取一个取值能影响其他变量的值作为自变量.然后根据问题的条件寻求可以反映实际问题的函 数,以此作为解决问题的数学模型. (2)应用一次函数性质选择最佳方案的一般步骤 特别提醒:对于方案的比较问题,既可以用分类讨论的思想列不等式求解,也可以根据在同一平面 直角坐标系中它们所对应的函数图象的情况得出结论. 3、实例: 例1 在加快“复工复产”的行动中,某通讯运营商的手机上网流量资费标准推出了三种优惠方 案: 方案A:按流量计费,0.1元/M; 方案B:20元流量套餐包月,包含500M流量,如果超过500M,超过部分另外计费(见图 象),如果用到1000M时,超过1000M的流量不再收费; 方案C:120元包/月,无限制使用. 用x表示每月上网流量(单位:M),y表示每月的流量费用(单位:元),方案 B和方案C 对应的y关于x的函数图象如图所示,请解决以下问题: (1)写出方案A的函数解析式 ,并在图中画出其图象; (2)若小明奶奶每月使用流量在 300-600M之间,请通过计算给出经济合理的选择方案. (3)小明爸爸根据自己平时使用流量的情况,决定采用最经济的方案是 C,则他每月使用流 量最可能的范围是 .(直接写出答案)例2 某工程机械厂根据市场要求,计划生产 A、B两种型号的大型挖掘机共100台,该厂所 筹生产资金不少于22400万元,但不超过22500万元,且所筹资金全部用于生产这两种型号 的挖掘机,所生产的这两种型号的挖掘机可全部售出,此两种型号挖掘机的生产成本和售价 如下表所示: 型号 A B成本(万元/台) 200 240 售价(万元/台) 250 300 (1)该厂对这两种型号挖掘机有几种生产方案? (2)该厂如何生产获得最大利润? (3)根据市场调查,每台B型挖掘机的售价不会改变,每台 A型挖掘机的售价将会提高m 万元(m>0),该厂如何生产可以获得最大利润?(注:利润=售价-成本) 四、清点战果(评) 今天你是否完成了学习目标?你的困惑解决了没? 五、一战成名(检) 1、疫情的发生,各地积极响应政府“管住门,看住人”的要求,温华物业管理有限公司,对管 辖的各小区实行门绳拦截管理,对符合 3天出门一次采购生活用品的人员才能签证放行,为 此,他们要把长19米的绳子剪成2米或1米的绳子,分发给各小区,请帮助公司设计有( )裁剪方案. A.10 B.9 C.8 D.7 2、小华去商店购买A、B两种玩具,共用了12元,A种玩具每件1元,B种玩具每件3元. 若每种玩具至少买一件,且 A种玩具的数量不少于B种玩具的数量,则小华的购买方案有( ) A.7种 B.6种 C.4种 D.3种 3、小宜跟几位同学在学校食堂吃饭,如下为食堂提供的套餐菜单,他们一共点了 10份盖饭, 6杯饮料.若A、B、C套餐均至少点了两份,则点餐方案有 种. A套餐:一份盖饭加一杯饮料 B套餐:一份盖饭加一份凉拌菜 C套餐:一份盖饭加一杯饮料与一份凉拌菜 4、某工程机械厂根据市场需求,计划生产A、B两种型号的大型挖掘机共 100台.据了解, 生产2台A型号大型挖掘机和3台B型号的大型挖掘机,需要资金1120万元;生产1台A型 号大型挖掘机和4台B型号的大型挖掘机,需要资金1160万元.(此两型挖掘机的售价如下表,注:利润=售价-成本) 型号 A B 售价(万元/台) 250 300 (1)求A、B两种型号的大型挖掘机每台的成本价; (2)若该厂所筹生产资金不少于 22200万元,但不超过22500万元,且所筹资金全部用于生 产此两种型号挖掘机,所生产的此两种型号挖掘机可全部售出,则该厂对这两型挖掘机有几 种生产方案? (3)在(2)的前提下,根据市场调查,每台 B型挖掘机的售价不会改变,每台 A型挖掘机 的售价将会提高m万元(m>0),该厂应该如何生产获得最大利润?直接写出生产方案. 六、用 (一)必做题 1、某学校准备购进单价分别为5元和7元的A、B两种笔记本共50本作为奖品发放给学生, 要求A种笔记本的数量不多于B种笔记本数量的3倍,不少于B种笔记本数量的2倍,则不 同的购买方案种数为( ) A.1 B.2 C.3 D.4 2、某超市看好甲、乙两种有机蔬菜的市场价值,经调查甲种蔬菜进价每千克10元,售价每 千克16元;乙种蔬菜进价每千克14元,售价每千克18元,该超市决定每天购进甲、乙两种 蔬菜共100千克,准备投入资金不少于1180元,要求利润也不少于500元,设购买甲种蔬菜 x千克(x为整数),则有( )不同的购买方案. A.3种 B.4种 C.5种 D.6种 3、为了美化校园,学校决定利用现有的2660盆甲种花卉和3000盆乙种花卉搭配A、B两种 园艺造型共50个摆放在校园内,已知搭配一个A种造型需甲种花卉70盆,乙种花卉30盆, 搭配一个B种造型需甲种花卉40盆,乙种花卉80盆.则符合要求的搭配方案有 种. 4、某商店准备购进 A、B两种商品,A商品每件的进价比 B商品每件的进价多 20元,已知进 货 30 件 A 商品和 30 件 B 商品一共用去用 2400 元,商店将 A 种商品每件售价定为 80 元,B 种商品每件售价定为45元. (1)A商品每件的进价和B商品每件的进价各是多少元? (2)商店计划用不超过 1520元的资金购进 A、B两种商品共 40件,其中 A种商品的数量不 低于B种商品数量的一半,该商店有哪几种进货方案?(3)在(2)的条件下,商品全部售出,哪种进货方案获利最大?最大利润为多少元? (二)选做题 5、为迎接校园科技节的到来,学校科技社团欲购买甲、乙两种模型进行组装,已知3套甲模 型的总价与2套乙模型的总价相等,若购买1套甲模型和2套乙模型共需80元. (1)求甲、乙两种模型的单价各是多少元? (2)现计划用19320元资金,在不超过预算的情况下,购买这两种模型共800套,且乙种模 2 型的数量不少于甲种模型数量的 ,求两种模型共有多少种选购方案?乙种模型选购多少套时 3 总费用最少? 6、为了响应习主席提出的“足球进校园”的号召,某中学开设了“足球大课间活动”,该中学购 买A种品牌的足球30个,B种品牌的足球20个,共花费3100元,已知B种品牌足球的单价 比A种品牌足球的单价高30元. (1)求A、B两种品牌足球的单价各多少元? (2)根据需要,学校决定再次购进A、B 两种品牌的足球 50 个,正逢体育用品商店“优惠促 销”活动,A 种品牌的足球单价优惠 4 元,B 种品牌的足球单价打 8 折.如果此次学校购买 A、B两种品牌足球的总费用不超过2750元,且购买B种品牌的足球不少于24个,则有几种 购买方案?为了节约资金,学校应选择哪种方案?