当前位置:首页>文档>第七章数列(综合检测)一轮复习讲义2024年高考数学高频考点题型归纳与方法总结(新高考通用)参考答案_2.2025数学总复习_2024年新高考资料_1.2024一轮复习

第七章数列(综合检测)一轮复习讲义2024年高考数学高频考点题型归纳与方法总结(新高考通用)参考答案_2.2025数学总复习_2024年新高考资料_1.2024一轮复习

  • 2026-04-03 03:32:59 2026-03-26 09:47:48

文档预览

第七章数列(综合检测)一轮复习讲义2024年高考数学高频考点题型归纳与方法总结(新高考通用)参考答案_2.2025数学总复习_2024年新高考资料_1.2024一轮复习
第七章数列(综合检测)一轮复习讲义2024年高考数学高频考点题型归纳与方法总结(新高考通用)参考答案_2.2025数学总复习_2024年新高考资料_1.2024一轮复习
第七章数列(综合检测)一轮复习讲义2024年高考数学高频考点题型归纳与方法总结(新高考通用)参考答案_2.2025数学总复习_2024年新高考资料_1.2024一轮复习
第七章数列(综合检测)一轮复习讲义2024年高考数学高频考点题型归纳与方法总结(新高考通用)参考答案_2.2025数学总复习_2024年新高考资料_1.2024一轮复习
第七章数列(综合检测)一轮复习讲义2024年高考数学高频考点题型归纳与方法总结(新高考通用)参考答案_2.2025数学总复习_2024年新高考资料_1.2024一轮复习
第七章数列(综合检测)一轮复习讲义2024年高考数学高频考点题型归纳与方法总结(新高考通用)参考答案_2.2025数学总复习_2024年新高考资料_1.2024一轮复习

文档信息

文档格式
docx
文档大小
0.225 MB
文档页数
6 页
上传时间
2026-03-26 09:47:48

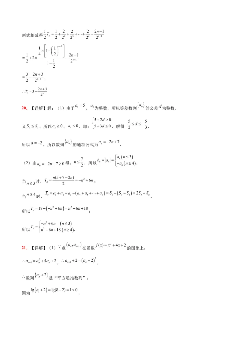
文档内容

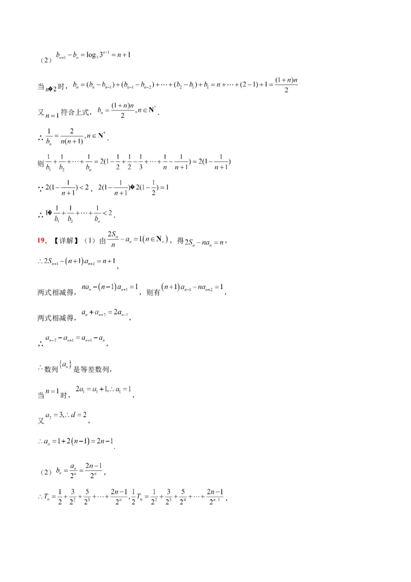
第七章 数列章末检测 参考答案 1.D 2.A 3.A 4.A 5.B 6.D 7.D 8.B 9.BC 10.ABD 11.BC 12.BD 13.0 14. 15.120 16. 17.【详解】(1)由已知 为等差数列,记其公差为 , ①当 时, 所以两式相减可得 , ②当 时, ,所以 . 所以, . (2) , 所以,当 取与 最接近的整数6或7时, 最小,最小值为—21. 18.【详解】解:(1)由 .可得 , 两式相减得 ,∴ , 又 , . 故 是首项为9,公比为3的等比数列, ∴(2) 当 时, 又 符合上式, . ∴ . 则 ∵ , ∴ . 19.【详解】(1)由 ,得 , , 两式相减得, ,则有 , 两式相减得, , ∴ , 数列 是等差数列, 当 时, , 又 , . (2) , ,两式相减得 , . 20.【详解】解:(1)由于 , 为整数,所以等差数列 的公差 为整数, 又 ,所以 , ,即: ,解得 , 所以 ,所以数列 的通项公式为 . (2)由 得: ,所以 , 当 时, ; 当 时, , 所以 ; 所以 . 21.【详解】(1) 点 在函数 的图象上, , , 数列 是“平方递推数列”, 因为 ,对 两边同时取对数得 , 数列 是以1为首项、2为公比的等比数列; (2)由(1)知 , 所以 所以 . 22.【详解】(1)选择①:因为 ,则 , 两式相减得 ,即 , 而 , ,则 ,因此数列 是以 为首项,2为公差的等差数列, 所以 . 选择②:因为 ,则 , 于是当 时, ,即 ,由 ,得 , 即有 ,因此 , ,即数列 是以 为首项,2为公差的等差数列, 所以 . 选择③:因为 ,又 , 则 ,即 , 显然 ,于是 ,即 是以1为首项,1为公差的等差数列, 从而 ,即 ,因此 ,而 满足上式,所以 . (2)由(1)知, , , 因此 , 则 , 显然数列 单调递减,于是 ,则 ,所以 .