当前位置:首页>文档>黄金卷-赢在高考·黄金8卷备战2024年高考数学模拟卷(新高考II卷专用)(参考答案)_2.2025数学总复习_2024年新高考资料_4.2024高考模拟预测试卷

黄金卷-赢在高考·黄金8卷备战2024年高考数学模拟卷(新高考II卷专用)(参考答案)_2.2025数学总复习_2024年新高考资料_4.2024高考模拟预测试卷

  • 2026-05-12 00:26:50 2026-03-29 05:58:33

文档预览

黄金卷-赢在高考·黄金8卷备战2024年高考数学模拟卷(新高考II卷专用)(参考答案)_2.2025数学总复习_2024年新高考资料_4.2024高考模拟预测试卷
黄金卷-赢在高考·黄金8卷备战2024年高考数学模拟卷(新高考II卷专用)(参考答案)_2.2025数学总复习_2024年新高考资料_4.2024高考模拟预测试卷
黄金卷-赢在高考·黄金8卷备战2024年高考数学模拟卷(新高考II卷专用)(参考答案)_2.2025数学总复习_2024年新高考资料_4.2024高考模拟预测试卷
黄金卷-赢在高考·黄金8卷备战2024年高考数学模拟卷(新高考II卷专用)(参考答案)_2.2025数学总复习_2024年新高考资料_4.2024高考模拟预测试卷
黄金卷-赢在高考·黄金8卷备战2024年高考数学模拟卷(新高考II卷专用)(参考答案)_2.2025数学总复习_2024年新高考资料_4.2024高考模拟预测试卷
黄金卷-赢在高考·黄金8卷备战2024年高考数学模拟卷(新高考II卷专用)(参考答案)_2.2025数学总复习_2024年新高考资料_4.2024高考模拟预测试卷
黄金卷-赢在高考·黄金8卷备战2024年高考数学模拟卷(新高考II卷专用)(参考答案)_2.2025数学总复习_2024年新高考资料_4.2024高考模拟预测试卷
黄金卷-赢在高考·黄金8卷备战2024年高考数学模拟卷(新高考II卷专用)(参考答案)_2.2025数学总复习_2024年新高考资料_4.2024高考模拟预测试卷
黄金卷-赢在高考·黄金8卷备战2024年高考数学模拟卷(新高考II卷专用)(参考答案)_2.2025数学总复习_2024年新高考资料_4.2024高考模拟预测试卷
黄金卷-赢在高考·黄金8卷备战2024年高考数学模拟卷(新高考II卷专用)(参考答案)_2.2025数学总复习_2024年新高考资料_4.2024高考模拟预测试卷
黄金卷-赢在高考·黄金8卷备战2024年高考数学模拟卷(新高考II卷专用)(参考答案)_2.2025数学总复习_2024年新高考资料_4.2024高考模拟预测试卷
黄金卷-赢在高考·黄金8卷备战2024年高考数学模拟卷(新高考II卷专用)(参考答案)_2.2025数学总复习_2024年新高考资料_4.2024高考模拟预测试卷
黄金卷-赢在高考·黄金8卷备战2024年高考数学模拟卷(新高考II卷专用)(参考答案)_2.2025数学总复习_2024年新高考资料_4.2024高考模拟预测试卷
黄金卷-赢在高考·黄金8卷备战2024年高考数学模拟卷(新高考II卷专用)(参考答案)_2.2025数学总复习_2024年新高考资料_4.2024高考模拟预测试卷

文档信息

文档格式
docx
文档大小
0.497 MB
文档页数
10 页
上传时间
2026-03-29 05:58:33

文档内容

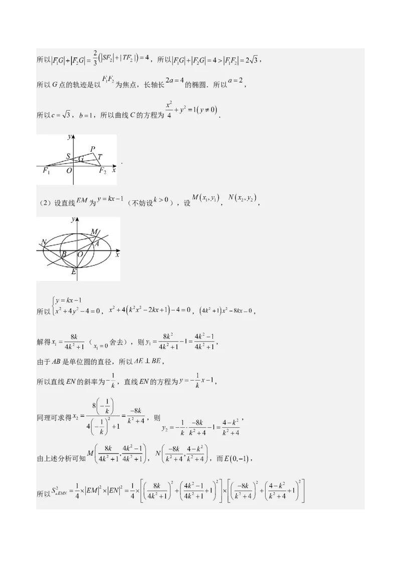
【赢在高考·黄金8卷】备战2024年高考数学模拟卷(新高考II 卷专用) 黄金卷·参考答案 (考试时间:120分钟 试卷满分:150分) 第 I 卷(选择题) 一、单项选择题:本题共8小题,每小题5分,共40分,在每小题给出的四个选项中,只有一项是符合要 求的。 1 2 3 4 5 6 7 8 C D B D B C A A 二、多项选择题:本题共4小题,每小题5分,共20分,在每小题给出的四个选项中,有多项符合题目的 要求,全部选对的得5分,部分选对的得2分,有选错的得0分。 9 10 11 12 ACD BCD BC BCD 第 II 卷(非选择题) 三、填空题:本题共4小题,每小题5分,共20分。 13. 14. 15. 16. 四、解答题:本题共6小题,共70分,解答应写出必要的文字说明、证明过程及验算步骤。 17.(10分) 【答案】(1) (2)证明见解析 【分析】(1)根据数列递推式 ,利用 可得 ,利用累乘法,结合验 证首项,即可求得答案; (2)由(1)可得 的表达式,利用错位相减法可求得 ,即可证明结论. 【详解】(1)由题意对任意正整数n,有 , 则 时, ,即 ;当 时, ,则 , 即 ,即 , 故 时, , 也适合上式,故 ; (2)证明:由(1)可得 , 故 , 则 , 故 , 故 ,由于 ,故 , 故 . 18.(12分) 【答案】(1) ; (2) . 【分析】(1)由正弦边角关系及已知得 ,即可得角 ; (2)由余弦定理得 ,由 及面积公式得 ,求得 ,进而应用面积公式求面积. 【详解】(1)由 ,得: ,即 , 又 ,所以 . (2)在 中, 得: ①,又 , 得: ,化简得: ②, 由①②得: ,所以 19.(12分) 【答案】(1)证明见解析 (2) (3) 【分析】(1)证明 ,推出 平面 ,进而可得结论; (2)以 为原点, 为 轴, 为 轴, 为 轴,建立空间直角坐标系,利用向量法求直线CM与 平面CBD所成角的正弦值; (3)利用向量法求二面角 的余弦值. 【详解】(1) 直三棱柱 中, ,M为AB的中点,, 平面 , 平面 ,又 , 平面 , 平面 ,又 平面 , 平面 平面 ; (2)以 为原点, 为 轴, 为 轴, 为 轴,建立空间直角坐标系, 设 , 则 , 设面 的法向量 , 则 ,取 ,得 , 设直线CM与平面CBD所成角为 , ; (3)设面 的法向量为 ,又 ,,取 得 , , 所以二面角 的余弦值为 . 20.(12分) 【答案】(1) 百元 (2)分布列见解析, (3) 【分析】(1)根据频率分布直方图的性质求得 ,利用中位数计算公式计算即可. (2)求得 的所有可能取值和对应的概率即可得到分布列,再由数学期望公式计算即可. (3)由题意得 ,由二项分布的数学期望与方差公式直接计算即可. 【详解】(1)设这500名在职员工的个人所得税的中位数为 , 则由频率分布直方图得 , 解得 , 所以这500名在职员工的个人所得税的中位数为 百元. (2)由题意抽取的10人中,年个税在 内的员工人数为 人, 年个税在 内的员工人数为 人, 年个税在 内的员工人数为 人, 若现从这10人中随机抽取3人,记年个税在 内的员工人数为 , 则 的所有可能取值为 ,所以 , , , , 所以 的分布列为: 0 1 2 3 的数学期望为: . (3)由频率分布直方图可知年个税在 内的概率为 , 从该地区所有在职员工中随机抽取100名员工,恰有 个员工的年个税在 内的分 布列服从二项分布 , 由二项分布的数学期望、方差公式可得 , 即 的数学期望与方差分别为 . 21.(12分) 【答案】(1) (2) 【分析】(1)根据椭圆的定义求得曲线 的方程. (2)直线 为 ,通过联立方程组等求得 两点的坐标,求得 面积的表达式,利用换 元法以及函数的单调性求得 面积的最大值. 【详解】(1)设 的中点为S, 的中点为T,所以 , ,所以 ,所以 , 所以G点的轨迹是以 为焦点,长轴长 的椭圆.所以 , 所以 , ,所以曲线C的方程为 . . (2)设直线 为 (不妨设 ),设 , , 所以 , , , 解得 ( 舍去),则 , 由于AB是单位圆的直径,所以 , 所以直线EN的斜率为 ,直线EN的方程为 , 同理可求得 ,则 , 由上述分析可知 , ,而 , 所以, 所以 ,令 , 当且仅当 , 时等号成立, 则 ,函数 在 上单调递增, 所以当 时, 取得最小值为 . 【点睛】关键点睛:在圆锥曲线中,求解三角形面积最值、范围等的有关问题,关键点有两点,第一点是 求得三角形面积的表达式,可考虑根与系数关系、点到直线的距离公式等等来进行求解;第二点根据面积 的表达式,使用基本不等式、二次函数等知识求得面积的最值或取值范围. 22.(12分) 【答案】(1) ; (2) ; (3)证明见解析. 【分析】(1)对 进行求导,已知 最小值为0,可得极小值也为0,得 ,从而求出 的 值; (2)由题意任意的 ,有 成立,可以令 先通过 , 大 致确定 取值范围,再利用分类讨论法求出 的最值; (3)由(2)知:令 得: 令 得:,累加即可的证. 【详解】(1)由函数 ,则其定义域为 ,且 . 由 ,得: ,又由 ,得: , 在 单调递减,在 单调递增, ; (2)设 , 则 在 恒成立等价于 , 注意到 ,又 , ①当 时,由 得 . 在 单减, 单增,这与 式矛盾; ②当 时, 在 恒成立, 符合 , 的最小值为 ; (3)由(2)知:令 得: , 令 得: 当 时, (1); 当 时, , ,, 将(1)(2)(3),......,(n)式相加得: 不等式左边: ; 不等式右边: ; 所以 . 【点睛】方法点睛:对于含参函数的恒成立问题的处理,常采用两种方法:①参变分离求最值;②将左右 两边移到一边重新构造一个含参函数,讨论含参函数的单调性,确定哪一个点处取得最值.