当前位置:首页>文档>预测卷02-大题精做冲刺2023年高考数学大题突破+限时集训(新高考专用)(解析版)_2.2025数学总复习_2023年新高考资料_专项复习_冲刺2023年高考数学大题突破(新高考专用)

预测卷02-大题精做冲刺2023年高考数学大题突破+限时集训(新高考专用)(解析版)_2.2025数学总复习_2023年新高考资料_专项复习_冲刺2023年高考数学大题突破(新高考专用)

  • 2026-03-30 20:33:02 2026-03-29 05:14:56

文档预览

预测卷02-大题精做冲刺2023年高考数学大题突破+限时集训(新高考专用)(解析版)_2.2025数学总复习_2023年新高考资料_专项复习_冲刺2023年高考数学大题突破(新高考专用)
预测卷02-大题精做冲刺2023年高考数学大题突破+限时集训(新高考专用)(解析版)_2.2025数学总复习_2023年新高考资料_专项复习_冲刺2023年高考数学大题突破(新高考专用)
预测卷02-大题精做冲刺2023年高考数学大题突破+限时集训(新高考专用)(解析版)_2.2025数学总复习_2023年新高考资料_专项复习_冲刺2023年高考数学大题突破(新高考专用)
预测卷02-大题精做冲刺2023年高考数学大题突破+限时集训(新高考专用)(解析版)_2.2025数学总复习_2023年新高考资料_专项复习_冲刺2023年高考数学大题突破(新高考专用)
预测卷02-大题精做冲刺2023年高考数学大题突破+限时集训(新高考专用)(解析版)_2.2025数学总复习_2023年新高考资料_专项复习_冲刺2023年高考数学大题突破(新高考专用)
预测卷02-大题精做冲刺2023年高考数学大题突破+限时集训(新高考专用)(解析版)_2.2025数学总复习_2023年新高考资料_专项复习_冲刺2023年高考数学大题突破(新高考专用)
预测卷02-大题精做冲刺2023年高考数学大题突破+限时集训(新高考专用)(解析版)_2.2025数学总复习_2023年新高考资料_专项复习_冲刺2023年高考数学大题突破(新高考专用)
预测卷02-大题精做冲刺2023年高考数学大题突破+限时集训(新高考专用)(解析版)_2.2025数学总复习_2023年新高考资料_专项复习_冲刺2023年高考数学大题突破(新高考专用)
预测卷02-大题精做冲刺2023年高考数学大题突破+限时集训(新高考专用)(解析版)_2.2025数学总复习_2023年新高考资料_专项复习_冲刺2023年高考数学大题突破(新高考专用)
预测卷02-大题精做冲刺2023年高考数学大题突破+限时集训(新高考专用)(解析版)_2.2025数学总复习_2023年新高考资料_专项复习_冲刺2023年高考数学大题突破(新高考专用)
预测卷02-大题精做冲刺2023年高考数学大题突破+限时集训(新高考专用)(解析版)_2.2025数学总复习_2023年新高考资料_专项复习_冲刺2023年高考数学大题突破(新高考专用)
预测卷02-大题精做冲刺2023年高考数学大题突破+限时集训(新高考专用)(解析版)_2.2025数学总复习_2023年新高考资料_专项复习_冲刺2023年高考数学大题突破(新高考专用)
预测卷02-大题精做冲刺2023年高考数学大题突破+限时集训(新高考专用)(解析版)_2.2025数学总复习_2023年新高考资料_专项复习_冲刺2023年高考数学大题突破(新高考专用)
预测卷02-大题精做冲刺2023年高考数学大题突破+限时集训(新高考专用)(解析版)_2.2025数学总复习_2023年新高考资料_专项复习_冲刺2023年高考数学大题突破(新高考专用)
预测卷02-大题精做冲刺2023年高考数学大题突破+限时集训(新高考专用)(解析版)_2.2025数学总复习_2023年新高考资料_专项复习_冲刺2023年高考数学大题突破(新高考专用)

文档信息

文档格式
docx
文档大小
0.658 MB
文档页数
11 页
上传时间
2026-03-29 05:14:56

文档内容

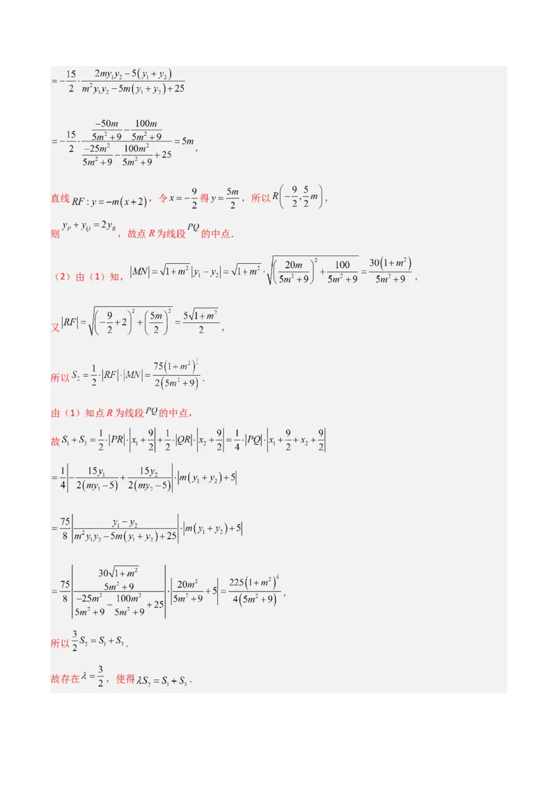
预测卷 02 (满分:70分 建议用时: 65 分钟) 17(10分)记 的内角A,B,C的对边分别为a,b,c,已知 . (1)求B; (2)设 ,若点M是边 上一点, ,且 ,求 的面积. 【答案】(1) (2) 【详解】(1)依题意, 由 及正弦定理得 , 即 , 所以 .因为 ,所以 ,所以 , ,所以 . (2)如图所示: 因为 ,所以 , . 又 ,所以 . 在 中,由余弦定理得 , 即 .① 又 ,所以 , 两边平方得 , 即 ,所以 .② ②-①得 ,所以 ,代入①得 , 在 中, ,所以 是以 为直角的三角形, 所以 的面积为 . 18(12分)记数列{ }的前n项和为 ,对任意正整数n,有 = ,且a=3. 2 (1)求数列{ }的通项公式; (2)对所有正整数m,若 < < ,则在 和 两项中插入 ,由此得到一个新数列{ },求{ } 的前40项和. 【答案】(1) (2)1809 【详解】(1)由 ,则 ,两式相减得: , 整理得: ,即 时, , 所以 时, , 又 时, ,得 ,也满足上式. 故 . (2)由 .所以 , 又 ,所以 前40项中有34项来自 . 故 . 19(12分).如图,直三棱柱 的体积为4, 的面积为 .(1)求A到平面 的距离; (2)设D为 的中点, ,平面 平面 ,求二面角 的正弦值. 【答案】(1) (2) 【详解】(1)在直三棱柱 中,设点A到平面 的距离为h, 则 , 解得 ,所以点A到平面 的距离为 ; (2)取 的中点E,连接AE,如图,因为 ,所以 , 又平面 平面 ,平面 平面 , 且 平面 ,所以 平面 , 在直三棱柱 中, 平面 , 由 平面 , 平面 可得 , , 又 平面 且相交,所以 平面 ,所以 两两垂直,以B为原点,建立空间直角坐标系,如图, 由(1)得 ,所以 , ,所以 , 则 ,所以 的中点 , 则 , , 设平面 的一个法向量 ,则 , 可取 , 设平面 的一个法向量 ,则 , 可取 , 则 , 所以二面角 的正弦值为 . 20(12分).口袋中共有7个质地和大小均相同的小球,其中4个是黑球,现采用不放回抽取方式每次从 口袋中随机抽取一个小球,直到将4个黑球全部取出时停止. (1)记总的抽取次数为X,求E(X);(2)现对方案进行调整:将这7个球分装在甲乙两个口袋中,甲袋装3个小球,其中2个是黑球;乙袋装4 个小球,其中2个是黑球.采用不放回抽取方式先从甲袋每次随机抽取一个小球,当甲袋的2个黑球被全部 取出后再用同样方式在乙袋中进行抽取,直到将乙袋的2个黑球也全部取出后停止.记这种方案的总抽取次 数为Y,求E(Y)并从实际意义解释E(Y)与(1)中的E(X)的大小关系. 【答案】(1) (2)6,答案见解析 【详解】(1)X可能取值为4,5,6,7, , ; (2)Y可能取值为4,5,6,7,设甲袋和乙袋抽取次数分别为 和 , , , , , . 在将球分装时,甲袋中的黑球取完后直接取乙袋,若此时甲袋中还有其它球,则该球的干扰作用已经消失, 所以同样是要取出4个黑球,调整后的方案总抽取次数的期望更低. 21(12分).已知椭圆 的右顶点为A,左焦点为F,过点F作斜率不为零的直线l交椭圆于 两点,连接 , 分别交直线 于 两点,过点F且垂直于 的直线交直线 于点R. (1)求证:点R为线段 的中点; (2)记 , , 的面积分别为 , , ,试探究:是否存在实数 使得 ? 若存在,请求出实数 的值;若不存在,请说明理由. 【答案】(1)证明见解析.(2)存在, . 【详解】(1)证明:由题意知 , , 设 , , , 联立 ,得 , , 则 , , 直线 的方程为 , 令 ,得 ,所以 , 同理, . 所以, 直线 ,令 得 ,所以 , 则 ,故点R为线段 的中点. (2)由(1)知, , 又 , 所以 . 由(1)知点R为线段 的中点, 故 , 所以 . 故存在 ,使得 .22 (12分).已知函数 . (1)当 时,求函数 的单调区间; (2)若 有3个零点 , , ,其中 . (ⅰ)求实数a的取值范围; (ⅱ)求证: . 【答案】(1)单调递增区间为 ,无单调递减区间 (2)(ⅰ) (ⅱ)证明见解析 【详解】(1)当 时, , , 则 在 恒成立,所以 在 单调递增, 故 的单调递增区间为 ,无单调递减区间. (2)(ⅰ) , , ,则 除1外还有两个零点, ,令 , 当 时, 在 恒成立,则 , 所以 在 单调递减,不满足,舍去; 当 时, 除1外还有两个零点,则 不单调, 所以 存在两个零点,所以 ,解得 ,当 时,设 的两个零点为 , 则 , ,所以 . 当 时, , ,则 单调递增; 当 时, , ,则 单调递减; 当 时, , ,则 单调递增; 又 ,所以 , , 而 ,且 , ,且 ,所以存在 , , 使得 , 即 有3个零点 , , . 综上,实数a的取值范围为 . (ⅱ)证明:因为 , 所以若 ,则 ,所以 . 当 时,先证明不等式 恒成立, 设 ,则 , 所以函数 在 上单调递增,于是 , 即当 时,不等式 恒成立. 由 ,可得 , 因为 ,所以 , 即 ,两边同除以 , 得 ,即 , 所以 .