当前位置:首页>文档>黄金卷-赢在高考·黄金8卷备战2024年高考数学模拟卷(新高考II卷专用)(考试版)_2.2025数学总复习_2024年新高考资料_4.2024高考模拟预测试卷

黄金卷-赢在高考·黄金8卷备战2024年高考数学模拟卷(新高考II卷专用)(考试版)_2.2025数学总复习_2024年新高考资料_4.2024高考模拟预测试卷

  • 2026-04-28 10:49:47 2026-03-29 05:59:15

文档预览

黄金卷-赢在高考·黄金8卷备战2024年高考数学模拟卷(新高考II卷专用)(考试版)_2.2025数学总复习_2024年新高考资料_4.2024高考模拟预测试卷
黄金卷-赢在高考·黄金8卷备战2024年高考数学模拟卷(新高考II卷专用)(考试版)_2.2025数学总复习_2024年新高考资料_4.2024高考模拟预测试卷
黄金卷-赢在高考·黄金8卷备战2024年高考数学模拟卷(新高考II卷专用)(考试版)_2.2025数学总复习_2024年新高考资料_4.2024高考模拟预测试卷
黄金卷-赢在高考·黄金8卷备战2024年高考数学模拟卷(新高考II卷专用)(考试版)_2.2025数学总复习_2024年新高考资料_4.2024高考模拟预测试卷
黄金卷-赢在高考·黄金8卷备战2024年高考数学模拟卷(新高考II卷专用)(考试版)_2.2025数学总复习_2024年新高考资料_4.2024高考模拟预测试卷
黄金卷-赢在高考·黄金8卷备战2024年高考数学模拟卷(新高考II卷专用)(考试版)_2.2025数学总复习_2024年新高考资料_4.2024高考模拟预测试卷
黄金卷-赢在高考·黄金8卷备战2024年高考数学模拟卷(新高考II卷专用)(考试版)_2.2025数学总复习_2024年新高考资料_4.2024高考模拟预测试卷
黄金卷-赢在高考·黄金8卷备战2024年高考数学模拟卷(新高考II卷专用)(考试版)_2.2025数学总复习_2024年新高考资料_4.2024高考模拟预测试卷
黄金卷-赢在高考·黄金8卷备战2024年高考数学模拟卷(新高考II卷专用)(考试版)_2.2025数学总复习_2024年新高考资料_4.2024高考模拟预测试卷
黄金卷-赢在高考·黄金8卷备战2024年高考数学模拟卷(新高考II卷专用)(考试版)_2.2025数学总复习_2024年新高考资料_4.2024高考模拟预测试卷
黄金卷-赢在高考·黄金8卷备战2024年高考数学模拟卷(新高考II卷专用)(考试版)_2.2025数学总复习_2024年新高考资料_4.2024高考模拟预测试卷

文档信息

文档格式
docx
文档大小
0.352 MB
文档页数
7 页
上传时间
2026-03-29 05:59:15

文档内容

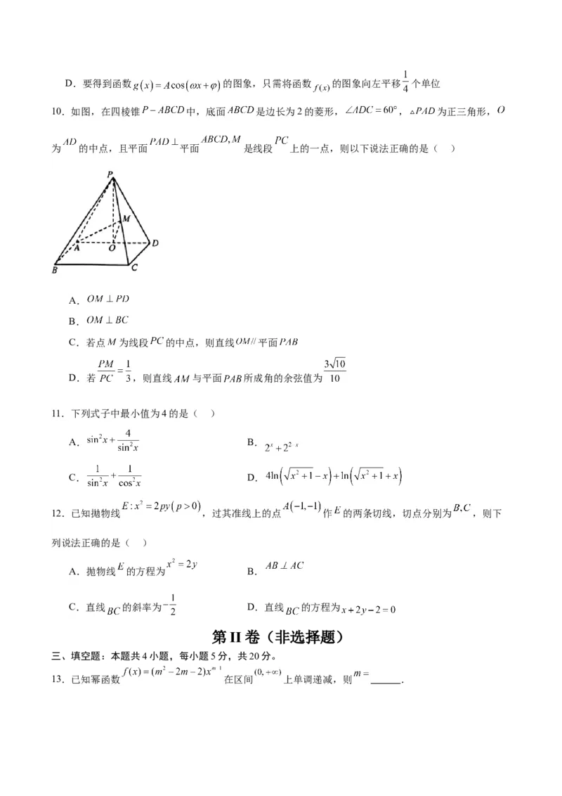
【赢在高考·黄金8卷】备战2024年高考数学模拟卷(新高考Ⅱ卷专用) 黄金卷 (考试时间:120分钟 试卷满分:150分) 第 I 卷(选择题) 一、单项选择题:本题共8小题,每小题5分,共40分,在每小题给出的四个选项中,只有一项是符合要 求的。 1.设全集 ,集合 , ,则 ( ). A. B. C. D. 2.已知复数z满足 ,则 ( ) A.2 B.3 C.4 D. 3.已知向量 , ,且 与 方向相反,若 ,则 在 方向上的投影向量的坐标 是( ) A. B. C. D. 4.按从小到大顺序排列的两组数据:甲组:27,31,37,m,42,49;乙组:24,n,33,44,48,52, 若这两组数据的第30百分位数、第50百分位数都分别对应相等,则 ( ) A.60 B.65 C.70 D.71 5.已知 , , .若 , ,则 ( ) A. B. C. D. 6.定义在R上的奇函数 ,对任意 都有 ,若 ,则不等式 的解集是( ) A. B.C. D. 7.古希腊数学家阿波罗尼奥斯所著的八册《圆锥曲线论(Conics)》中,首次提出了圆锥曲线的光学性质, 其中之一的内容为:“若点 为椭圆上的一点, 、 为椭圆的两个焦点,则点 处的切线平分 外角”.根据此信息回答下列问题:已知椭圆 , 为坐标原点, 是点 处的切线,过 左焦点 作 的垂线,垂足为 ,则 为( ) A. B. C. D. 8.已知点 在棱长为2的正方体表面上运动, 是该正方体外接球的一条直径,则 的最小值为 ( ) A.-2 B.-8 C.-1 D.0 二、多项选择题:本题共4小题,每小题5分,共20分,在每小题给出的四个选项中,有多项符合题目的 要求,全部选对的得5分,部分选对的得2分,有选错的得0分。 9.已知函数 的部分图象如图所示,下列说法正确的是( ) A. B.函数 的图象关于 对称 C.函数 在 的值域为D.要得到函数 的图象,只需将函数 的图象向左平移 个单位 10.如图,在四棱锥 中,底面 是边长为2的菱形, , 为正三角形, 为 的中点,且平面 平面 是线段 上的一点,则以下说法正确的是( ) A. B. C.若点 为线段 的中点,则直线 平面 D.若 ,则直线 与平面 所成角的余弦值为 11.下列式子中最小值为4的是( ) A. B. C. D. 12.已知拋物线 ,过其准线上的点 作 的两条切线,切点分别为 ,则下 列说法正确的是( ) A.抛物线 的方程为 B. C.直线 的斜率为 D.直线 的方程为 第 II 卷(非选择题) 三、填空题:本题共4小题,每小题5分,共20分。 13.已知幂函数 在区间 上单调递减,则 .14.已知圆M的圆心在直线 上,且过 , ,则圆M的方程为 . 15.已知二项式 的展开式中只有第4项的二项式系数最大,现从展开式中任取2项, 则取到的项都是有理项的概率为 . 16.已知函数 ,若关于 的方程 恰有 个不同实数根,则实 数 的取值范围为 . 四、解答题:本题共6小题,共70分,解答应写出必要的文字说明、证明过程及验算步骤。 17.记数列 的前n项和为 ,对任意正整数n,有 ,且 . (1)求数列 的通项公式; (2)设 ,数列 的前n项和为 ,求证: . 18.在 中,角A,B,C所对的边分别为a,b,c,已知 (1)求角 ; (2) 是 的角平分线,若 , ,求 的面积.19.如图,在直三棱柱 中, , ,M为AB的中点,D在 上且 . (1)求证:平面 平面 ; (2)求直线CM与平面CBD所成角的正弦值; (3)求二面角 的余弦值. 20.后疫情时代,为了可持续发展,提高人民幸福指数,国家先后出台了多项减税增效政策.某地区对在职 员工进行了个人所得税的调查,经过分层随机抽样,获得500位在职员工的个人所得税(单位:百元)数据, 按 , 分成九组,制成如图所示的频率分布直方图: 假设每个组内的数据是均匀分布的.(1)求这500名在职员工的个人所得税的中位数(保留到小数点后一位); (2)从个人所得税在 三组内的在职员工中,采用分层抽样的方法抽取了10人,现从这10 人中随机抽取3人,记年个税在 内的员工人数为 ,求 的分布列和数学期望; (3)以样本的频率估计概率,从该地区所有在职员工中随机抽取100名员工,记年个税在 内的员工人 数为 ,求 的数学期望与方差. 21.在 中,已知点 边上的中线长与 边上的中线长之和为 ,记 的重心G的轨迹为曲线C.(1)求C的方程; (2)若圆 ,过坐标原点O且与y轴不重合的任意直线 与圆 相交于点 ,直线 与曲线 的另一个交点分别是点 ,求 面积的最大值. 22.已知函数 的最小值为0,其中 . (1)求 的值; (2)若对任意的 ,有 成立,求实数 的最小值; (3)证明: .