当前位置:首页>文档>黄金卷-赢在高考·黄金8卷备战2024年高考数学模拟卷(北京专用)(参考答案)_2.2025数学总复习_2024年新高考资料_4.2024高考模拟预测试卷_195

黄金卷-赢在高考·黄金8卷备战2024年高考数学模拟卷(北京专用)(参考答案)_2.2025数学总复习_2024年新高考资料_4.2024高考模拟预测试卷_195

  • 2026-04-01 12:14:20 2026-03-29 05:51:03

文档预览

黄金卷-赢在高考·黄金8卷备战2024年高考数学模拟卷(北京专用)(参考答案)_2.2025数学总复习_2024年新高考资料_4.2024高考模拟预测试卷_195
黄金卷-赢在高考·黄金8卷备战2024年高考数学模拟卷(北京专用)(参考答案)_2.2025数学总复习_2024年新高考资料_4.2024高考模拟预测试卷_195
黄金卷-赢在高考·黄金8卷备战2024年高考数学模拟卷(北京专用)(参考答案)_2.2025数学总复习_2024年新高考资料_4.2024高考模拟预测试卷_195
黄金卷-赢在高考·黄金8卷备战2024年高考数学模拟卷(北京专用)(参考答案)_2.2025数学总复习_2024年新高考资料_4.2024高考模拟预测试卷_195
黄金卷-赢在高考·黄金8卷备战2024年高考数学模拟卷(北京专用)(参考答案)_2.2025数学总复习_2024年新高考资料_4.2024高考模拟预测试卷_195
黄金卷-赢在高考·黄金8卷备战2024年高考数学模拟卷(北京专用)(参考答案)_2.2025数学总复习_2024年新高考资料_4.2024高考模拟预测试卷_195
黄金卷-赢在高考·黄金8卷备战2024年高考数学模拟卷(北京专用)(参考答案)_2.2025数学总复习_2024年新高考资料_4.2024高考模拟预测试卷_195
黄金卷-赢在高考·黄金8卷备战2024年高考数学模拟卷(北京专用)(参考答案)_2.2025数学总复习_2024年新高考资料_4.2024高考模拟预测试卷_195
黄金卷-赢在高考·黄金8卷备战2024年高考数学模拟卷(北京专用)(参考答案)_2.2025数学总复习_2024年新高考资料_4.2024高考模拟预测试卷_195
黄金卷-赢在高考·黄金8卷备战2024年高考数学模拟卷(北京专用)(参考答案)_2.2025数学总复习_2024年新高考资料_4.2024高考模拟预测试卷_195
黄金卷-赢在高考·黄金8卷备战2024年高考数学模拟卷(北京专用)(参考答案)_2.2025数学总复习_2024年新高考资料_4.2024高考模拟预测试卷_195

文档信息

文档格式
docx
文档大小
0.415 MB
文档页数
7 页
上传时间
2026-03-29 05:51:03

文档内容

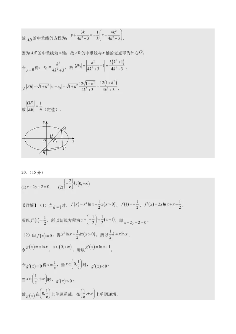
【赢在高考·黄金8卷】备战2024年高考数学模拟卷(北京专用) 黄金卷·参考答案 (考试时间:120分钟 试卷满分:150分) 第 I 卷(选择题) 一、单项选择题:本题共10小题,每小题4分,共40分,在每小题给出的四个选项中,只有一项是符合 要求的。 1 2 3 4 5 6 7 8 9 10 D D D B A C C C D B 第 II 卷(非选择题) 二、填空题:本题共5小题,每小题5分,共25分。 11. 12. 8 13. 14. 15. ①③④ 三、解答题:本题共6小题,共85分,解答应写出必要的文字说明、证明过程及验算步骤。 16.(13分) (1) (2)2 (1)得 ,利用正弦面积公式与余弦定理得到 ,再借助正弦定理得结果. 【详解】(1) , 的最小正周期 ; (2)由 ,可得 ,又 , , , , 由 ,得 , 由余弦定理得: ,得 , 由正弦定理得 外接圆的半径 . 17.(14分)(1)证明见解析 (2)见解析 【详解】(1)证明:因为四边形 为矩形,所以 , 又 平面 , 平面 , 所以 平面 , 又平面 平面 , 平面 , 所以 ; (2)若选条件①:平面 平面 , 则平面 平面 , , 平面 , 所以 平面 平面 所以 , 但是 ,因此 不可能,所以选择条件①的五面体不存在, 若选择条件②:平面 平面 取 的中点 , 的中点 ,连接 , , 则 ,由 ,得 ,且 , 因为平面 平面 ,平面 平面 , 平面 , 所以 平面 ,由 平面 ,得 , 建立如图空间直角坐标系 , ,0, , ,0, , ,4, , ,4, , ,0, , ,2, , 则 , 设 为平面 的一个法向量, 则 ,令 ,得 , ,所以 , , 设直线 与平面 所成角为 ,则 . 所以直线 与平面 所成角的正弦值为 .若选择条件③: 由于 , , 平面 , 所以 平面 , 平面 ,所以平面 平面 , 以下如选择条件②相同. 18.(14分) (1) (2)主办方在决赛的前两场的投资额应为 千万元,即 万元. 【详解】(1)记“甲队获得冠军”为事件 ,“决赛进行三场比赛”为事件 , 由题可知 , , ∴当甲队获得冠军时,决赛需进行三场比赛的概率为 . (2)设主办方在决赛前两场中共投资 (千万元), 其中 , 若需进行第三场比赛,则还可投资 (千万元), 记随机变量 为决赛的总盈利,则 可以取 , , ∴ , , ∴随机变量 的分布列为∴ 的数学期望 , 令 ,则 , ∴当 ,即 时, 取得最大值, ∴主办方在决赛的前两场的投资额应为 千万元,即 万元. 19.(14分) (1) (2)是, 【详解】(1)设动圆半径为 , 由圆 与圆 外切得: ,由圆 与圆 内切得: , 故 , 故点 的轨迹是以 , 为焦点的椭圆,且 , ,故 , ∴点 的轨迹 的方程为: . (2)设 , , 由 , 故 , , , 所以 的中点 ,故 的中垂线的方程为: . 因为 的中垂线为 轴,故 的中垂线与 轴的交点即为外心 , 令 得: ,故 , 又 , 故 (定值). 20.(15分) (1) (2) 【详解】(1)当 时, , , , 所以 ,所以切线方程为 ,即 . (2)由 ,得 ,所以 . 令 , ,所以 , 令 得 ,当 时, , 当 时, , 故 在 上单调递减,在 上单调递增,所以 在 处取极小值 , 的大致图像如图, 要使函数 有一个零点,即直线 与 的图像有一个交点, 则 或 ,解得 或 , 所以k的取值范围为 . 21.(15分) (1)数列 是“ 数列”,数列 不是“ 数列”,理由见解析 (2) 不是“ 数列”,理由见解析 【详解】(1)解:数列1,2,3,4,是“ 数列”,数列2,6,8,12不是“ 数列”. 因为数列1,2,3,4,中“ ”构成等比数列, 所以数列1,2,3,4,是“ 数列”; 因为数列2,6,8,12中“ ”,“ ”,“ ”,“ ”均不能构成等比数列, 所以数列2,6,8,12不是“ 数列”; (2)解: 不是“ 数列”. 假设 是“ 数列”, 因为 是单调递增数列,即 中存在的 ( )三项成等比数列, 也就是 ,即 , ,两边时除以 得 ,等式左边 为偶数, 等式右边 为奇数. 所以数列 中不存在三项按一定次序排列构成等比数列. 综上可得 不是“ 数列”.