当前位置:首页>文档>黄金卷-赢在高考·黄金8卷备战2024年高考数学模拟卷(新高考II卷专用)(参考答案)_2.2025数学总复习_2024年新高考资料_4.2024高考模拟预测试卷_874

黄金卷-赢在高考·黄金8卷备战2024年高考数学模拟卷(新高考II卷专用)(参考答案)_2.2025数学总复习_2024年新高考资料_4.2024高考模拟预测试卷_874

  • 2026-05-10 14:34:41 2026-03-29 05:59:02

文档预览

黄金卷-赢在高考·黄金8卷备战2024年高考数学模拟卷(新高考II卷专用)(参考答案)_2.2025数学总复习_2024年新高考资料_4.2024高考模拟预测试卷_874
黄金卷-赢在高考·黄金8卷备战2024年高考数学模拟卷(新高考II卷专用)(参考答案)_2.2025数学总复习_2024年新高考资料_4.2024高考模拟预测试卷_874
黄金卷-赢在高考·黄金8卷备战2024年高考数学模拟卷(新高考II卷专用)(参考答案)_2.2025数学总复习_2024年新高考资料_4.2024高考模拟预测试卷_874
黄金卷-赢在高考·黄金8卷备战2024年高考数学模拟卷(新高考II卷专用)(参考答案)_2.2025数学总复习_2024年新高考资料_4.2024高考模拟预测试卷_874
黄金卷-赢在高考·黄金8卷备战2024年高考数学模拟卷(新高考II卷专用)(参考答案)_2.2025数学总复习_2024年新高考资料_4.2024高考模拟预测试卷_874
黄金卷-赢在高考·黄金8卷备战2024年高考数学模拟卷(新高考II卷专用)(参考答案)_2.2025数学总复习_2024年新高考资料_4.2024高考模拟预测试卷_874
黄金卷-赢在高考·黄金8卷备战2024年高考数学模拟卷(新高考II卷专用)(参考答案)_2.2025数学总复习_2024年新高考资料_4.2024高考模拟预测试卷_874
黄金卷-赢在高考·黄金8卷备战2024年高考数学模拟卷(新高考II卷专用)(参考答案)_2.2025数学总复习_2024年新高考资料_4.2024高考模拟预测试卷_874
黄金卷-赢在高考·黄金8卷备战2024年高考数学模拟卷(新高考II卷专用)(参考答案)_2.2025数学总复习_2024年新高考资料_4.2024高考模拟预测试卷_874
黄金卷-赢在高考·黄金8卷备战2024年高考数学模拟卷(新高考II卷专用)(参考答案)_2.2025数学总复习_2024年新高考资料_4.2024高考模拟预测试卷_874
黄金卷-赢在高考·黄金8卷备战2024年高考数学模拟卷(新高考II卷专用)(参考答案)_2.2025数学总复习_2024年新高考资料_4.2024高考模拟预测试卷_874

文档信息

文档格式
docx
文档大小
0.079 MB
文档页数
7 页
上传时间
2026-03-29 05:59:02

文档内容

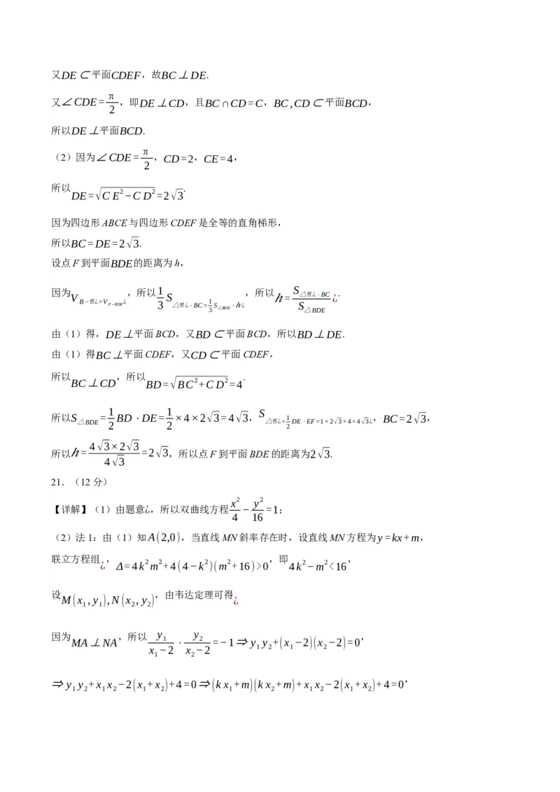
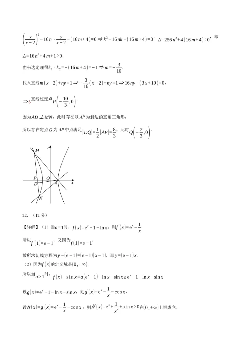
【赢在高考·黄金8卷】备战2024年高考数学模拟卷(新高考II 卷专用) 黄金卷·参考答案 (考试时间:120分钟 试卷满分:150分) 第 I 卷(选择题) 一、单项选择题:本题共8小题,每小题5分,共40分,在每小题给出的四个选项中,只有一项是符合要 求的。 1 2 3 4 5 6 7 8 D D A D A B C D 二、多项选择题:本题共4小题,每小题5分,共20分,在每小题给出的四个选项中,有多项符合题目的 要求,全部选对的得5分,部分选对的得2分,有选错的得0分。 9 10 11 12 ABD AB ACD ACD 第 II 卷(非选择题) 三、填空题:本题共4小题,每小题5分,共20分。 √3 1 13.-80 14. (−2,0)∪(2,3) 15. √5−1/−1+√5 16. / √3 2 2 四、解答题:本题共6小题,共70分,解答应写出必要的文字说明、证明过程及验算步骤。 17.(10分) 【详解】(1)∵ ∴ , S −2S =1 S +1=2(S +1),n∈N∗ n+1 n n+1 n ∴S +1 , n+1 =2 S +1 n ∴ 为等比数列; {S +1} n ∵ ,故 的首项为 ,公比为2, a =1 {S +1} S +1=2 1 n 1 ∴ ,则 , S +1=2n S =2n−1 n n 当 时, ,则 , 也满足此式, n≥2 S =2n−1−1 a =S −S =2n−1 a =1 n−1 n n n−1 1∴ ; a =2n−1 n n n 1 2 n (2)由(1)可得b = = ,则T = + +⋅⋅⋅+ , n a 2n−1 n 20 21 2n−1 n 1 1 2 n 故 T = + +⋅⋅⋅+ , 2 n 21 22 2n 1 1− 1 1 1 1 n 2n n n+2 两式相减得: T = + +⋅⋅⋅+ − = − =2− , 2 n 20 21 2n−1 2n 1 2n 2n 1− 2 n+2 故T =4− . n 2n−1 18.(12分) 【详解】(1)由正弦定理可得−2cosBsinA=sinCcosB+sinBcosC=sin(B+C)=sinA, 因为A∈(0,π),所以sinA>0; 1 可得cosB=− . 2 2π 又B∈(0,π),故B= . 3 (2)如下图所示: AD c 在△ABD中, = , sinB sin∠ADB csinB √2 所以sin∠ADB= = , AD 2 2π π 结合B= ,所以∠ADB= , 3 4 π 所以∠BAD=∠DAC= , 12 π 可得∠ACB=∠BAC= , 6 所以△ABC是等腰三角形,且a=c,π 所以b=2acos =√6. 6 19.(12分) 1+2+3+4+5 【详解】(1)由统计表数据可得: x= =3, 5 7+12+13+19+24 y= =15, 5 5 所以 ∑(x −x)(y −y) =16+3+0+4+18=41, i i i=1 √ 5 ∑(y −y) 2=√64+9+4+16+81=√174, i i=1 √ 5 ∑(x −x) 2=√4+1+0+1+4=√10, i i=1 41 41 所以相关系数 r= ≈ ≈0.98>0.75, √1740 41.7 因此,两个变量具有很强的线性相关性. (2)由题意知,X的可能取值为0,1,2,3 因为 P(X=0)= C 5 0C 3 3 = 1 ,P(X=1)= C 5 1C 3 2 = 15, C3 56 C3 56 8 8 P(X=2)= C 5 2C1 3 = 15 ,P(X=3)= C 5 3C 3 0 = 5 , C3 28 C3 28 8 8 所以X 的分布列为: X 0 1 2 3 1 15 15 5 P 56 56 28 28 1 15 15 5 15 所以 E(X)=0× +1× +2× +3× = . 56 56 28 28 8 20.(12分) 【详解】(1)因为平面ABCE⊥平面CDEF,平面ABCE∩平面CDEF=CE, π 又∠BCE= ,即BC⊥CE,且BC⊂平面ABCE,所以BC⊥平面CDEF. 2又DE⊂平面CDEF,故BC⊥DE. π 又∠CDE= ,即DE⊥CD,且BC∩CD=C,BC,CD⊂平面BCD, 2 所以DE⊥平面BCD. π (2)因为∠CDE= ,CD=2,CE=4, 2 所以 . DE=√CE2−CD2=2√3 因为四边形ABCE与四边形CDEF是全等的直角梯形, 所以BC=DE=2√3. 设点F到平面BDE的距离为h, 因为 ,所以1 ,所以 S . V B−≝¿=V F−BDE ¿ 3 S △≝¿⋅BC= 3 1 S △BDE ⋅ℎ¿ ℎ = S △ △ ≝ B ¿⋅ D B E C ¿ 由(1)得,DE⊥平面BCD,又BD⊂平面BCD,所以BD⊥DE. 由(1)得BC⊥平面CDEF,又CD⊂平面CDEF, 所以 ,所以 . BC⊥CD BD=√BC2+CD2=4 1 1 S 所以S = BD⋅DE= ×4×2√3=4√3, 1 ,BC=2√3, △BDE 2 2 △≝¿= 2 DE⋅EF=1×2√3×4=4√3¿ 4√3×2√3 所以ℎ = =2√3,所以点F到平面BDE的距离为2√3. 4√3 21.(12分) x2 y2 【详解】(1)由题意¿,所以双曲线方程 − =1; 4 16 (2)法1:由(1)知A(2,0),当直线MN斜率存在时,设直线MN方程为y=kx+m, 联立方程组 , ,即 , ¿ Δ=4k2m2+4(4−k2 )(m2+16)>0 4k2−m2<16 设 ,由韦达定理可得 M(x ,y ),N(x ,y ) ¿ 1 1 2 2 因为 ,所以 y y , MA⊥NA 1 ⋅ 2 =−1⇒y y +(x −2)(x −2)=0 x −2 x −2 1 2 1 2 1 2 , ⇒y y +x x −2(x +x )+4=0⇒(kx +m)(kx +m)+x x −2(x +x )+4=0 1 2 1 2 1 2 1 2 1 2 1 2, ⇒(k2+1)x x +(mk−2)(x +x )+m2+4=0 1 2 1 2 m2+16 2km , ⇒(k2+1) +(mk−2) +m2+4=0⇒3m2−4km−20k2=0 k2−4 4−k2 10k ⇒(m+2k)(3m−10k)=0⇒m=−2k或m= , 3 将m=−2k代入直线y=kx+m⇒y=k(x−2),此时直线MN过定点A(2,0),不合题意; 将 10k代入直线 ( 10),此时直线MN过定点 ( 10 ), m= y=kx+m⇒y=k x+ P − ,0 3 3 3 当直线MN的斜率不存在时,不妨设直线方程为x=t, 因为 ,所以 为等腰直角三角形,此时M点坐标为 , MA⊥NA △AMN (t,2√t2−4) 所以 (舍)或 10,此时MN过定点 ( 10 ), 2√t2−4=2−t⇒3t2+4t−20=0⇒t=2 t=− P − ,0 3 3 综上可知,直线MN恒过定点 ( 10 ). P − ,0 3 因为AD⊥MN,此时存在以AP为斜边的直角三角形, 所以存在定点Q为AP中点满足 1 8,此时 ( 2 ). |DQ|= |AP|= Q − ,0 2 3 3 法2:由(1)知A(2,0),设直线MN方程为m(x−2)+ny=1, 联立方程组¿, , ⇒4(x−2) 2+16(x−2)−y2=0⇒4(x−2) 2+16(x−2)[m(x−2)+ny]−y2=0 , ⇒y2−16n(x−2)y−(16m+4)(x−2) 2=0 两边同时除以 ,得( y ) 2 y , (x−2) 2 −16n⋅ −(16m+4)=0 x−2 x−2 设 ,因为 ,所以 y y , M(x ,y ),N(x ,y ) MA⊥NA 1 ⋅ 2 =−1 1 1 2 2 x −2 x −2 1 2( y ) 2 −16n⋅ y −(16m+4)=0⇒k2−16nk−(16m+4)=0 , Δ=256n2+4(16m+4)>0 ,即 x−2 x−2 Δ=16n2+4m+1>0, 3 由韦达定理得k ⋅k =−(16m+4)=−1⇒m=− , 1 2 16 3 代入直线m(x−2)+ny=1⇒− (x−2)+ny=1⇒16ny−(3x+10)=0, 16 直线过定点 ( 10 ). ⇒¿ P − ,0 3 因为AD⊥MN,此时存在以AP为斜边的直角三角形, 所以存在定点Q为AP中点满足 1 8,此时 ( 2 ). |DQ|= |AP|= Q − ,0 2 3 3 22.(12分) 1 【详解】(1)当a=1时,f (x)=ex−1−lnx,则f'(x)=ex− x 所以 ,又因为 , f'(1)=e−1 f (1)=e−1 故所求切线方程为y−(e−1)=(e−1)(x−1),即y=(e−1)x. (2)因为f (x)的定义域是(0,+∞), 所以当 时, a≥1 f (x)−sinx=a(ex−1)−lnx−sinx≥ex−1−lnx−sinx 1 设g(x)=ex−1−lnx−sinx,则g'(x)=ex− −cosx, x 1 1 设ℎ(x)=g'(x)=ex− −cosx,则ℎ '(x)=ex+ +sinx>0在(0,+∞)上恒成立, x x21 所以 ℎ(x) 在 (0,+∞) 上是增函数,则 ℎ (1) =e3−3−cos 1 <0 , 3 3 π 又因为 ℎ ( π 4 )=e4 − π 4 −sin π 4 ,因为 eπ>2.73>16=24 ,所以 e π 4 >2 , 4 π 4 1.42 π 又因为 +sin < + ≈1.984<2,所以ℎ ( )>0, π 4 3.14 2 4 所以 在(1 π)上存在唯一零点 ,也是 在 上的唯一零点, ℎ(x) 3 , 4 x 0 ℎ(x) (0,+∞) 1 1 所以ℎ(x )=ex 0− −cosx =0,即ex 0= +cosx , 0 x 0 x 0 0 0 当 时, , 在 上单调递减, 0x g'(x)>0 g(x) (x ,+∞) 0 0 1 所以g(x) =g(x )=ex 0−lnx −1−sinx = +cosx −lnx −1−sinx min 0 0 0 x 0 0 0 0 π 1 由于01,lnx <0,cosx >sinx , 0 4 x 0 0 0 0 所以 ,所以 , g(x) =g(x )>0 g(x)>0 min 0 所以当a≥1时,f (x)−sinx>0,即f (x)>sinx成立.